Теорiя систем та системний аналiз
Контрольна робота
з дисциплiни ВлТеорiя систем та системний аналiзВ»
Варiант 6
Прiзвище та iнiцiали викладача
Чорней Руслан Костянтинович
Киiв 2010
1. Вимiрювальнi шкали
Вимiрювання тАФ це алгоритмiчна операцiя, яка заданому спостережуваному стану об'iкта чи процесу ставить у вiдповiднiсть певне позначення: число, номер або символ. Це забезпечуi iнформативнiсть результатiв вимiрювань про спостережуваний об'iкт; кiлькiсть же iнформацii залежить вiд повноти цiii вiдповiдностi та розмаiтостi варiантiв. Потрiбну нам iнформацiю ми одержуiмо з результатiв вимiрювань за допомогою iх перетворень або обробки експериментальних даних.
Ступiнь вiдповiдностi мiж станами та iх позначеннями залежить не тiльки вiд органiзацii вимiрювань (тобто вiд експериментатора), але й вiд природи дослiджуваного явища.
Ми будемо розглядати лише такi об'iкти, про будь-якi два стани яких можна сказати, розрiзняються вони чи нi, i тiльки такi алгоритми вимiрювання, якi рiзним станам ставлять у вiдповiднiсть рiзнi позначення, а нерозрiзнюваним станам тАФ однаковi. Це означаi, що як стан об'iкта, так i його позначення задовольняють таким аксiомам тотожностi:
або А = В, або А ≠ В;
якщо А = В, то В = А;
якщо А = В та В = С, то А = С.
1.1 Кiлькiсне визначення та вимiрювання
Номер тАФ це матерiальний або квазiматерiальний символ. Номери мають властивiсть упорядкованостi лише внаслiдок довiльнiй домовленостi. До номерiв незастосовнi правила додавання та вiднiмання. Що стосуiться чисел, то це математичне поняття. Вони мають властивiсть упорядкованостi внаслiдок iх "реальностi". На вiдмiну вiд номерiв, до чисел застосовнi закони додавання та вiднiмання.
Вiдмiннiсть мiж кiлькiстю та якiстю пов'язана з рiзницею мiж кiлькiстю речовини та ii властивостями. Уважають, що кiлькiсть речовини в тiлi тАФ це щось таке, що збiльшуiться пiсля об'iднання двох тiл, а властивiсть (якiсть) речовини тАФ ознаки, якi не змiнюються внаслiдок об'iднання двох однакових тiл. Отже, характеристики речовини, що задовольняють закону додавання (мають властивiсть адитивностi), тАФ це кiлькiснi показники речовини, а тi, для яких закон додавання не дii, тАФ якiснi. Наприклад, маса, об'iм, довжина тАФ кiлькiснi характеристики, а питома вага, концентрацiя тАФ якiснi (хоча iх також можна подати за допомогою чисел, тобто кiлькiсно).
Тiла можуть мати властивостi, до яких застосовнi шкали вимiрювання з рiзним степенем вiльностi та силою. У разi вимiрювання характеристик речовини виконуються такi умови:
iснують два види характеристик: кiлькiснi та якiснi;
вимiрювати можна обидва види характеристик, але, узагалi кажучи, кiлькiснi характеристики припускають вимiрювання "вищогорiвня", нiж якiснi;
"рiвень" вимiрювання характеристики залежить вiд ii властивостей тАФ транзитивностi, симетричностi, адитивностi тощо, що визначають шкалу вимiрювання, яку можна застосовувати.
1.2 Шкали найменувань
Припустiмо, що кiлькiсть розпiзнаваних станiв (математичний термiн тАФ кiлькiсть класiв еквiвалентностi) скiнченна. Кожному стану поставимо у вiдповiднiсть позначення, вiдмiнне вiд позначень iнших класiв. Тодi вимiрювання полягаi в тому, щоб, провiвши експеримент над об'iктом, визначити належнiсть результату до того чи iншого класу еквiвалентностi й записати це за допомогою символу, який позначаi цей клас. Такий процес називаiться вимiрюванням у шкалi найменувань (iнодi цю шкалу називають також номiнальною чи класифiкацiйною), ii утворюi зазначена множина символiв.
Найприроднiше використовувати шкалу найменувань для класифiкацii дискретних за своiю природою явищ (наприклад, рiзних об'iктiв). Позначати класи можна як словами природноi мови (наприклад, географiчнi назви, власнi iмена людей тощо), довiльними символами (герби та прапори держав, емблеми родiв вiйськ, рiзноманiтнi значки тощо), номерами (реiстрацiйнi номери автомобiлiв, офiцiйних документiв, номери на майках спортсменiв), так i рiзноманiтними комбiнацiями (наприклад, поштовi адреси, екслiбриси приватних бiблiотек, печатки тощо). Усi цi позначення еквiвалентнi простiй нумерацii, але на практицi часто вiддають перевагу iншим позначенням.
Перейдемо до питання про допустимi операцii над даними, вираженими в номiнальнiй шкалi. Ще раз наголосимо, що позначення класiв тАФ це лише символи, навiть якщо для цього використано номери. Номери лише зовнi мають вигляд чисел, але не мають iх властивостей. Якщо в одного спортсмена на спинi номер 4, а в iншого тАФ 8, то можна тiльки дiйти висновку, що це рiзнi учасники змагань; не можна сказати, наприклад, що один iз них удвiчi кращий чи що в одного форма новiша. З номерами не можна поводитись як РЖз числами, за винятком визначення iх рiвностi чи нерiвностi: тiльки цi вiдношення визначено мiж елементами номiнальноi шкали.
Тому в процесi обробки експериментальних даних, зафiксованих у номiнальнiй шкалi, безпосередньо iз самими даними можна виконувати лише операцiю перевiрки iх збiгу чи розбiжностi. Зобразимо цю операцiю за допомогою символу Кронекера

де хiй х3 тАФ записи результатiв рiзних вимiрювань.
РЖз результатами цiii операцii можна виконувати складнiшi перетворення: рахувати кiлькiсть збiгiв (наприклад, кiлькiсть спостережень &-го класу дорiвнюi
,
де п тАФ загальна кiлькiсть спостережень), обчислювати вiдноснi частоти класiв (наприклад, вiдносну частоту k-го класу ωk= nk/n), порiвнювати цi частоти мiж собою (визначаючи, наприклад, моду тАФ номер класу, який зустрiчаiться найчастiше, тАФ Мо = argmax ωk), виконувати рiзнi статистичнi процедури, слiдкуючи, однак, щоб у цих процедурах iз вихiдними даними не було виконано нiяких операцiй, крiм перевiрки iх на збiг (наприклад, можна застосовувати χ2-тест, iншi тести на вiдносних частотах, критерiй згоди тощо).
1.3 Порядковi шкали
Якщо природа спостережуваноi (вимiрюваноi) ознаки стану даi змогу не тiльки ототожнити його з одним iз класiв еквiвалентностi, але й якось порiвнювати рiзнi класи, то для вимiрювання можна вибрати "сильнiшу" шкалу, нiж номiнальна.
Наступна за "силою" пiсля номiнальноi порядкова пiкала (ii називають також ранговою), ii можна застосувати, якщо крiм аксiом тотожностi 1-3 класи задовольняють таким аксiомам упорядкованостi:
4)ВаВа якщо А > В, то В < А (антисиметричнiсть);
5)ВаВа якщо А > В та В > С, то А > С (транзитивнiсть). Позначивши такi класи символами й установивши мiж цими символами тi самi вiдношення порядку, отримаiмо шкалу простого порядку. Приклади ii застосування тАФ нумерацiя черговостi, вiйськовi звання, призовi мiсця в конкурсi.
РЖнодi виявляiться, що не кожну пару класiв можна впорядкувати за перевагою: деякi пари вважаються рiвними. Тодi аксiоми 4 та 5 видозмiнюють:
4') якщо А≥В, то В≤А;
5') якщо А≥ В та В ≥ С, то А≥ С.
Шкала, що задовольняi аксiомам 4' i 5', називаiться шкалою слабкого порядку. Приклад такоi шкали тАФ упорядкування за ступенем близькостi з конкретною особою (мати = батько > син = дочка, дядько =тiтка < брат = сестра тощо).
РЖнша ситуацiя виникаi, коли i пари класiв, непорiвняннi мiж собою, тобто нi А ≥ В, нi В≥ А. Тодi говорять про шкалу часткового порядку. Такi шкали часто виникають у соцiологiчних дослiдженнях суб'iктивних переваг. Наприклад, у разi вивчення купiвельного попиту суб'iкт часто не в змозi оцiнити, який саме з двох рiзнорiдних товарiв йому бiльше подобаiться; людинi може бути складно також упорядкувати за перевагою улюбленi заняття (читання лiтератури, плавання, смачна iжа, слухання музики тощо).
Характерна риса порядкових (у строгому розумiннi) шкал тАФ те, що вiдношення порядку нiчого не говорить про "дистанцiю" мiж порiвнюваними класами. Тому порядковi експериментальнi данi, навiть зображенi цифрами, не можна розглядати як числа. Над ними не можна виконувати дii, що дають рiзнi результати в разi перетворення шкали, яке не порушуi порядку. Наприклад, не можна обчислювати вибiркове середнi порядкових вимiрiв, тобто
, тому що перехiд до монотонне перетвореноi шкали х' = f(х) у разi усереднення даi
.
Однак операцiя, що даi змогу виявити, яке з двох спостережень, хгчи х}, маi перевагу, допустима. Уведемо iндикатор невiд'iмних чисел тАФ функцiю
![]()
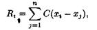
Тодi якщо хi > х}i ми ввели цифрову шкалу порядку, то С(хi тАФх}) = 1, а С(х}тАФ хi) = 0, що даi змогу виявити перевагу хiперед х}. Число
![]()
де п тАФ кiлькiсть порiвнюваних об'iктiв (1≤ Ri ≤ 0), називаiться рангом i-го об'iкта. (Звiдси походить iнша назва порядкових шкал тАФ ранговi.) Якщо iснуi слабкий порядок, то частина спостережень збiгаiться (у статистицi така група спостережень називаiться зв'язкою), i всi члени зв'язки одержують однаковий (старший для них) ранг. Коли це незручно, членам зв'язки присвоюють або ранг, середнiй для зв'язки (мiдранг), або випадково тАФ вiд молодшого до старшого.
Отже, у разi вимiрювань у порядкових (у строгому розумiннi) шкалах обробка даних маi ТСрунтуватися тiльки на допустимих для цих шкал операцiях тАФ обчисленнi δiji Ri. РЖз цими числами можна працювати далi вже довiльно: крiм обчислення частот i мод (як i для номiнальноi шкали), з'являiться можливiсть визначити вибiркову медiану (тобто спостереження з рангом Ri, найближчим до числа n/2); можна розбити всю вибiрку на частини в будь-якiй пропорцii, обчислюючи вибiрковi квантилi будь-якого рiвня р, 0 < р < 1 (тобто спостереження з рангом Ri, найближчим до величини пр); можна визначити коефiцiiнти ранговоi кореляцii мiж двома серiями порядкових спостережень (rsСпiрмена, τ Кендалла); будувати за допомогою отриманих величин iншi статистичнi процедури.
1.4 Модифiкованi порядковi шкали
Досвiд роботи з сильними шкалами та бажання зменшити вiдноснiсть порядкових шкал, додати iм хоча б зовнiшньоi незалежностi вiд вимiрюваних величин спонукають дослiдникiв до рiзних модифiкацiй, якi дещо посилюють порядковi шкали. РЖще одна важлива причина спроб посилити шкали полягаi в тому, що багато вимiрюваних у порядкових (принципово дискретних) шкалах величин мають дiйсний або уявний неперервний характер: сила вiтру чи землетрусу, твердiсть речовини, глибина та мiцнiсть знань, оволодiння навичками тощо. Сама можливiсть уведення мiж двома значеннями третього сприяi тому, щоб намагатися пiдсилити шкалу.
Усе це зумовило появу та використання на практицi низки порядкових шкал, але не в такому строгому розумiннi, як тi, про якi йшлося вище. При цьому iнодi з отриманими даними поводяться як iз числами, що спричиняi помилки та неправильнi рiшення. Розглянемо деякi з вiдомих модифiкацiй.
Шкала твердостi за Моосом. РЖз двох мiнералiв твердiший той, котрий залишаi на iншому подряпини чи вм'ятини пiсля досить сильного зiткнення. Вiдношення "А твердiше нiж 5" тАФ типове вiдношення порядку. У 1811 р. нiмецький мiнералог Ф. Моос запропонував запровадити стандартну шкалу для визначення вiдносноi твердостi методом дряпання. Як еталони взято 10 мiнералiв, розмiщених у порядку висхiдноi твердостi: 1 тАФ тальк, 2 тАФ гiпс, 3 тАФ кальцит, 4 тАФ флюорит, 5 тАФ апатит, 6 тАФ ортоклаз, 7 тАФ кварц, 8 тАФ топаз, 9 тАФ корунд, 10 тАФ алмаз.
Шкала сили вiтру за Ботфортом. У 1806 р. Ф. Ботфорт запропонував умовну 12-бальну шкалу для оцiнки сили вiтру за його дiiю на наземнi предмети та за хвилюванням моря: 0 тАФ штиль(затишшя), 4 тАФ помiрний вiтер, 6 тАФ сильний вiтер, 10 тАФ буря (шторм), 12 балiв тАФ ураган.
Шкала магнiтуд землетрусiв за Рiхтером. Американський сейсмолог Ч. Рiхтер у 1935 р. запропонував класифiкацiю землетрусiв за магнiтудами, що базуiться на оцiнцi енергii сейсмiчних хвиль, якi виникають пiд час землетрусiв, i разом iз Б. Гуттенбергом теоретично обТСрунтував ii в 1941-1945 рр. Спiввiдношення мiж магнi-тудою землетрусу за шкалою Рiхтера та його силою в епiцентрi за 12-бальною шкалою залежить вiд глибини поштовху.
Бальнi шкали оцiнки знань учнiв. Потреба суспiльства в офiцiйному визначеннi ступеня квалiфiкованостi тих, хто вчиться, незалежно вiд того, де, коли та як вони здобувають освiту, сприяла запровадженню загальноприйнятих шкал оцiнювання знань учнiв у балах. Усi вiдчувають, зокрема й на власному досвiдi, неточнiсть, приблизнiсть цiii шкали. Один iз методiв полiпшення шкали балiв полягаi в збiльшеннi кiлькостi градацiй. Однак i це не розв'язуi проблеми, i викладачi неофiцiйно (для себе) уводять додатковi градацii тАФ додають до балiв плюси, мiнуси, крапки. Навiть застосовуючи 100-бальну шкалу, деякi викладачi використовують дробовi бали. Усе це вiдбуваiться тому, що не iснуi нi абсолютного взiрця, iдиного для всiх людей, нi навiть умовного загальнодоступного стандарту на зразок еталонiв твердостi чи висоти хвиль, i знання можна оцiнювати тiльки в порядковiй шкалi. Проте мало хто (не тiльки з учнiв, але й з викладачiв) розумii, що бальна шкала належить до класу порядкових. Доходить до того, що навiть в офiцiйних питаннях, що впливають на долi людей, пiдраховують середньоарифметичний бал тАФ величину, що не маi змiсту в порядковiй шкалi! Порядкова шкала Черчмена й Акоффа. У соцiологiчних дослiдженнях часто виявляiться корисним запропонувати опитуваному не тiльки впорядкувати заданий перелiк альтернатив, але й зазначити, хоча б грубо, силу переваги. Проiлюструiмо цей метод вимiрювання на прикладi.
Нехай i чотири предмети. Спочатку опитуваний упорядковуi iх за перевагою: А ≥ В ≥С≥D ). Потiм його просять поставити у вiдповiднiсть (приписати) предметам будь-якi числа мiж нулем i одиницею, грубо виразивши "силу" переваги. Нехай результат такий:
Вместе с этим смотрят:
РЖнварiантнi пiдпростори. Власнi вектори i власнi значення лiнiйного оператора
РЖнтегральнi характеристики векторних полiв
Автокорреляционная функция. Примеры расчётов
Актуальные проблемы квантовой механики