Обработка результатов измерений
В практической жизни человек всюду имеет дело с измерениями. На каждом шагу встречаются измерения таких величин, как длина, объем, вес, время и др.
Измерения являются одним из важнейших путей познания природы человеком. Они дают количественную характеристику окружающего мира, раскрывая человеку действующие в природе закономерности. Все отрасли техники не могли бы существовать без развернутой системы измерений, определяющих как все технологические процессы, контроль и управление ими, так и свойства и качество выпускаемой продукций.
Велико значение измерений в современном обществе. Они служат не только основой научно-технических знаний, но имеют первостепенное значение для учета материальных ресурсов и планирования, для внутренней и внешней торговли, для обеспечения качества продукции, взаимозаменяемости узлов и деталей и совершенствования технологии, для обеспечения безопасности труда и других видов человеческой деятельности.
Особенно возросла роль измерений в век широкого внедрения новой техники, развития электроники, автоматизации, атомной энергетики, космических полетов. Высокая точность управления полетами космических аппаратов достигнута благодаря современным совершенным средствам измерений, устанавливаемым как на самих космических аппаратах, так и в измерительно-управляющих центрах.
Большое разнообразие явлений, с которыми приходится сталкиваться, определяет широкий круг величин, подлежащих измерению. Во всех случаях проведения измерений, независимо от измеряемой величины, метода и средства измерений, есть общее, что составляет основу измерений тАУ это сравнение опытным путем данной величины с другой подобной ей, принятой за единицу. При всяком измерении мы с помощью эксперимента оцениваем физическую величину в виде некоторого числа принятых для нее единиц, т.е. находим ее значение.
В настоящее время установлено следующее определение измерения: измерение есть нахождение значения физической величины опытным путем с помощью специальных технических средств.
Отраслью науки, изучающей измерения, является метрология.
Слово ВлметрологияВ» образовано из двух греческих слов: метрон тАУ мера и логос тАУ учение. Дословный перевод слова ВлметрологияВ» тАУ учение о мерах. Долгое время метрология оставалась в основном описательной наукой о различных мерах и соотношениях между ними. С конца прошлого века благодаря прогрессу физических наук метрология получила существенное развитие. Большую роль в становлении современной метрологии как одной из наук физического цикла сыграл Д.И. Менделеев, руководивший отечественной метрологией в период 1892тАУ1907 гг.
Метрология в ее современном понимании тАУ наука об измерениях, методах, средствах обеспечения их единства и способах достижения требуемой точности.
Единство измерений тАУ такое состояние измерений, при котором их результаты выражены в узаконенных единицах и погрешности измерений известны с заданной вероятностью. Единство измерений необходимо для того, чтобы можно было сопоставить результаты измерений, выполненных в разных местах, в разное время, с использованием разных методов и средств измерений.
Измерение является важнейшим понятием в метрологии. Это организованное действие человека, выполняемое для количественного познания свойств физического объекта с помощью определения опытным путем значения какой-либо физической величины [20].
Существует несколько видов измерений. При их классификации обычно исходят из характера зависимости измеряемой величины от времени, вида уравнения измерений, условий, определяющих точность результата измерений и способов выражения этих результатов.
По характеру зависимости измеряемой величины от времени измерения разделяются на статические, при которых измеряемая величина остается постоянной во времени; динамические, в процессе которых измеряемая величина изменяется и является непостоянной во времени.
Статическими измерениями являются, например, измерения размеров тела, постоянного давления, динамическими тАУ измерения пульсирующих давлений, вибраций.
По способу получения результатов измерений их разделяют на
прямые;
косвенные;
совокупные;
совместные.
Прямые тАУ это измерения, при которых искомое значение физической величины находят непосредственно из опытных данных. Прямые измерения можно выразить формулой
Вагде
ВатАУ искомое значение измеряемой величины, а X тАУ значение, непосредственно получаемое из опытных данных.
При прямых измерениях экспериментальным операциям подвергают измеряемую величину, которую сравнивают с мерой непосредственно или же с помощью измерительных приборов, градуированных в требуемых единицах. Примерами прямых служат измерения длины тела линейкой, массы при помощи весов и др. Прямые измерения широко применяются в машиностроении, а также при контроле технологических процессов (измерение давления, температуры и др.).
Косвенные тАУ это измерения, при которых искомую величину определяют на основании известной зависимости между этой величиной и величинами, подвергаемыми прямым измерениям, т.е. измеряют не собственно определяемую величину, а другие, функционально с ней связанные. Значение измеряемой величины находят путем вычисления по формуле
Вагде Q тАУ искомое значение косвенно измеряемой величины;
F тАУ функциональная зависимость, которая заранее известна,
ВатАУ значения величин, измеренных прямым способом.
Примеры косвенных измерений: определение объема тела по прямым измерениям его геометрических размеров, нахождение удельного электрического сопротивления проводника по его сопротивлению, длине и площади поперечного сечения.
Косвенные измерения широко распространены в тех случаях, когда искомую величину невозможно или слишком сложно измерить непосредственно или когда прямое измерение дает менее точный результат. Роль их особенно велика при измерении величин, недоступных непосредственному экспериментальному сравнению, например размеров астрономического или внутриатомного порядка.
Совокупные тАУ это производимые одновременно измерения нескольких одноименных величин, при которых искомую определяют решением системы уравнений, получаемых при прямых измерениях различных сочетаний этих величин.
Примером совокупных измерений является определение массы отдельных гирь набора (калибровка по известной массе одной из них и по результатам прямых сравнений масс различных сочетаний гирь).
Пример. Необходимо произвести калибровку разновеса, состоящего из гирь массой 1, 2, 2*, 5, 10 и 20 кг (звездочкой отмечена гиря, имеющая то же самое номинальное значение, но другое истинное). Калибровка состоит в определении массы каждой гири по одной образцовой гире, например по гире массой 1 кг. Для этого про-ведем измерения, меняя каждый раз комбинацию гирь (цифры показывают массу отдельных гирь,
ВатАУ обозначает массу образцовой гири в 1 кг):
![]()
![]()
![]()
Ваи т.д.
Буквы
Ваозначают грузики, которые приходится прибавлять или отнимать от массы гири, указанной в правой части уравнения, для уравновешивания весов. Решив эту систему уравнений, можно определить значение массы каждой гири.
Совместные тАУ это производимые одновременно измерения двух или нескольких неодноименных величин для нахождения зависимостей между ними.
В качестве примера можно назвать измерение электрического сопротивления при 200С и температурных коэффициентов измерительного резистора по данным прямых измерений его сопротивления при различных температурах.
По условиям, определяющим точность результата, измерения делятся на три класса:
1. Измерения максимально возможной точности, достижимой при существующем уровне техники.
К ним относятся в первую очередь эталонные измерения, связанные с максимально возможной точностью воспроизведения установленных единиц физических величин, и, кроме того, измерения физических констант, прежде всего универсальных (например абсолютного значения ускорения свободного падения, гиромагнитного отношения протона и др.).
К этому же классу относятся и некоторые специальные измерения, требующие высокой точности.
2. Контрольно-поверочные измерения, погрешность которых с определенной вероятностью не должна превышать некоторого заданного значения.
К ним относятся измерения, выполняемые лабораториями государственного надзора за внедрением и соблюдением стандартов и состоянием измерительной техники и заводскими измерительными лабораториями, которые гарантируют погрешность результата с определенной вероятностью, не превышающей некоторого, заранее заданного значения.
3. Технические измерения, в которых погрешность результата определяется характеристиками средств измерений.
Примерами технических измерений являются измерения, выполняемые в процессе производства на машиностроительных предприятиях, на щитах распределительных устройств электрических станций и др.
По способу выражения результатов измерений различают абсолютные и относительные измерения.
Абсолютными называются измерения, которые основаны на прямых измерениях одной или нескольких основных величин или на использовании значений физических констант.
Примером абсолютных измерений может служить определение длины в метрах, силы электрического тока в амперах, ускорения свободного падения в метрах на секунду в квадрате.
Относительными называются измерения отношения величины к одноименной величине, играющей роль единицы, или измерения величины по отношению к одноименной величине, принимаемой за исходную.
В качестве примера относительных измерений можно привести измерение относительной влажности воздуха, определяемой как отношение количества водяных паров в 1 м3 воздуха к количеству водяных паров, которое насыщает 1 м3 воздуха при данной температуре.
Основными характеристиками измерений являются: принцип измерений, метод измерений, погрешность, точность, правильность и достоверность.
Принцип измерений тАУ физическое явление или совокупность физических явлений, положенных в основу измерений. Например, измерение массы тела при помощи взвешивания с использованием силы тяжести, пропорциональной массе, измерение температуры с использованием термоэлектрического эффекта.
Метод измерений тАУ совокупность приемов использования принципов и средств измерений. Средствами измерений являются используемые технические средства, имеющие нормированные метрологические свойства.
Погрешность измерений тАУ разность между полученным при измерении X' и истинным Q значениями измеряемой величины:
![]()
Погрешность вызывается несовершенством методов и средств измерений, непостоянством условий наблюдения, а также недостаточным опытом наблюдателя или особенностями его органов чувств.
Точность измерений тАУ это характеристика измерений, отражающая близость их результатов к истинному значению измеряемой величины.
Количественно точность можно выразить величиной, обратной модулю относительной погрешности:

Например, если погрешность измерений равна
Вато точность равна
.
Правильность измерения определяется как качество измерения, отражающее близость к нулю систематических погрешностей результатов (т.е. таких погрешностей, которые остаются постоянными или закономерно изменяются при повторных измерениях одной и той же величины). Правильность измерений зависит, в частности, от того, насколько действительный размер единицы, в которой выполнено измерение, отличается от ее истинного размера (по определению), т.е. от того, в какой степени были правильны (верны) средства измерений, использованные для данного вида измерений.
Важнейшей характеристикой качества измерений является их достоверность; она характеризует доверие к результатам измерений и делит их на две категории: достоверные и недостоверные, в зависимости от того, известны или неизвестны вероятностные характеристики их отклонений от истинных значений соответствующих величин. Результаты измерений, достоверность которых неизвестна, не представляют ценности и в ряде случаев могут служить источником дезинформации.
Наличие погрешности ограничивает достоверность измерений, т.е. вносит ограничение в число достоверных значащих цифр числового значения измеряемой величины и определяет точность измерений.
Обработка результатов косвенных измерений
Пусть при косвенных измерениях величина Z рассчитывается по экспериментальным данным, полученным по mизмерениям величин a j:
Ва(2.3.11)
Запишем полный дифференциал функции:
Ва(2.3.12)
В случае слабой зависимости функции от аргументов её приращение может быть выражено в виде линейной комбинации
. Согласно (2.3.12) получим:
Ва(2.3.13)
Каждое слагаемое в (2.3.13) представляет собой частную погрешность результата косвенных измерений.
Производные
Ваназывается коэффициентами влияния соответствующих погрешностей.
Формула (2.3.13) является приближённой, т. к. учитывает только линейную часть приращений функции. В большинстве практических случаев такое приближение оправдано.
Если известны систематические погрешности
Вапрямых измерений
Вато формула (2.3.13) позволяет рассчитать систематическую погрешность косвенных измерений.
Если частные производные в (2.3.13) имеют разные знаки, то происходит частичная компенсация систематических погрешностей.
Если формула (2.3.13) используется для вычисления предельной погрешности, то она принимает вид:
Ва(2.3.14)
Рассмотрим, как, используя формулу (2.3.13), можно оценить случайную погрешность косвенных измерений.
Пусть погрешность прямых измерений
Ваимеет нулевое математическое ожидание
Ваи дисперсию
.
Использую (2.3.13) запишем выражения для математического ожидания и дисперсии погрешности косвенных измерений
ВаМатематические ожидания отдельных измерений складываются с учетом вклада каждого из них:
Ва(2.3.15)
Для вычисления дисперсии воспользуемся правилом сложения погрешностей:
Ва(2.3.16)
Где
ВатАУ коэффициент корреляции погрешностей
.
Если погрешности
не коррелированны, то
Ва(2.3.17)
Обработка результатов прямых измерений
Пусть результаты прямых измерений равны n прямых измерений равны
y 1, y 2,тАж, y n. Предположим, что истинное значение измеряемой величины равно a, тогда
Вапогрешность iтАУ го измерения.
Относительно погрешности предполагаются следующие допущения:
1)
ВатАУ случайная величина с нормальным распределением.
2) Математическое ожидание
Ва(отсутствует систематическая погрешность)
3) Погрешность
Ваимеет дисперсию
, которая не меняется в зависимости от номера измерения, т.е. измерение равноточное.
4) Измерения независимы.
При этих допущениях плотность распределения результата измерения
Вазапишется в виде:
Ва(2.3.1)
В данном случае истинное значение измеряемой величины a входит в формулу (2.3.1) как параметр.
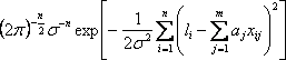
Вследствие независимости отдельных измерений плотность распределения системы величин y 1, y 2,тАж, y n. выражается формулой:
. (2.3.2)
С учетом (2.3.1) и независимости y 1, y 2,тАж, y n. их многомерная плотность распределения (2.3.2) представляет собой функцию правдоподобия:
Ва(2.3.3)
Используя функцию правдоподобия (2.3.3) необходимо найти оценку a o для измеряемой величины a таким образом, чтобы в (2.3.3) a = a o выполнялось условие:
Ва(2.3.4)
Для выполнения (2.3.4) необходимо, чтобы
Ва(2.3.5)
По сути условие (2.3.5) является формулировкой критерия наименьших квадратов, т.е. для нормального распределения оценки по методу наименьших квадратов и методу максимального правдоподобия совпадают.
Из (2.3.4) и (2.3.5) можно получить также наилучшую оценку
Ва(2.3.6)
Важно понимать, что полученная оценка является случайной величиной с нормальным распределением. При этом
Ва(2.3.7)
Таким образом, получая
, мы увеличиваем точность измерений, т. к. дисперсия этой величины в n раз меньше дисперсии отдельных измерений. Случайная погрешность при этом уменьшится в
Вараз.
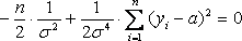
Для оценки неопределенности величины
Ванеобходимо получить оценку погрешности (дисперсии). Для этого прологарифмируем функцию максимального правдоподобия (2.3.3) и оценку дисперсии найдем из условия
Ва(2.3.8)
После дифференцирования получим
Ва(2.3.9)
а далее, из (2.3.9) тАУ оценку дисперсии
:
Ва(2.3.10)
Таким образом мы доказали, что для нормально распределенных данных СКО является лучшей оценкой дисперсии.
Обработка результатов совместных измерений
При совместных измерениях полученные значения используются для построения зависимостей между измеряемыми величинами. Рассмотрим многофакторный эксперимент, по результатом которого должна быть построена зависимость ![]()
Предположим далее, что зависимость
Вато есть параметр состояния есть линейная комбинация из входных факторов. В процессе эксперимента проводится совместных измерений для нахождения коэффициентов ![]()
В этом случае искомые величины определяются в результате решения системы линейных уравнений:
Ва(2.3.18)
Где
ВатАУ искомые коэффициенты зависимости, которую необходимо определить,
ВатАУ измеряемые значения величин.
В предположении, что система уравнений (2.3.18) является точной, но значения
Ваполучены с погрешностями, запишем:
Ва(2.3.19)
где
ВатАУ погрешность измерения
, тогда
Ва(2.3.20)
Для решения задачи мы вынуждены использовать значения
. При этом, если число измерений
Вабольше числа неизвестных в уравнении (2.3.18), то система (2.3.18) не имеет однозначных решений.
Поэтому уравнения системы (2.3.18) иногда называют условными.
Оценим случайную погрешность совместных измерений. Пусть погрешность
Ваимеет нормальный закон распределения с нулевым математическим ожиданием и дисперсией. Измерения
Ванезависимы. В этом случае по аналогии с обработкой прямых измерений может быть построена функция максимального правдоподобия:
![]()
Ва(2.3.21)
Для нахождения экстремума функции правдоподобия (2.3.21) воспользуемся уже известной процедурой. Прологарифмируем (2.3.21) и найдём значения, при которых функция достигает экстремума. Условие максимума функции (2.3.21) является:
Ва(2.3.22)
Таким образом ((2.3.22)) отвечает требованиям метода наименьших квадратов. Следовательно, при нормальном распределении случайной погрешности оценки по методу максимального правдоподобия и по методу наименьших квадратов совпадает.
Для нахождения оценки
Ваудовлетворяющей (2.3.22) необходимо добиться равенства нулю всех частных производных этой функции по ![]()
Для каждого значения
Ваэта оценка будет находиться из следующего уравнения:
Ва(2.3.23)
Система уравнений (2.3.23) является линейной относительно
Ваи называется системой нормальных уравнений. Число уравнений в системе всегда совпадает с числом
.
Система (2.3.23) решается методом определителей
![]()
Где D тАУ определитель матрицы
Ваа определитель Dj получается из определителя Dзаменой j-го столбца столбцом свободных членов.
Для нахождения оценки дисперсии результатов
Ванайдем условие максимума после логарифмирования (2.3.21) и подставим
Ва(см. (2.3.8тАУ2.3.10)), получим:
![]()
Построение функциональной зависимости при однофакторном эксперименте
Пусть при однофакторном эксперименте имеется выборка, описывающая изменения входных параметров, и набор выходных величин (рис. 3.1). Необходимо построить зависимость
.

Рис. 3.1
Для анализа экспериментальных данных существует очень много способов задания этой зависимости аналитическими и численными методами. Мы отметим лишь самые распространенные из них:
1. Дальнейшая обработка может проводиться при непосредственном численном использовании массива значений
.
2. 2. В случае, когда количество измерений i не слишком велико и разброс значений
Вамал, зависимость
Ваможет быть построена путем интерполяции (аппроксимации) через все экспериментальные точки. В этом случае проводится зависимость
Вачерез все точки с координатами
. Простейший вариант проведения такой зависимости заключается в построении полинома (степенного ряда).
Пусть
Ва(3.1.1)
Интерполирующая функция ![]()
Многочлен
Ваимеет +1 член.
Требуя выполнения условия (3.1.1), получим систему из
Вауравнений с
Ванеизвестными:
Ва(3.1.2)
где каждому
Васоответствует свое уравнение.
Вместо решения системы уравнений (3.1.2) на практике используются более удобные и менее трудоемкие способы, в частности:
В· интерполирование многочленом Лагранжа;
В· интерполирование многочленом Ньютона.
Интерполяционные формулы Ньютона особенно удобны в случае равноотстоящих узлов (
одинаково для всех i). В случае, если i велико (большое число узлов), интерполяционный многочлен имеет высокую степень и оказывается неудобным для вычислений.
3. При слишком высокой степени полинома проблемы можно избежать, разбив отрезок интерполяции на несколько частей с построением для каждой из них своего интерполяционного многочлена. Такое интерполирование имеет серьезный недостаток: в точках стыка интерполяционных многочленов оказывается разрывной первая производная. На рисунке 3.2 показан простейший способ такой интерполяции экспериментальной зависимости тАУ соединение соседних точек прямыми (многочлен степени
).
4. Если необходимо, чтобы зависимость имела непрерывные производные, пользуются сплайнами.
Сплайн (от англ. spline тАУ рейка) тАУ функция, являющаяся алгебраическим многочленом на каждом отрезке
Ваи непрерывная во всей области вместе со своими производными. Чаще всего пользуются сплайнами третьей степени. Соответствующая зависимость показана на рис. 3.2 курсивом.

Рис. 3.2.
5. При однофакторном эксперименте, когда имеются результаты многократных измерений со случайной погрешностью (см. параграф 2.2 настоящего пособия), проведение зависимости через все экспериментальные точки бессмысленно. Чаще всего в этом случае для построения функциональной зависимости пользуются методом наименьших квадратов (МНК).
Построение функциональной зависимости при помощи метода наименьших квадратов. Данный метод используется тогда, когда число точек i (узлов) велико и построение плавной зависимости
Ва(3.1.3)
проходящей через все точки
Ваневозможно из-за большого разброса значений. Функция (3.1.3) называется уравнением регрессии y на x. Пусть приближенная функция, описывающая
Вазависит от трех параметров
ВаЭта функция не будет проходить через все точки с координатами
Ватогда можно найти сумму квадратов разностей
Ва(3.1.4)
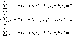
Задача сводится к отысканию минимума
, т.е. к решению системы уравнений
ВаА именно 
(3.1.5)
Решив систему (3.1.5) относительно параметров a, b, c находим конкретный вид искомой функции.
Приближающая (приближенная) функция может иметь любой вид: линейная зависимость, парабола, синусоида и т.д. Чаще всего используются алгебраические многочлены не выше третьего порядка. В большинстве случаев анализируется линейная регрессия, когда
Ва(3.1.6)
Главная особенность регрессионного анализа состоит в том, что регрессия y на x не соответствует регрессии x на y (см. рис. 3.3).

Рис. 3.3.
Поясним это свойство регрессионных зависимостей. Пусть формула регрессии имеет вид (3.1.6), приведем ее обратную функцию:
Ва(3.1.7)
Обратим внимание, что в (3.1.7) свободный член
Вазависит от коэффициента наклона a прямой зависимости (3.1.6). При построении же регрессии прямая проходит приблизительно через середину области, охватывающей экспериментальные точки и ее наклон определяется отношением разброса значений по осям x и y (пересечение функций
Ваи
Ванаходится в середине области экспериментальных значений). Таким образом, регрессия x(y), построенная по экспериментальным данным, не будет совпадать с (3.1.7) из-за наличия свободного члена.

Рис. 3.4
Графически это поясняется на рис. 3.4, где по трем экспериментальным точкам построены регрессии y(x) и x(y), которые не совпадают. Для минимизации СКО трех экспериментальных точек от прямой, зависимость должна проходить через одну из них и в середине между двумя другими точками. Как видно из рис. 3.4, линейные регрессии, построенные из этих соображений пресекаются в центре области экспериментальных значений и имеют разный наклон.
Быстрые методы построения функциональных зависимостей
Задача выбора вида функциональной зависимости тАУ задача неформализуемая, так как одна и та же экспериментальная зависимость может быть описана разными аналитическими выражениями приблизительно с одинаковой точностью. Например, U тАУ образная кривая может быть описана как параболой, так и куском синусоиды.
Основное требование к математической модели тАУ компактность и удобство использования, потому чаще всего пользуются алгебраическими многочленами, экспоненциальными и тригонометрическими функциями. Другое требование тАУ интерпретируемость. Например, если экспериментальная зависимость описывает изменение амплитуды затухающих колебаний, то функциональная зависимость может быть построена в виде
Ваили
ВаВ этом случае, из знания природы зависимости (теоретической модели затухающих колебаний), будет выбрана экспоненциальная зависимость
.
Погрешность в выборе функциональной зависимости называется погрешностью адекватности модели. Для ее устранения надо рассматривать теоретическую модель описываемого явления или процесса.
Быстрые методы установления графического вида однофакторных зависимостей. Простейший экспресс-метод статистической обработки тАУ метод контура (рис. 3.5, а, б).
Его суть тАУ обведение экспериментальных точек плавными границами. Требование плавности подразумевает, что некоторые точки могут оказаться вне контура (рис. 3.5, а). Метод контура можно использовать тогда, когда разброс экспериментальных точек не слишком велик (рис. 3.5, б).

а б в
Рис. 3.5
На рисунке 3.5, в показано построение экспериментальной зависимости более строгим экспресс-методом, тАУ методом медианных центров. Для этого область экспериментальных данных разбивается вертикальными линиями на несколько областей (в данном случае тАУ три области), в каждой из которых находится равное количество экспериментальных точек. Медианными центрами каждой из этих областей по координате x являются точки, справа и слева от которых находится равное количество экспериментальных отсчетов. Найдя таким образом координаты
Вамедианных центров, аналогичным образом в каждой области находят их вертикальные координаты
Вавыше и ниже которых находилось бы равное количество точек. Затем по точкам с координатами
Вастроится плавная экспериментальная кривая. Необходимо помнить, что координаты (
) медианных центров не совпадают со средними значениями экспериментальных данных.
Связь коэффициента линейной регрессии, коэффициента корреляции и относительной погрешности. Пусть по результатам однофакторного эксперимента строится линейная регрессия
Ватогда из системы (3.1.5) следует:

Ва(3.2.1)
С другой стороны коэффициент корреляции, характеризующий связь между
Ваи
, по определению
Ва(3.2.2)
Сопоставляя (3.2.1) и (3.2.2), найдем связь между коэффициентом регрессии a и коэффициентом корреляции R:
Ва(3.2.3)
где
ВатАУ среднеквадратичные отклонения
Ваи
ВаТаким образом, коэффициент корреляции связан с разбросом значений по осям x, y и определяет возможную степень отклонения линии регрессионной зависимости по наклону. Пусть величина
Вафиксирована,

Рис. 3.6
тогда возможное отклонение по оси y от среднего значения
Васоставляет
Вагде
Васреднеквадратичное отклонение от линии регрессии (см. рис. 3.6). В связи с этим, учитывая (3.2.3), коэффициент корреляции очень часто определяют как
Ва(3.2.4)
где
ВатАУ ширина полосы погрешностей по y;
ВатАУ разброс значений
Вакоторый определяется диапазоном изменения величины
.
Поскольку в практических случаях
Вато формулу (3.2.4) с учетом приближенного разложения до первого члена в ряд Тейлора приводят к виду
Ва(3.2.5)
Где
Ваприведенная погрешность. Таким образом, в большинстве практических случаев связь между коэффициентом корреляции и приведенной погрешностью может быть установлена при помощи простейшей приближенной формулы (3.2.5).
Быстрая оценка коэффициента корреляции исходных данных. Быструю оценку коэффициента корреляции и погрешности исходных данных можно провести также методом медианных центров (рис. 3.7).
Разобьем поле экспериментальных точек вертикальной чертой на две равные по числу точек области (
точек). В левой и правой частях найдем медианные центры. Проведенная через эти медианные центры, обозначенные звездочкой, прямая aрегрессия y на x Теперь разобьем экспериментальную область на равное количество точек по вертикали горизонтальной чертой и, после нахождения соответствующих медианных центров, получим прямую b тАУ регрессию x на y. Прямые a и b совпадут только в том случае, когда коэффициент корреляции между
Ваи
Варавен единице, то есть R = 1.

Рис. 3.7
По различию прямых a и b можно с учетом (3.2.3) оценить коэффициент корреляции:
Ва(3.2.6)
где
Ваопределяется отношением углов их наклона. Для быстрой оценки относительной погрешности подставим величину R из (3.2.6) в обращенную формулу (3.2.5):
Ва(3.2.7)
Таким образом, быстрая оценка коэффициента корреляции и значения относительной погрешности основывается на том, что прямые a и b обязательно проходят через точку пересечения границ О. При этом, чем выше разброс экспериментальных данных (невытянутая область), тем больше будет угол между прямыми a и b.
При построении регрессионных зависимостей методом медианных центров, необходимо помнить, что полученные линии регрессии в общем случае отличаются от соответствующих зависимостей, полученных при помощи МНК. Их различия будут уменьшаться при увеличении количества экспериментальных точек, если разброс экспериментальных данных подчиняется нормальному закону распределения.
Классификация погрешностей измерений
Погрешность средств измерения и результатов измерения. В первую очередь погрешность измерений следует разделить на погрешность средств измерений и погрешность результатов измерений.
Погрешности средств измерений тАУ отклонения метрологических свойств или параметров средств измерений от номинальных, влияющие на погрешности результатов измерений (создающие так называемые инструментальные ошибки измерений).
Погрешность результата измерения тАУ отклонение результата измерения х изм. от действительного (истинного) значения измеряемой величины
Ваопределяемая по формуле
ВатАУ погрешность измерения.
В свою очередь погрешности средств измерений можно разделить на инструментальную и методическую погрешности.
Инструментальные и методические погрешности. Методическая погрешность обусловлена несовершенством метода измерений или упрощениями, допущенными при измерениях. Так, она возникает из-за использования приближен
Вместе с этим смотрят:
РЖнварiантнi пiдпростори. Власнi вектори i власнi значення лiнiйного оператора
РЖнтегральнi характеристики векторних полiв
Автокорреляционная функция. Примеры расчётов
Актуальные проблемы квантовой механики