Устройства функциональной электроники
Федеральное агентство по образованию
Государственное образовательное учреждение высшего профессионального образования
Тульский государственный университет
Кафедра радиоэлектроники
Устройства функциональной электроники
Выполнила: Жуковская М.А.
гр. 151371
Проверил: Миронов М.М.
2011 г.
Содержание
Глава 1. Физико-химические основы зарождения и роста новой фазы
1. Анализ гомогенного и гетерогенного зарождения новой фазы
2. Влияние технологических факторов зарождения новой фазы на структуру пленок
3. Рост пленок. Эпитаксия
4. Химический рост эпитаксиальных пленок
Глава 2. Физико-химические основы поверхностных процессов
1. Термодинамика поверхностных процессов
2. Адсорбционные процессы на поверхности твердых тел
3. Факторы, влияющие на адгезию
4. Процессы очистки, промывки и пропитки поверхности
5. Электрофизические характеристики соприкасающихся поверхностей и границ раздела слоев
Глава 1. Физико-химические основы зарождения и роста новой фазы
1. Анализ гомогенного и гетерогенного зарождения новой фазы
Пленки металлов, диэлектриков и полупроводников, осажденные на различные поверхности, используют в электронной аппаратуре как функциональные элементы резисторов, конденсаторов, транзисторов, ИМС, ПП, а также различных приборов на акустических поверхностных волнах и магнитных доменах, с зарядовой связью и др. Кроме того, пленки применяют при изготовлении покрытий, обеспечивающих высокие потребительские (эстетические) качества РЭА.
Механизм процессов зарождения и роста пленок во многом определяет их кристаллическую структуру, а следовательно, и электрофизические, физико-химические, механические и эстетические свойства. Поскольку большинство ТП производства РЭА связано с осаждением или растворением пленок, необходимо рассмотреть физико-химические основы процессов зарождения и роста пленок новой фазы.
Пленки как элементы РЭА создаются на поверхности подложек при взаимодействии этих поверхностей с потоком частиц осаждаемых веществ. Результатом такого взаимодействия является появление новой фазы на поверхности подложки (пластины, детали, платы).
Потоки частиц могут иметь различный характер: молекулярные или ионные направленные пучки, потоки газовой и жидкой сред, движущиеся по законам газо- и гидродинамики, а также диффузионные потоки частиц. Процессы зарождения новой фазы могут протекать на границах различных фаз: жидкость тАФ твердое тело, газ (пар) тАУ твердое тело, твердое тело тАФ твердое тело, композиционные пасты тАФ твердое тело, жидкость тАФ пар (газ).
Молекулярный пучок формируется, например, при испарении вещества. Этот пучок, достигая поверхности конденсации (подложки), имеющей температуру значительно ниже температуры испарения, конденсируется на ней, образуя пленку. Если температура конденсации (подложки) ниже температуры плавления вещества, то сначала образуются зародыши твердой фазы, а затем и сама твердая пленка. Если температура конденсации близка к температуре плавления вещества или выше ее, то формируется жидкая пленка. Однако в любом случае исходным материалом для создания пленки является поток частиц (молекул или атомов) от испарителя к подложке. Энергия этих частиц практически равна энергии испарения вещества.
В настоящее время существуют две теории гетерогенного образования зародышей конденсированной фазы: термодинамическая (макроскопическая) Гиббса тАФ Фольмера и кинетическая (микроскопическая) Френкеля тАФ Родина. Первая исходит из условий термодинамического равновесия в системе пар (газ) тАФ зародыш тАФ подложка, В ней используются такие термодинамические понятия, Как свободная и Поверхностная энергии, степень перенасыщения и др. Такой подход оправдан при небольших перенасыщениях пара, когда критический зародыш состоит из большого числа атомов, а следовательно, к нему применимы термодинамические законы. Однако во многих реальных процессах, когда степень перенасыщения велика (108тАФ1040), критический зародыш оказывается состоящим из одного атома. Описывать термодинамическими уравнениями столь малые агрегаты нельзя. В таком случае возможен лишь кинетический подход. Поэтому далее рассмотрены обе теории гетерогенного образования зародышей.
Если поток частиц J формируется за счет образования ионной плазмы при катодном или другом каком-либо способе распыления, то этот поток имеет сложный состав (включая нейтральные атомы, ионы и электроны в различных пропорциях). Так как энергии этих частиц могут отличаться друг от друга, то и характер их взаимодействия с поверхностью подложки будет различным, что скажется на механизме зарождения и роста пленок.
При химическом осаждении пленок (например, из газовой фазы) характер взаимодействия частиц с поверхностью еще более усложняется. Процесс протекает в несколько стадий:
1) адсорбция взаимодействующих молекул на этой поверхности;
2) диффузия молекул;
3) химическая реакция исходных компонентов с появлением молекул осаждаемого вещества;
4) адсорбция этих молекул и выделение их в отдельную фазу на поверхности;
5) десорбция летучих продуктов реакции. Аналогичная картина наблюдается и при электрохимическом осаждении пленок из электролитов.
При рассмотрении механизма зарождения и роста пленок будем исходить из двух предпосылок: наличия потока J вещества, направленного к поверхности осаждения, и теоретически чистой поверхности.
Процесс образования зародышей заключается в возникновении и росте агрегатов молекул в результате последовательных бимолекулярных реакций по схеме
где
Ва- агрегаты состоящие из i молекул (атомов),
![]()
Агрегат, содержащий i=iкр молекул, рассматривается как зародыш критического размера, который в общем случае растет или уменьшается. Другие механизмы образования зародышей (например, одновременного столкновения iкр молекул или нескольких агрегатов размерами меньше критического) считаются вероятными только для потока, имеющего высокую плотность (например, для импульсных процессов испарения).
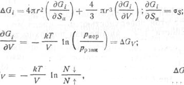
Образование сферического зародыша новой фазы, содержащего iкр молекул, сопровождается некоторым изменением свободной энергии ДGi, связанным с появлением определенной поверхности Sп и объема новой фазы V. В отсутствие полей и зарядов этот процесс можно описать уравнениями:
![]()

где r тАФ радиус сферического зародыша, уS тАФ поверхностная энергия, ДGV тАФ изменение свободной энергии при конденсации, практически равное энергии испарения, рпертАФ давление перенасыщенного пара, рравн тАФ равновесное давление пара, соответствующее температуре конденсации Т; N ↓ и N ↑тАФ число молекул, движущихся к поверхности конденсации и испаряющихся с нее.
Следовательно, уравнение (3.2) можно представить в виде
![]()
![]()
![]()
Зависимость ДGi = f(r) для различных температур поверхности конденсации показана на рис. 3.1. Как видно из рисунка, свободная энергия ДGi растет с увеличением r до значения , а затем быстро убывает. Агрегаты радиусом r < rкр считаются нестабильными, а радиусом r > rкр тАФ стабильными зародышами новой фазы. Последним соответствует уменьшение свободной энергии.
Определив максимум функции (3.5) из условия , найдем радиус rкр:
![]()
Подставив значение rкр в (3.5),
![]()
![]()

Соотношения (3.6) и (3.7) были впервые получены Дж. У. Гиббсом.
Для различных веществ rкр =1ч50 нм.
Разделив объем критического зародыша на молекулярный Vm, получим число молекул
![]()

Из рис. 3.1 видно, что уравнение (3.5) справедливо в диапазоне температур от Т1 до Т4. Вне этого диапазона теорию Гиббса тАФ Фольмера использовать нельзя.
Скорость образования зародыша
![]()
![]()
где Sп.кртАФплощадь поверхности критического зародыша; щ тАФ частота столкновений молекул с этой поверхностью; ni тАФ число молекул на единице этой поверхности, т. е. равновесная поверхностная концентрация молекул.
По изотерме Вант-Гоффа
![]()
гдеn∑ тАФ число молекул в паре.
Согласно уравнению Герца тАФ Кнудсена частота столкновений
![]()
![]()
где ак тАФ коэффициент конденсации; ри рк тАФ давления насыщенных паров при температурах испарения и конденсации (т. е. испарителя и подложки). Следовательно, скорость образования зародышей

![]()
Уравнение (3.12) не учитывает ряда факторов. Например, не всякое столкновение молекулы с агрегатом ведет к ее конденсации и внедрению в агрегат. Поэтому выражение (3.12) следует умножить на равновесный фактор Z, учитывающий, какая доля из ударяющихся о поверхность молекул конденсируется. Обычно
![]()

Таким образом,
![]()

Все выкладки относятся к гомогенному образованию зародышей, которое редко реализуется на практике.
Модель гетерогенного образования зародышей отличается от гомогенной тем, что вводится геометрический фактор, определяемый межфазовыми взаимодействиями в системе подложка тАФ зародыштАФ пар или подложка тАФ зародыш тАФ жидкость. Если свойства зародыша изотропны, то образуется куполообразный зародыш, если анизотропны тАФдругие конфигурации зародышей (рис. 3.2).


Геометрический фактор вводится в уравнение (3.5) в виде функций поверхности соприкосновения зародыша с соответствующими фазами и объема зародыша fs(ц) и fv (ц), зависящих от контактного угла ц (для жидкостей тАФ угла смачивания):

Эти функции описывают геометрическую конфигурацию зародыша. Значение ц определяется при равновесии поверхностных энергий:
Где упл-пар, ук-пр, ук-пар тАФудельные межфазовые поверхностные энергии поверхностей раздела пластина тАФ пар, конденсат тАФ пластина и конденсат тАФпар.




Для куполообразного зародыша
![]()
![]()
гдеfsпл (ц)тАФфункция поверхности соприкосновения зародыша с пластиной; fsпар (ц) тАФфункция поверхности соприкосновения зародыша с паровой фазой.
Свободную энергию образования критического зародыша найдем из условия максимума уравнения (3.15):
![]()
![]()
Где
![]()
![]()
функция контактного угла f(ц) для куполообразного зародыша (рис. 3.3) характеризует взаимодействие конденсата с пластиной. При ц→0 f (ц)→0, ДGкр→0 и образование зародышей облегчается. При ц→1800 f (ц)→1, ДGкр растет до максимума и образование зародышей затрудняется (случай гомогенного зарождения новой фазы). Следовательно, уравнение (3.2) является предельным случаем образования зародышей, когда оно протекает с максимальной трудностью. Таким образом, свободная энергия гетерогенного меньше свободной энергии гомогенного образования зародышей. Кроме того, механизм гомогенного и гетерогенного образования зародышей (рис. 3.4) различен. При гомогенном образовании рост происходит только за счет реакции поверхности зародыша с паровой фазой (механизм х3), при гетерогенном тАФ за счет поверхностной диффузии (механизм х2), т. е. х2>>х3. При очень низких температурах пластины х3>х2.
Скорость гомогенного образования зародышей в случае прямого осаждения из пара
![]()
![]()
где nадс тАФ концентрация молекул, адсорбированных на поверхности; ДGк.п тАФ свободная энергия конденсации из пара.
Скорость образования зародышей при преобладании поверхностной диффузии
![]()
![]()
где а тАФ длина скачка диффундирующей молекулы к поверхности зародыша; j тАФ величина, обратная числу возможных направлений скачков; v тАФчастота поверхностных колебаний; ДGп.д тАФ свободная энергия активации поверхностной диффузии; частота скачков диффундирующей молекулы.
![]()
При температурах пластины, позволяющих реализовать оба механизма образования зародышей, скорость образования зародышей равна сумме скоростей х2 и х3:

Для обычных условий осаждения пленок уравнение (3.22) удобно представить в виде
![]()
![]()
где К тАФ константа, учитывающая размер критического зародыша и другие геометрические параметры; N тАФобщее число частиц, участвующих в процессе образования зародышей.
Как видно из выражения (3.23), скорость образования зародышей существенно зависит от энергетических характеристик процесса, а следовательно, от условий осаждения. На рис. 3.5 показана логарифмическая зависимость скорости образования зародышей от скорости конденсации, характеризуемой степенью перенасыщения N↓/N↑.
Рост критических (докритических) зародышей за счет поверхностной диффузии возможен только в случае, когда температура пластины достаточно высока (kT>>ДGп.д). При низких температурах диффузия атомов по поверхности мала и адсорбированные атомы можно считать локализованными. В этом случае рост зародыша происходит за счет прямого добавления атомов из пара (механизм х3). Скорость образования зародышей определяют по (3.20).
2. Влияние технологических факторов зарождения новой фазы на структуру пленок
Из уравнений (3.6) и (3.23) следует, что размеры критического зародыша rкр, его свободная энергия (энергетический барьер) ДGкр и скорость образования зародыша х3 зависят от значений поверхностной энергии, контактного угла, температуры, степени перенасыщения (скорости конденсации), энергии активации поверхностной диффузии. Эти характеристики могут рассматриваться как технологические параметры ТП и исходных материалов, поэтому проанализируем их влияние на стадии образования зародышей и формирования первых (моноатомных) слоев.
Пленка, образованная при высоком энергетическом барьере, должна состоять из зародышей, имеющих большой критический радиус и низкую скорость зарождения (малое число зародышей), т. е. состоять из нескольких крупных агрегатов. Пленка, образованная при низком энергетическом барьере, должна состоять из зародышей, имеющих малый критический радиус и высокую скорость зарождения (большое число зародышей), т. е. состоять из большого числа мелких агрегатов. Такая пленка становится сплошной при относительно малом значении средней толщины, поскольку зародыши уже на ранних стадиях осаждения соприкасаются и срастаются. Кроме того, структура такой пленки более мелкодисперсная, чем у пленки с большим rкр и малым х3. Это, в свою очередь, будет сказываться на электрических свойствах полученных слоев. Таким образом, анализ влияния технологических параметров на rкр, ДGкр, х3 может в первом приближении дать ответ на характер их взаимной зависимости и связь с электронными свойствами полученных слоев.
Сопоставление приведенных данных указывает на существенную зависимость rкр от природы осаждаемого материала и особенно от такого его свойства, как давление насыщенного пара, связанного с теплотой испарения. Поскольку теплота испарения прямо пропорциональна точке кипения (согласно правилу Трутона), можно заключить, что материалы с высокой температурой кипения обладают большим значением ДGV. Следовательно, размеры критических зародышей должны уменьшаться с повышением температуры кипения вещества пленки. Поэтому у металлов с высокой температурой кипения (W, Мо, Rе, Та, Ni, Cr и др.) даже очень малые зародыши являются стабильными. У металлов с невысокой температурой кипения (Zn, Cd, Ag, Au, Cu и др.) зародыши должны достичь значительной величины, прежде чем стать стабильными. С увеличением размеров их устойчивость повышается.
При срастании агрегатов между ними формируются границы зерен. Таким образом, размер зерен образующейся пленки определяется величиной критических и (сверхкритических) зародышей. В свою очередь, как подчеркивалось ранее, структура пленки влияет на ее электрофизические свойства. Окончательные размеры зерен зависят и от режимов последующей обработки пленки, например ее отжига при определенных температуре, времени, давлении и т. п. Исследования тонких пленок показали, что материалы пластины и испаряемого вещества, а также условия осаждения влияют на структуру пленок.
Из приведенных соотношений следует, что размеры критических зародышей резко снижаются, если материал пластины имеет большое сродство с осаждаемым веществом, т. е. малый угол ц. Например, если в качестве материала пластины служит металл, для которого уS= 1,5 Дж/м2, ц→0, то при осаждении алюминия rкр может иметь значение, близкое к нулю, что указывает на отсутствие энергетического барьера при зарождении пленки даже у металлов с высоким давлением насыщенного пара. Поэтому образование сплошных пленок может происходить при нанесении на металлическую или полупроводниковую пластину даже нескольких моноатомных слоев осаждаемого металла. Такое явление часто используется в технологии РЭА для создания адгезионных подслоев при получении пленок из материалов, имеющих малое сродство с пластиной (плохую адгезию к пластине). При этом сначала на пластину напыляют какой-либо материал с малым рк и хорошей адгезией к пластине (ц→0), например Сr или W, затем на него тАФ основной металл (А1, Сu, Аu и т. п.), который будет осуществлять ту или иную заданную электрическую функцию.
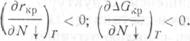
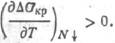
Влияние температуры пластины на размеры критического зародыша определяется зависимостью, полученной в результате дифференцирования выражения (3.6) по температуре:
![]()
![]()
Согласно средним значениям величин, входящих в (3.24) для металлов, уS= 1 Дж/м2, ∂ДGv/∂T≈ДSисп≈8,8∙106 Дж/(м3∙К); дуS /дТ≈5∙10-4 Дж/(м2∙К) при | ДGv | <1,64∙1010 Дж/м3 получим
![]()
![]()
что имеет место практически во всех случаях, когда существует энергетический барьер образования зародышей.


Следовательно, увеличение температуры пластины ведет к росту rкр и сохранению островковой структуры и для более высоких значений средней толщины пленки. На рис. 3.6 приведена зависимость среднего расстояния d между агрегатами (плотности агрегатов) от температуры пластины при термическом испарении и катодном распылении. Угол наклона кривых 1 и 2 позволяет определить ДGп.д.
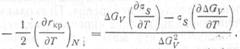
Продифференцировав ДGкр по температуре, найдем
![]()
![]()
Поскольку скорость образования зародышей х3 экспоненциально связана с ДGкр [см. уравнение (3.23)], скорость возникновения агрегатов критических и сверхкритических размеров быстро убывает с ростом температуры. В этом случае для создания сплошной пленки потребуется более продолжительное время.
Влияние скорости осаждения пленки (степени перенасыщения) на размеры критических зародышей (rкр) и ДGкр обусловлено зависимостью этой скорости от значения ДGv [см. (3.3) и (3.4)]. При увеличении N↓ или рпер (ритАФpк) возрастает ДGv. Поскольку поверхностные энергии пластины и границы раздела не зависят от N↓,
![]()
![]()
Следовательно, рост скорости осаждения пленки приводит к уменьшению размеров зародышей и увеличению скорости их возникновения. Поскольку зависимость ДGv = f (N↓) является логарифмической, влияние скорости осаждения пленки на значения rкр и ДGкр сказывается очень сильно.
Повышение скорости осаждения при реальных условиях может привести и к увеличению размеров критических зародышей, т. е. зависимость rкр = f(N↓) является более сложной, чем описываемая теорией Гиббса тАФ Фольмера.
Влияние поверхностной диффузии на размеры критического зародыша аналитически определить нельзя. Однако скорость образования критических зародышей должна зависеть от способности адсорбированных атомов диффундировать и сталкиваться друг с другом. Согласно уравнению (3.23) эта скорость уменьшается экспоненциально с увеличением энергии активации поверхностной диффузии. Если энергия активации велика, то диффузия протекает медленно и зародыши растут только за счет столкновения их с атомами паровой фазы. Энергию активации диффузии часто принимают равной 1/4 энергии активации десорбции в газовую фазу, т. е.
![]()
Энергия связи осаждаемых атомов с пластиной ДGадс, как показано ранее, влияет на значения rкр и ДGкр. Поэтому для неоднородных поверхностей пластин, где ДGадс заметно изменяется от участка к участку, на различных участках пластины значения rкр и ДGкр различны, что сказывается на однородности осаждаемой пленки. Вот почему в технологии РЭА необходимо иметь подложки с однородной и чистой поверхностью.
Энергия адсорбции для некоторых металлов имеет следующие значения:
![]()
3. Рост пленок. Эпитаксия
В радиоэлектронике используются пленки, реальная толщина которых во многих случаях больше, чем высота купола критических и сверхкритических зародышей. Поэтому необходимо рассмотреть не только образование, но и развитие (рост) пленки после того, как она стала сплошной, т. е. после исчезновения островковой структуры. При этом следует определить:
1) степень влияния механизма образования зародышей на дальнейшую структуру пленки, а также на возникновение границ зерен, дефектов структуры: упаковки, двойниковых структур, вакансий, дислокаций и др.;
2) зависимость изменения или повторения образовавшейся структуры от механизма роста пленок и различных параметров состояния;
3) способы влияния на изменение структуры пленки с целью улучшения ее электрофизических свойств.
Осаждение монокристаллических пленок на монокристаллические пластины называют эпитаксией. В понимании механизма роста пленок эпитаксия играет большую роль.
Эпитаксиальная пленка когерентна со структурой пластины, т. с. повторяет эту структуру. Такая пленка может ВлнаследоватьВ» или ВлзалечиватьВ» дефекты пластины в зависимости от условий осаждения и ее обработки.
После того как получен первый сплошной слой пленки, следующий слой формируется независимо от структуры пластины. Рост отдельного агрегата на атомарном уровне может быть как эпитаксиальным, так и неэпитаксиальным. Для анализа механизма роста пленки воспользуемся моделью образования куполообразного зародыша, описанной в п.1.
Согласно уравнению (3.18) свободная энергия образования критического зародыша
![]()
При осаждении пленки на предыдущий слой того же материала можно принять ц = 0. Тогда f(ц) =0 и ДGкр = 0. Следовательно, энергетический барьер отсутствует. Поэтому конденсирующиеся атомы на поверхности пленки непосредственно встраиваются в структуру растущего слоя. В этом случае классическая модель образования зародышей макроскопических размеров не применима к образованию микроскопических (например, двухатомных или трехатомных) агрегатов. После возникновения на пластине сплошной пленки ее рост следует рассматривать с позиций роста кристаллов. Поверхность кристалла никогда не бывает идеально гладкой. На ней всегда имеются различные выступы, ямки, островки и другие неоднородности структуры (рис. 3.7). Механизм роста пленки включает в себя адсорбцию атомов из паровой фазы (преимущественно на гранях кристалла), поверхностную диффузию к ступеньке, взаимодействие со ступенькой, диффузию вдоль ступеньки и достраивание ступеньки. В зависимости от того, какое положение занимает адсорбированный атом на поверхности кристалла, число атомов, окружающих его, различно. Поэтому различна и энергия связи его с поверхностью кристалла, а следовательно, и энергия активации поверхностной диффузии.
Условия равновесия, которые существуют между различными положениями атомов (рис. 3.7), таковы:
![]()
![]()
где пi1, пi2, пi3, пi4 тАФ равновесные концентрации атомов соответствующего типа; рМетАФдавление пара осаждаемого компонента; х1, х2,тАж, х10 тАФ скорости движения атомов.
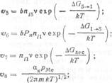
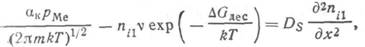
Скорости х5тАФ х10 , влияющие на рост пленки, можно найти следующим образом:


где b - длина ступеньки на единицу площади; v≈1013 с-1 тАФчастота колебаний атомов, находящихся на поверхности пленки; ДG1→5, ДG5→1 тАФ свободные энергии диффузии атомов при переходе из положения 1 в положение 5 и обратно; Рн тАФ вероятность данного направления движения атомов при их миграции по поверхности пленки (для плотно упакованных кристаллов Рн=1/6); Ко, KiтАФ число позиций атомов на единичной поверхности и длине ступеньки.


Таким образом, анализ роста пленки сводится к выявлению преобладающей стадии роста в тех или иных задаваемых условиях. Для случая, когда преобладает скорость поверхностной диффузии х6, а скоростью диффузии вдоль ступеньки х4 можно пренебречь, уравнение диффузии для адсорбированных атомов примет вид
![]()
![]()
Где DS тАФ коэффициент поверхностной диффузии; х тАФ координата движения частицы.
Выражение (3.30) является кинетическим уравнением роста пленок.
Анализ роста монокристаллических (эпитаксиальных) пленок позволяет выявить кроме первичных дефектов структуры, вызванных условиями зарождения, и вторичные дефекты, появляющиеся в процессе роста,тАФ дислокационные петли, дефекты упаковки и точечные дефекты. Часто встречающимися дефектами в пленках являются дислокации. Концентрация дефектов условно характеризуется плотностьюдислокации, измеряемой их числом на 1 см2. Эта величина в эпитаксиальных пленках металлов достигает нередко значений 1010тАФ1011 см-2. В полупроводниковых эпитаксиальных пленках, используемых в производстве ИМС, плотность дислокаций составляет 10тАФ104 см-2.
Причины появления дислокаций различны. Пленки формируются в процессе осаждения. Ранее осажденные слои могут покрываться последующими до того, как будет достигнуто термическое равновесие с предыдущим слоем. При этом в слой может попадать большое число вакансий. Процесс усугубляется, если температура пластин низкая. В этом случае тепловой энергии (конденсации) может не хватить для того, чтобы обеспечить миграцию атомов по поверхности. Поэтому атомы будут оставаться в тех местах, куда они попали при соударении с поверхностью. Поскольку их распределение носит случайный характер, они будут вносить разупорядоченность в структуру осаждаемой пленки. Степень разупорядоченности зависит от наличия примесей в пленке и на ее поверхности, а также от неоднородных поверхностных свойств предыдущего слоя, низкой температуры конденсации и т. п.
4. Химический рост эпитаксиальных пленок
В предыдущих параграфах были рассмотрены процессы образования и роста пленок при испарении и конденсации согласно термодинамической теории Гиббса тАФ Фольмера, справедливой для степени перенасыщения, не превышающей 108. При испарении тугоплавких металлов (W, Mo, Re, V) степень перенасыщения достигает значений 1030тАФ1040; размеры критических зародышей, рассчитанные по уравнению (3.6), соответствуют размерам одного атома и меньше, что противоречит физическому смыслу. Аналогичная ситуация возникает и при осаждении слоев химическими способами из газовой фазы, где степень перенасыщения составляет 1020тАФ1040. В этом случае единственно приемлемой теорией для анализа роста пленок является кинетическая теория Френкеля тАФ Родина.

Пока не существует достаточно разработанной теории образования и роста эпитаксиальных слоев. Излагаемая теория ФренкелятАФ Родина устанавливает лишь ряд важных закономерностей, часто подтверждаемых экспериментально.
В1924 г. советский ученый Я. И. Френкель ввел понятие двумерного пара (газа). В соответствии с этим понятием атомы, попавшие на поверхность твердого тела из объема паровой или газовой фазы, адсорбируются этой поверхностью и удерживаются на ней в течение времени:
![]()
![]()
где ф0 = 10-13 с тАФвремя, соответствующее дебаевской частоте; ДGадс тАФ свободная энергия адсорбции атома; Т тАФ температура поверхности.
Частицы двумерного пара, мигрируя по поверхности, сталкиваются друг с другом, образуя агрегаты из двух, трех и т. д. атомов. Простейшим агрегатом является двойник (i = 2), показанный на рис. 3.8, a, с энергией межатомной связи Е11 и энергией связи с поверхностью 2E12. Поскольку двухатомные агрегаты вдвое сильнее связаны с поверхностью, чем одиночные атомы, они и менее подвижны. Для испарения двойника нужна энергия 2E12, а одного атома Е12. При осаждении металлов и полупроводников на диэлектрические пластины Е11>Е12; процесс испарения двойника менее вероятен, чем одного атома, что соответствует образованию зародыша конденсированной фазы. При увеличении агрегата (i = 3, 4,.., п) вероятность образования зародышей увеличивается.
При очень большом перенасыщении газовой фазы критический зародыш может состоять из одного атома. Поэтому, когда возникает агрегат из двух атомов, более вероятно, что он будет расти, а. не распадаться. Снижение перенасыщения приводит к тому, что вероятность присоединения к одному атому другого становится равна вероятности распада агрегата. В таком случае стабильными станут конфигурации с двумя связями на атом. При дальнейшем, снижении перенасыщения стабильными становятся агрегаты из трех, четырех и т. д. атомов (рис. 3.8, атАФг). Стабильными образованиями являются треугольник и квадрат. В первом случае зародыш имеет ориентацию <111>, во втором тАФ <100>. Таким образом, степень перенасыщения должна сказываться на ориентации стабильных зародышей.
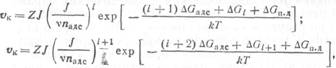
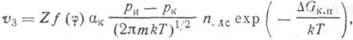
Зависимость скорости хK образования зародышей (конденсации) из потока I частиц, попадающих на пластину, от температуры пластины Т может быть описана следующими уравнениями:
![]()

где падс тАФ число единичных адсорбированных атомов; v тАФ частота колебания адсорбированного атома; ДGi, ДGi+1 тАФ свободные энергии образования зародыша в результате межатомного взаимодействия (аналог ДGк.п при эпитаксии).
Поскольку i невелико, можно методом проб и ошибок установить, какое значение i (1, 2, 3,..) отвечает экспериментальным данным.
Процессы образования эпитаксиальных слоев во многом определяют характер их роста и, следовательно, степень кристаллического совершенства полученной структуры. При значительной разориентации отдельных зародышей слой будет иметь большое число дефектов и может стать неприемлемым для изготовления ИМС.
Наибольшее распространение в промышленной практике получили процессы эпитаксии полупроводников из газовой фазы с помощью химических реакций.
Развитие методов эпитаксии, особенно гетероэпитаксии (выращивания пленки одного материала на подложке другого), позволяет получать приборы с такими высокими электрическими характеристиками, которые трудно реализовать другими технологическими методами.
Глава 2. Физико-химические основы поверхностных процессов
1. Термодинамика поверхностных процессов
Свойства поверхности раздела отдельных слоев структуры или конструкции функциональных узлов, состоящих из металлов, диэлектриков, полупроводников, композиционных материалов, важны при формировании практически всех элементов и компонентов РЭА. Они зависят от сложных комплексных характеристик поверхностей раздела на атомарном и субатомарном уровнях, а также взаимодействия этих поверхностей с полями (электрическими, электромагнитными) и излучениями (электромагнитными, оптическими, атомными и субатомными). Изменение характеристик поверхности раздела под действием внешних и внутренних факторов приводит к необратимым изменениям параметров качества изделий РЭА. Характеристики поверхностных и приповерхностных слоев влияют на все эксплуатационные параметры РЭА.
Знания физико-химических свойств поверхностей твердых тел хотя и расширились в последнее десятилетие, однако еще недостаточны для установления количественных взаимосвязей параметров качества изделий и технологических факторов. Эти взаимосвязи важны для выбора оптимальных технологических решений при обработке, эксплуатации и сохранения свойств поверхностных и приповерхностных слоев в РЭА.
Любое технологическое воздействие среды на материал или изделие, как правило, начинается с взаимодействия частиц этой среды с поверхностью материала (изделия). Для большинства ТП производства РЭА необходимо знать механизм такого взаимодействия не только при формировании (зарождении, росте, травлении), но и при эксплуатации слоев. Это требует от технологов тщательного изучения явлений и процессов, которые могут протекать на поверхности при различных условиях (технологических факторах).
Термодинамика поверхностных явлений рассматривает состояния поверхностных атомов, отличающихся от состояния атомов, расположенных во внутренних слоях вещества. Причиной этого различия является неодинаковое взаимодействие атомов твердого тела с окружающими частицами. Поэтому свойства поверхностного слоя вещества отличаются от свойств его внутренних слоев. Следовательно, необходимо различать поверхностные и объемные свойства вещества. Чем больше отношение площади поверхности твердого тела к его объему, тем сильнее сказывается влияние поверхностных свойств на общие. Поверхностные свойства веществ проявляются на любой поверхности раздела фаз: твердое тело тАФ газ, твердое тело тАФ твердое тело, жидкость тАФ пар, жидкость тАФ жидкость.
Термодинамические параметры поверхности определяются природой материала и его фи
Вместе с этим смотрят:
IP-телефония. Особенности цифровой офисной связи