Источники электропитания
1 ФУНКЦИОНАЛЬНАЯ СХЕМА ИСТОЧНИКА ЭЛЕКТРОПИТАНИЯ
1.1 Общая схема
1.2 Трансформатор
1.3 Выпрямители
1.4 Сглаживающие фильтры
2 СТРУКТУРНАЯ СХЕМА СТАБИЛИЗАТОРА И ЕЕ ОБОСНОВАНИЕ
3 ПРИНЦИПИАЛЬНАЯ СХЕМА СТАБИЛИЗАТОРА НАПРЯЖЕНИЯ
3.1 Регулирующий элемент
3.2 Измерительный элемент
3.3 Источник опорного напряжения
3.4 Элемент сравнения и усилитель постоянного тока
3.5 Токостабилизирующий двухполюсник
4 РАiЕТ СТАБИЛИЗАТОРА
4.1 Расчет силовой части стабилизатора
4.2 Расчет схемы сравнения и УПТ
5 РАiЕТ ДОПОЛНИТЕЛЬНЫХ УЗЛОВ ИСТОЧНИКА ПИТАНИЯ
5.1 Расчет трансформатора
5.2 Расчет выпрямителя со сглаживающим фильтром
6. Расчет вспомогательных узлов
6.1 Расчет защиты по перегрузке
6.2 Расчет индикации напряжения питающей сети
6.3 Выбор коммутирующей аппаратуры
ПЕРЕЧЕНЬ ССЫЛОК
ПРИЛОЖЕНИЕ А
ПРИЛОЖЕНИЕ Б
ПРИЛОЖЕНИЕ В
В современных радиотехнических устройствах значительное место занимают вторичные источники электропитания. Вторичными источником электропитания называют преобразователи электроэнергии одного вида в электрическую энергию другого вида. Вторичные источники электропитания выполняют множество функций: электрическую изоляцию цепей питания друг от друга и от первичного источника; высокую стабильность вторичного питания напряжения в условиях значительного изменения первичного питания напряжения и нагрузок; эффективное подавление пульсаций во вторичных питающих цепях постоянного тока; требуемую форму напряжений переменного тока. В связи с развитием микроэлектроники и компьютерной техники резко выросли требования к стабильности напряжений и токов. Особенно жесткие требования предъявляют к вторичным источникам электропитания в области измерительной техники.
Вторичные источники питания обычно занимают от 20-80% общего объема радиотехнического устройства. Широкое применение интегральной гибридной технологии резко уменьшают вес и габариты радиотехнических устройств, в то время как относительный объем и вес вторичных источников электропитания возросли. Повышение необходимости, а также уменьшение веса, габарита и стоимости изделий в значительной степени зависит от правильного выбора и проектирования вторичных источников электропитания.
Источники вторичного электропитания (ИВЭП) по своей физической сущности являются преобразователями вида и качества электрической энергии. Довольно редко (и только в автономных системах) удается осуществить питание всех устройств непосредственно от первичного источника электропитания, т.е. от преобразователя неэлектрической энергии в электрическую. В большинстве случаев первичный источник или стандартная сеть по частоте, стабильности или напряжению оказываются непригодными для питания электронных устройств. Потому возникает необходимость преобразования электрической энергии.
Вторичные источники могут быть весьма разнообразными, а преобразуемое напряжение - постоянным от нескольких вольт или переменным до сотен вольт.
Электрические преобразования касаются, в основном, необходимых значений и показателей качества выходных напряжений и токов источника. Самое важное из эксплуатационных требований - надежность функционирования при определенных внешних условиях. Конструкторско-технологические требования ориентируют разработчика на выбор элементной базы, определяют допустимую массу, объем и форму источника, а также накладывают ряд ограничений на отдельные показатели конструкции (вибропрочность, влагостойкость и т.д.).
Токи утечки в высоковольтных источниках малой мощности могут составлять заметную часть тока нагрузки, и их устранение облегчает режим работы (вплоть до пробоя) транзисторов и микросхем.
Большое значение имеют методы проектирования оптимизированных по массе и объему ИВЭП. Разработка таких методов сопряжена с рядом трудностей: высокие требования к качеству электропитания, характеристикам переходных процессов и надежности источника; инерционность современных высоковольтных биполярных транзисторов и значительное напряжение насыщения мощных полевых транзисторов, приводящее к снижению КПД преобразователей и регуляторов; несовершенство используемых методов теплоотвода, заставляющих применять элементы конструкции с большими поверхностями и значительной массой; высокий уровень помех при импульсных методах регулирования; большие потери мощности и малая индукция насыщения у магнитных материалов, работающих на высоких частотах.
Основной трудностью остается удовлетворение всей совокупности требований к источнику питания, поскольку, улучшая отдельные показатели, ухудшаем другие. Поэтому сегодня усилился поиск новых схемотехнических решений в области ИВЭП. Особенно ценными являются те, которые позволяют улучшить, если не все, то хотя бы несколько показателей качества.
1 ФУНКЦИОНАЛЬНАЯ СХЕМА ИСТОЧНИКА ЭЛЕКТРОПИТАНИЯ
1.1 Общая схема
Современные стабилизированные источники вторичного электропитания отличаются многообразием решений структурных, функциональных, принципиальных схем и узлов. Это объясняется столь же многочисленными и разнообразными требованиями, которые предъявляются радиоэлектронной аппаратурой к источникам питания.
Стабилизированные источники вторичного электропитания условно классифицируются по основным признакам: по роду тока входного и выходного напряжений различают преобразователи напряжений переменного тока в переменный, переменного в постоянный, постоянного в переменный, постоянного в постоянный, комбинированные преобразователи напряжения; по виду регулирующих (исполнительных) элементов - ламповые, магнитные, полупроводниковые (транзисторные, тиристорные, на интегральных микросхемах), магнитополупроводниковые и пр.; по номинальному напряжению - низкого напряжения (до 100В), среднего (100-1000), высокого (свыше 1000В); по допустимому отклонению выходного напряжения (нестабильности) - низкой точности (свыше 5%), средней (1-5%), высокой (0.1-1%), прецизионной (менее 0.1%); по пульсациям входного напряжения - с малым коэффициентом пульсации (менее 0.1%), средним (0.1 до 1%), большим (более 1%); по выходной мощности - микромощные (до 1Вт), малой мощности (1-ЮВт), средней (10-100Вт), повышенной (100-ЮООВт), большой (свыше 1000Вт); по способу регулирования напряжения - непрерывные и импульсные; по наличию цепи обратной связи -без нее (параметрические), с одной и несколькими цепями обратной связи (компенсационные), комбинированные и пр.
Любой стабилизированный источник вторичного электропитания представляет собой совокупность нескольких функциональных узлов, выполняющих различные виды преобразования электрической энергии: выпрямление, фильтрацию, инвертирование, трансформирование, регулирование, стабилизацию, усиление, защиту и т.д. Эти функциональные узлы характеризуются рядом признаков: назначением, входными и выходными параметрами, условиями эксплуатации, элементной базой.
Выпрямитель В - преобразователь напряжения переменного тока любой формы в однополярное (пульсирующее) напряжение. Он представляет собой один или несколько нелинейных элементов с односторонней проводимостью, соединенных в одну из многочисленных схем выпрямления.
Фильтр Ф - устройство содержащее С, L и активные R элементы и предназначенное для уменьшения пульсации выпрямленного напряжения. Фильтр используется также для защиты от помех, поступающих во вторичный источник из первичной питающей сети, и для уменьшения уровня помех, создаваемых самим вторичным источником питания в первичной сети.
Инвертор И - статический преобразователь напряжения постоянного тока в переменный. Выполняется на полупроводниковых приборах - транзисторах или тиристорах, работающих в режиме переключения. Форма напряжения на выходе прямоугольная, реже синусоидальная, пилообразная и т.д.
Трансформатор Т - преобразователь напряжения переменного тока одного номинала в одно или несколько напряжений переменного тока других номиналов.
Трансформатор применяется в источнике вторичного электропитания как самостоятельный узел или входит в состав других узлов, например усилитель мощности. Стабилизатор напряжения СН - устройство, поддерживающее неизменным напряжение постоянного тока или переменного тока в заданных пределах при воздействии различных возмущающих воздействий. В результате, в ряде случаев стабилизатор напряжения осуществляет точную установку номинала выходного напряжения, обеспечивает возможность плавной регулировки напряжения. Стабилизаторы напряжения постоянного тока с непрерывным способом регулирования могут подавлять переменную составляющую в напряжении постоянного тока.
Регулятор напряжения РН - устройство, изменяющее напряжение на нагрузке по требуемому закону в заданном диапазоне регулирования. В качестве РН может быть использована любая схема стабилизации напряжения, у которой разомкнута ООС. Вместо ошибки регулирования в цепь ООС регулятора подается внешний управляющий сигнал, значение которого меняется вручную или автоматически заданной программе.
Отдельные функциональные узлы ИВЭП могут совмещать в себе несколько функций: выпрямление и регулирование напряжения постоянного тока в регулируемом выпрямителе ВР; инвертирование, выпрямление и фильтрацию напряжения постоянного тока в конверторе К; инвертирования, трансформацию и стабилизацию СИ (стабилизированный инвертор). Подобные схемы позволяют упростить схему источника вторичного электропитания, повысить его КПД и надежность работы. На рисунке 1.1 показан один из вариантов функциональных схем ИВЭП.

Рисунок 1.1 - Функциональная схема ИВЭП
На вход подается переменное напряжение Uc, которое с помощью трансформатора TV изменяется до требуемой величины. Кроме того, трансформатор осуществляет гальваническую развязку источника выпрямленного напряжения нагрузочного устройства, что позволяет получать с помощью нескольких вторичных обмоток различные значения напряжений, гальванически не связанные. После трансформатора переменное напряжение с помощью выпрямителя В преобразуется в пульсирующее напряжение. В выпрямленном напряжении помимо постоянной составляющей, присутствует и переменная, которая с помощью сглаживающего фильтра Ф снижается до требуемого уровня, так, что напряжение на выходе фильтра имеет очень малые пульсации. Установленный после фильтра стабилизатор постоянного напряжения СН поддерживает неизменным напряжение UН на нагрузке при изменении значений выпрямленного напряжения или сопротивления нагрузки.
1.2 Трансформатор
Трансформатором называют статическое электромагнитное устройство, предназначенное для преобразования посредством магнитного поля электрической энергииВаВаВаВаВа переменного тока одного напряжения в электрическую энергию переменного тока другого напряжения при неизменной частоте.
На замкнутом магнитопроводе расположены две обмотки. К одной обмотке с числом витков w1, которая носит название первичной, подводится электрическая энергия от источника питания Ист; от другойтАФвторичной обмотки с числом витков w2 тАФ энергия отводится к приемнику Пр. Все величины, относящиеся к этим обмоткам (токи, э.д.с. и т. д.), называются первичными или вторичными и имеют соответствующие индексы 1 и 2.
Под действием подведенного переменного напряжения u1 в первичной обмотке возникает ток i1 и возбуждается изменяющийся магнитный поток. Этот поток индуцирует э.д.с, e1 и е2 в обмотках трансформатора. Э.д.с. e1 уравновешивает основную часть напряжения источника u1, э.д.с. е2 создает напряжение и2 на выходных зажимах трансформатора. При замыкании вторичной цепи возникает ток i2, который образует собственный магнитный поток, накладывающийся на поток первичной обмотки. В результате создается общий поток Ф, сцепленный с витками обеих обмоток трансформатора и определяющий в них результирующие э.д.с. е1 и е2. Стрелки напряжения u1 и тока i1 представляют первичную обмотку как приемник энергии, Положительное направление потока Ф связано с током i2 правилом правоходового винта. То же правиле определяет положительные направления потока Ф, э.д.с. е1 и е2. Стрелки e2 и i2 вторичной обмотки соответствуют направлениям э.д.с. и тока источника электрической энергии. Стрелка напряжения и2 на зажимах вторичной обмотки, равного напряжению на приемнике, должна совпадать по направлению со стрелкой тока i2. Только учитывая условно-положительные направления электрических величин, можно правильно записать уравнения электрического состояния трансформатора.
Помимо основного (рабочего) потока в магнитопроводе токи обмоток создают в окружающем пространстве магнитное поле рассеяния. Рассматривая принцип действия трансформатора, можно пренебречь этим полем. Одновременно будем пренебрегать активными сопротивлениями обмоток. Трансформатор, для которого приняты эти условия, называют идеализированным.
1.3 Выпрямители
Выпрямители служат для получения постоянного напряжения с помощью преобразования переменного тока электрической сети в постоянное пульсирующее напряжение и сглаживания пульсации при помощи фильтра.
Основными элементами выпрямителя являются: силовой трансформатор для повышения или понижения преобразуемого переменного напряжения, выпрямительный элемент (вентиль) с односторонней проводимостью для преобразования переменного напряжения в пульсирующее и фильтр для сглаживания пульсирующего напряжения.
Выпрямители классифицируют по схеме выпрямления, типу выпрямительного элемента, величине выпрямленного напряжения и назначению. В зависимости от числа фаз выпрямляемого переменного тока и способа присоединения вентилей и потребителя различают схемы выпрямителя однофазного (однополупериодная, двухполупериодная, мостовая, удвоения напряжения) и трехфазного тока (трехфазная однополупериодная, трехфазная мостовая, шестифазная и др.).
Для питания маломощных усилителей низкой частоты и радиоприемников применяют схемы выпрямителя однофазного тока.
Выпрямители характеризуются следующими основными параметрами:
U0 тАФ выпрямленное напряжение до фильтра, определяемое оконечной ступенью УНЧ, требующего наибольшего напряжения;
U тАФ напряжение после фильтра или отдельных его звеньев;
Ic тАФ среднее значение выпрямленного тока (постоянная составляющая) или номинальный выпрямленный ток, определяемый суммой токов анодных и других цепей;
U2 тАФ действующее значение напряжения на вторичной обмотке силового трансформатора;
Uобр тАФ обратное напряжение на вентиле в непроводящую часть периода;
IмакстАФ максимальный ток, проходящий через вентиль в проводящую часть периода;
Uпр тАФ прямое падение напряжения на вентиле в проводящую часть периода;
Ртр тАФ расчетная мощность трансформатора;
Uсети тАФ напряжение сети переменного тока;
fп тАФ частота пульсации на выходе выпрямителя (для однополупериодных схем она равна частоте сети, для других схем однофазных выпрямителей тАФ удвоенной частоте сети);
р, %,тАФкоэффициент пульсации, т. е. отношение амплитуды, выраженной гармонической составляющей напряжения (тока) на выходе фильтра выпрямителя (переменной составляющей), к среднему значению напряжения (тока);
р0тАФкоэффициент пульсации на входе фильтра;
kс тАФ коэффициент сглаживания (фильтрации) определяется отношением коэффициентов пульсации на входе и выходе фильтра:

Однополупериодная схема выпрямителя применяется в установках малых (до 10тАФ15 В×А) мощностей. Ее достоинство тАФ простота. Недостатки тАФ относительно большое значение переменной составляющей выпрямленного напряжения и низкая частота ее первой гармоники, что усложняет схему сглаживающего фильтра; низкий коэффициент использования трансформатора по мощности, приводящий к увеличению его габаритов и стоимости; большая величина обратного напряжения на вентиле.
Однополупериодная схема выпрямителя применяется в тех случаях, когда нормы пульсации не очень жесткие, большие нагрузочные сопротивления, например, для питания анодов электроннолучевых трубок.
В качестве вентилей используют кенотроны, полупроводниковые диоды, селеновые шайбы и газотроны. При последовательном соединении нескольких полупроводниковых диодов для равномерного деления обратного напряжения параллельно каждому из них включают резисторы сопротивлением 50тАФ100 кОм.
Двухполупериодная схема выпрямителя применяется для получения малых и средних мощностей выпрямленного тока и состоит из двух вентилей (или одного двуханодного кенотрона), трансформатора с двумя обмотками с одинаковым количеством витков, образуемыми выводом средней точки.
Достоинство схемы тАФ возможность получения больших токов и малых пульсации, что приводит к упрощению сглаживающего фильтра.
Мостовая схема выпрямителя применяется преимущественно с полупроводниковыми или селеновыми вентилями в выпрямителях малой и средней мощности. Вторичная обмотка трансформатора подключается к одной диагонали моста, составленного из четырех вентилей (или четырех групп последовательно соединенных вентилей), а нагрузка тАФ ко второй диагонали.
Достоинство мостовой схемы выпрямителя тАФ большой коэффициент использования трансформатора. Во всех современных ламповых радиоприемниках применяют мостовые схемы выпрямления.
Выпрямители с умножением напряжения используют для повышения выпрямленного напряжения при заданном на вторичной обмотке трансформатора, а также при отсутствии трансформатора. Практически можно получить большую кратность умножения, однако ограничиваются умножением в 2, 3 и 4 раза. Обычно применяют параллельную схему выпрямителя с удвоением напряжения. В данной схеме установлены конденсаторы с рабочим напряжением, равным половине выходного.
Расчетные соотношения напряжений и токов в схеме выпрямителя приведены в приложении А
1.4 Сглаживающие фильтры
Уменьшение величины пульсации выпрямленного напряжения осуществляется при помощи сглаживающих фильтров, состоящих из одного или нескольких Г-образных звеньев LC или RC. Выбор того или иного звена или их сочетания определяется величиной пропускаемого через фильтр выпрямленного тока и коэффициента фильтрации (характера нагрузки).
Основными параметрами сглаживающих фильтров являются коэффициент сглаживания kс и падение напряжения постоянного тока DU. Коэффициент сглаживания многозвенного фильтра равен произведению коэффициентов сглаживания каждого звена.
Коэффициент пульсации на входе фильтра зависит от схемы выпрямителя и характера нагрузки, а также от величины емкости конденсатора С0.
Сглаживающие фильтры, состоящие из одного или нескольких Г-образных RC-звеньев, применяют при выпрямлении тока не более 20 мА. Расчет падении напряжения, В, сопротивления, Ом, и емкости, мкФ, однозвенного RС-фильтра может быть осуществлен по следующим соотношениям:

Для двухзвенного фильтра

где Н = 3000 при однополупериодном выпрямлении и Н == 1500 при двух-полупериодном.
Сглаживающие фильтры, состоящие из одного или нескольких Г-образных LC-звеньев, применяют при выпрямлении тока более 20 мА. Для однозвенных LС-фильтров
; для двухзвенных
, где Н1= 10 при однополупериодном выпрямлении и Р1 = 2,5 при двухполупериодном. Обычно конденсатор С электролитический, с емкостью С=С0. Если при расчете произведение LC > 200, то применяют двухзвенные фильтры.
Сглаживающие фильтры на транзисторах характеризуются высокими коэффициентом полезного действия и коэффициентами сглаживания пульсации. Работа фильтра основана на том, что сопротивление перехода коллектор тАФ эмиттер транзистора для переменного тока во много раз больше, чем для постоянной составляющей. Транзистор выбирают по току нагрузки, который должен быть в два раза меньше максимально допустимого тока коллектора. Транзисторные сглаживающие фильтры могут использоваться в качестве развязывающих. При наладке фильтра сопротивление резистора R подбирается таким, чтобы напряжение между коллектором и эмиттером транзистора было равным 16тАФ20 В.
2 СТРУКТУРНАЯ СХЕМА СТАБИЛИЗАТОРА И ЕЕ ОБОСНОВАНИЕ
Напряжение источников электроэнергии переменного тока, от которых питается ИВЭП, в силу разных причин имеет широкие пределы изменения номинала и в соответствии с ГОСТом 5237-69 это напряжение может отличаться от номинального значения в пределах от 5 до 15%. Кроме того, в процессе работы изменяется и ток, потребляемый аппаратурой. Поэтому ИВЭП содержит в своей структуре стабилизатор напряжения.
Простейшим стабилизатором напряжения является параметрический стабилизатор напряжения. С помощью такого стабилизатора можно получать стабилизированное напряжение от нескольких вольт до нескольких сотен вольт при токах от единиц миллиампер до единиц ампер. Коэффициент стабилизации параметрического стабилизатора напряжения на полупроводниковом стабилитроне может достигать 30-50. Основными достоинствами параметрического стабилизатора являются простота конструкции и надежность работы. К недостаткам следует отнести небольшой КПД, не превышающий 0.3, большое внутреннее сопротивление 5-20 Ом; узкий и нерегулируемый диапазон стабилизируемого напряжения.
Компенсационные стабилизаторы постоянных напряжений и токов являются системами автоматического регулирования, в которых благодаря наличию ООТ обеспечивается постоянство напряжения и тока на нагрузке с высокой степенью точности. Компенсационные стабилизаторы лишены недостатков, свойственных параметрическим стабилизаторам, что достигается усложнением их схем. К достоинствам таких стабилизаторов можно отнести высокий коэффициент стабилизации (больше 1000); низкое внутреннее сопротивление (В»10-3¸10-4 Ом); практическая безинерционность; отсутствие собственных помех.
Недостатки: невысокие значения КПД (0.5-0.6); большая сложность, а следовательно, меньшая надежность; значительная масса и габариты.
Стабилизаторы с непрерывным регулированием могут быть выполнены как с последовательным, так и с параллельным включением регулирующего элемента относительно нагрузки. Стабилизаторы последовательного типа рекомендуется применять с источниками первичного питающего напряжения, имеющими малое выходное сопротивление. КПД стабилизатора напряжения параллельного типа зависит от тока нагрузки. У стабилизаторов последовательного типа эта зависимость выражена слабее, т.е. при одинаковой выходной мощности, стабилизатор последовательного типа имеет более высокий КПД. Стабилизаторы напряжения параллельного типа не требуют принятия мер защиты от короткого замыкания на выходе. У стабилизаторов напряжения последовательного типа при коротком замыкании на выходе резко возрастает напряжение на регулирующем транзисторе, и поэтому для сохранения его работоспособности в схему вводят токоограничивающие защитные элементы. Режим холостого хода на выходе опасен для стабилизатора напряжения параллельного типа, т.к. на регулирующем транзисторе рассеивается большая мощность. В качестве стабилизатора напряжения в разрабатываемом ИВЭП я буду использовать компенсационный стабилизатор напряжения последовательного типа. Структурная схема стабилизатора приведена на рисунке 2.1.

Рисунок 2.1 - Структурная схема непрерывного последовательного стабилизатора напряжения
Стабилизатор последовательного типа получает питание от выпрямителя. Стабилизатор состоит из регулирующего элемента РЭ; включенного последовательно с нагрузкой схемы сравнения и усиления постоянного тока. Схема сравнения стабилизатора включает в себя источник опорного напряжения ИОН, измерительный элемент ИЭ и элемент сравнения ЭС. При изменении выходного напряжения на выходе схемы сравнения появляется сигнал разности, который усиливается усилителем постоянного тока УПТ и поступает на вход РЭ. Изменение сигнала на входе регулирующего элемента приводит к изменению на нем напряжения и выходное напряжение изменяется до первоначального с определенной степенью точности. Для питания усилителя используют токостабилизирующий двухполюсник ТСД.
3 ПРИНЦИПИАЛЬНАЯ СХЕМА СТАБИЛИЗАТОРА НАПРЯЖЕНИЯ
3.1 Регулирующий элемент
В стабилизаторе напряжения постоянного тока последовательного типа регулирующий транзистор должен быть рассчитан на максимальный ток нагрузки при сравнительно малом напряжении коллектор-эмиттер. Одним из способов увеличения выходной мощности стабилизатора и умен6ьшения мощности рассеяния на регулирующем транзисторе является шунтирование транзистора мощным резистором. Для уменьшения мощности управления регулирующим транзистором применяется составзной транзистор(рис.3.1).

Рисунок 3.1 - Регулирующий составной транзистор
Количество транзисторов, входящих в составной транзистор зависит от максимальных величин тока коллектора VT4(IK4max) и тока коллектора транзистора усилителя(IKУ). Количество транзисторов должно быть таким, чтобы ток базы составного транзистора (Iбр) был на порядок меньше тока IKУ. Так как в качестве транзистора используются маломощные транзисторы и величина IKУ составляет от 2 до 5mА, то соответственно ток Iбр равен от 0,2 до 0,5 mА. В составном транзисторе стабилизаторов напряжения с непрерывным способом регулирования необходимо включение резистора R5, обеспечивающего начальный ток смещения. Включение этого резистора способствует нормальной работе стабилизатора при высоких температурах окружающей среды и малых токах нагрузки.
В составном транзисторе стабилизатора напряжения с непрерывным способом регулирования необходимо включение резисторов R4 и R5, обеспечивающих начальный ток смещения. Включение этих резисторов способствует нормальной работе стабилизатора при высоких температурах окружающей среды и малых токах нагрузки.
3.2 Измерительный элемент
Измерительный элемент представляет собой делитель напряжения на резисторах R8, R9, R10. Он представлен на рисунке 3.2.

Рисунок 3.2 - Схема измерительного элемента
Измерительный элемент подключается к выходу стабилизатора напряжения. Коэффициент деления напряжения в процессе работы стабилизатора должен оставаться неизменным. В стабилизаторе делитель напряжения измерительного элемента выполняет роль шунта на выходу схемы, обеспечивая протекание минимального коллекторного тока регулирующего транзистора в режиме холостого тока.
3.3 Источник опорного напряжения
Источник опорного напряжения представляет собой однокаскадный параметрический стабилизатор напряжения представленный стабилитроном VD7, подключенный к базе транзистора VT5. и резистором R6 Он представлен на рисунке 3.3.

Рисунок 3.3 - Схема источника опорного напряжения
3.4 Элемент сравнения и усилитель постоянного тока
Сравнение выходного напряжения с опорным в стабилизаторах напряжения обычно происходит на входе транзистора усилителя сигнала ошибки цепи ООС. Поэтому работа обоих элементов будет рассматриваться одновременно. В качестве усилителя сигнала ошибки используется дифференциальные усилители постоянного тока с эмиттерной связью. Дифференциальный усилитель, представленный на рисунке 3.3 выполнен на транзисторах VT5 и VT6 , причем VT5 работает как обычный усилитель сигнала ошибки. На его вход подается напряжение, снимаемое с резистора R7. В схемах дифференциальных усилителей постоянного тока усиленный сигнал ошибки можно снимать с коллекторов транзисторов VT5 и VT6 в зависимости от требуемой фазы.
3.5 Токостабилизирующий двухполюсник
Токостабилизирующий двухполюсник изображен на рисунке 3.4.

Рисунок 3.4 тАУ Токостабилизирующий двухполюсник
Токостабилизирующий двухполюсник состоит из транзистора VT1, резисторов R2 и R2 и стабилитрона VD6.
Такой ТСД представляет собой простейший транзисторный стабилизатор тока, обладающий внутренним сопротивлением. Транзистор VT1 управляется разностью напряжений стабилитрона VD6 и падением на резисторе R3. Напряжение на стабилитроне VD6 изменяется незначительно и так как оно приблизительно равно напряжению на резисторе R3 , то токи эмиттера и коллектора транзистора T1 почти не изменяются при изменении входного напряжения.
Имея принципиальные схемы функциональных узлов можно составить принципиальную схему стабилизатора напряжения. Принципиальная схема стабилизатора напряжения представлена на рисунке 3.5.

Рисунок 3.5 тАФ Принципиальная схема стабилизатора напряжения
Принцип действия стабилизатора напряжения заключается в том, что в случае изменения тока нагрузки в сторону увеличения, например, выходное напряжение уменьшается за счет увеличения падения напряжения на ВлпереходеВ» коллектор-эмиттер регулирующего транзистора VTp, который состоит из транзисторов VT2, VT3 и VT4, соединенных последовательно. Это вызовет уменьшение напряжения UНД на нижнем плече делителя напряжения. Вследствие этого потенциал базы транзистора VT5 станет менее положительным, что вызовет уменьшение его базового и коллекторных токов. Ток базы транзистора VTp станет больше, что приведет к уменьшению падения напряжения на ВлпереходеВ» коллектор-эмиттер транзистора VT4. Выходная величина увеличится до первоначального значения.
При изменении входного напряжения U0 (например, увеличение) в начальный момент времени начнет увеличиваться выходное напряжение UН, что приведет к увеличению напряжения UНД нижнем плече делителя. Напряжение UНД сравнивается с опорным напряжением UОП стабилитрона VD7. Увеличение напряжения UНД приводит к увеличению положительного потенциала базы транзистора VT5 и уменьшению тока базы транзистора VTp, состоящего из транзисторов VT2, VT3 и VT4, соединенных последовательно относительно эмиттера. Ток базы транзистора VTp уменьшается, что приводит к увеличению напряжения на ВлпереходеВ» коллектор-эмиттер. Напряжение на выходе уменьшается до первоначального с определенной точностью. Регулирование выходного напряжения в схеме осуществляется потенциометром R9. При перемещении движка потенциометра в направлении плюсовой шины стабилизатора увеличивается напряжение UНД, что приводит к увеличению токов базы и коллектора VTp будет уменьшаться, увеличивая напряжение на ВлпереходеВ» коллектор-эмиттер данного транзистора и напряжение на выходе стабилизатора будет уменьшаться. При перемещении движка потенциометра в сторону минусовой шины напряжение на выходе стабилизатора будет увеличиваться.
4 РАiЕТ СТАБИЛИЗАТОРА
4.1 Расчет силовой части стабилизатора
Определяем максимальный ток через регулирующий транзистор VТ4
![]()
где ВаВа IН тАУ номинальный выходной ток нагрузки, А;
IВН тАУ ток потребляемый схемой стабилизатора равный 20-30 мА.
![]()
Определяем максимальное выходное напряжение стабилизатора
![]()
где ВаВа Uвых тАУ номинальный выходное напряжение, В;
kтАУ нестабильность выходного напряжения в %., k = 0,02.
![]()
Определим амплитуду пульсации на входе стабилизатора
![]()
Зададимся значением Uкэ4min = 2В
![]()
Определим минимальное напряжение на входе стабилизатора.

Определим номинальное напряжение на входе стабилизатора

гдеВаВаВа amin=0,2

Определим максимальное напряжение на входе стабилизатора
![]()
гдеВаВаВа amax=0,2
![]()
Определим min выходное напряжение стабилизатора

Определим напряжение коллектор-эмиттер на транзисторе VТ4

Из подсчитанных данных видно, что Uкэ4=17В будет максимальным.
Определим максимальную рассеивающую мощность транзистора.
![]()
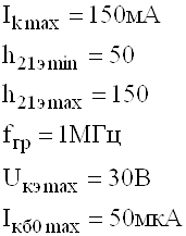
Выбираем транзистор VТ4 по следующим параметрам:

По [6] выбираем транзистор типа П210Ш

Определим минимальные и максимальные токи базы

Количество транзисторов входящих в составной зависит от максимальной величины тока коллектора транзистора VТ4 Iк4max и тока коллектора транзистор усилителя VT6 Iку. Их число должно быть таким, чтобы ток базы составного транзистора Iбр был на порядок меньше тока коллектора Iку. Так, как в качестве VT6 используется маломощные транзисторы и величина тока Iку составляет 2¸5мА, то соответственно ток Iбр должен быть равен 0,2¸0,5 мА. Из рассчитанных данных видно, что необходим транзистор VТ3.
Определим ток, который протекает через резистор R5:
![]()
IбminВ»0
![]()
Определим величину сопротивления R5

По [7] выбираем резистор R5=1,8кОм
Мощность рассеиваемая на R5

Выбираем резистор типа C2-23-0,25-1,8к
Определим максимальный ток коллектора VТ3

Максимальное напряжение на переходе
![]()
Из подсчитанных данных видно, что Uкэ4=17В будет максимальным.
Определим максимальную рассеивающую мощность транзистора.
![]()
Выбираем транзистор VТ3 по следующим параметрам:

По [8] выбираем транзистор типа ГТ403А

Определим минимальные и максимальные токи базы

Если величина Iб3max>(0,3¸0,5)мА, то необходимо увеличить число транзисторов входящих в составной до 3.
Для выбора транзистора VТ2 необходимо определить величину тока через резистор R4, сопротивление R4, ток Ik2max, напряжение Uкэ2max и мощность Pkv2.
Определим ток, который протекает через резистор R4:
![]()
IбminВ»0
![]()
Определим величину сопротивления R4

По [7] выбираем резистор R4=270кОм
Мощность рассеиваемая на R4

Выбираем резистор типа C2-23-0,125-270к
Определим максимальный ток коллектора VТ2

Максимальное напряжение на переходе
![]()
Определим максимальную рассеивающую мощность транзистора.
![]()
Выбираем транзистор VТ2 по следующим параметрам:

По [9] выбираем транзистор типа МП-20:

Определим минимальные и максимальные токи базы

Если величина Iб2max<0,3мА, то к
Вместе с этим смотрят:
IP-телефония. Особенности цифровой офисной связи