Ударные волны. Параметры ударной волны. Ее воздействие на людей, здания и сооружения. Средства и способы защиты от ударных волн
Не раз мы слышали термин Влударная волнаВ» (именно он тАУ объект моего исследования). Это понятие муссируется и по радио, и по телевидению, и в газетах. Наверняка, первый раз этот термин мы слышали на уроках физики в школе и, возможно, не придали ему должного значения, а ведь понятие довольно сложное и важное.
Мы живем в эпоху, когда слова ВлтерроризмВ», ВлвзрывВ» слышим чуть ли не каждый день. А ведь именно взрыв тАУ один из источников ударной волны и поэтому не знать о них, значит быть в постоянной опасности, ведь, как известно, предупрежден, значит вооружен.
Таким образом, незнание об ударных волнах может быть очень опасным для человека. Именно в этом важность и актуальность выбранной мною темы реферата.
Цель моего реферата тАУ глубокое изучение понятия Влударная волнаВ».
Задачи или вопросы, которые я перед собой ставлю, и которые помогут мне достичь цели моей работы тАУ это:
В· что есть Влударная волнаВ»;
В· каковы ее параметры;
В· каковы ее воздействия на людей, здания и сооружения;
В· средства и способы защиты от ударных волн.
Чтобы решить поставленные задачи, я буду использовать современные энциклопедии (в частности БСЭ), учебники для высших учебных заведений по дисциплине ВлБезопасность в чрезвычайных ситуацияхВ», справочники.
1. Ударные волны
1.1 Понятие Влударной волныВ»
Ударная волна, по определению из Большой Советской Энциклопедии, тАУ это скачок уплотнения, распространяющаяся со сверхзвуковой скоростью тонкая переходная область, в которой происходит резкое увеличение плотности, давления и скорости вещества.
Например, при взрыве взрывоопасных веществ образуются высоконагретые продукты, обладающие большой плотностью и находящиеся под высоким давлением. В начальный момент они окружены покоящимся воздухом при нормальной плотности и атмосферном давлении. Расширяющиеся продукты взрыва сжимают окружающий воздух, причём в каждый момент времени сжатым оказывается лишь воздух, находящийся в определённом объёме; вне этого объёма воздух остаётся в невозмущённом состоянии. С течением времени объём сжатого воздуха возрастает.
Классический пример возникновения и распространения ударных волн тАФ опыт по сжатию газа в трубе поршнем. Если поршень вдвигается в газ медленно, то по газу со скоростью звука A бежит акустическая (упругая) волна сжатия. Если же скорость поршня не мала по сравнению со скоростью звука, возникает ударная волна. Расстояния между частицами в ударной волне меньше, чем в невозмущённом газе, вследствие сжатия газа. Если поршень сначала вдвигают в газ с небольшой скоростью и постепенно ускоряют, то ударная волна образуется не сразу. Вначале возникает волна сжатия с непрерывными распределениями плотности R и давления P. С течением времени крутизна передней части волны сжатия нарастает, так как возмущения от ускоренно движущегося поршня догоняют её и усиливают, вследствие чего возникает резкий скачок всех гидродинамических величин, то есть ударная волна. [2], [3]
Звук представляет собой колебания плотности среды, распространяющиеся в пространстве. Уравнение состояния обычных сред таково, что в области повышенного давления скорость звука (скорость распространения возмущений) возрастает. Это неизбежно приводит к явлению опрокидывания решений, которые и порождают ударные волны.
В силу этого механизма, ударная волна в обычной среде тАФ это всегда волна сжатия. Однако в тех системах, в которых скорость распространения возмущений уменьшается с ростом плотности, будет наблюдаться ударная волна разрежения.
Описанный механизм предсказывает неизбежное превращение любой звуковой волны в слабую ударную волну. Однако в повседневных условиях для этого требуется слишком большое время, так что звуковая волна успевает затухнуть раньше, чем нелинейности становятся заметны. Для быстрого превращения колебания плотности в ударную волну требуются сильные начальные отклонения от равновесия. Этого можно добиться либо созданием звуковой волны очень большой громкости, либо механически, путём околозвукового движения объектов в среде. Именно поэтому ударные волны возникают при взрывах, при сверхзвуковых движениях тел (течение газа, при котором в рассматриваемой области скорости V его частиц больше местных значений скорости звука A), при мощных электрических разрядах и т.д.
Введение понятия ударной волны приписывают немецкому ученому Бернхарду Риману (1876).
Структура ударной волны
Типичная ширина ударной волны в воздухе тАУ 10тАУ4 мм (порядка нескольких длин свободного пробега молекул). Малая толщина такой волны дает возможность во многих задачах считать ее поверхностью разрыва. Но в некоторых случаях имеет значение структура ударной волны. Такая задача представляет и теоретический интерес. Для слабых ударных волн хорошее согласие эксперимента и теории дает модель, учитывающая вязкость и теплопроводность среды. Для ударных волн достаточно большой интенсивности структура должна учитывать (последовательно) стадии установления термодинамического равновесия поступательных, вращательных, для молекулярных газов еще и колебательных степеней свободы, в определенных условиях тАУ диссоциацию и рекомбинацию молекул, химические реакции, процессы с участием электронов (ионизацию, электронное возбуждение).
ударный волна воздействие защита
1.1 Параметры УВ
Для характеристики ударной волны при взрыве газовоздушных смесей используются параметры по своему физическому содержанию аналогичные параметрам ударной волны при взрыве конденсированных взрывоопасных веществ.
Параметры ударной волны представлены в таблице 1.
Таблица 1
Параметры ударной волны ЯВ мощностью 30 Кт.
| Параметры | Расстояние от центра взрыва (км) |
| 0,5 0,75 1,0 1,5 2,0 2,5 | |
Избыточное давление во фронте, кПа Скорость фронта, м/с Скорость воздуха во фронте, м/с | 135 75 48 26 17 12 494 432 402 374 364 357 310 189 124 68 43 31 |
Условия на фронте ударной волны
При переходе через ударную волну должны выполняться общие законы сохранения массы, импульса и энергии. Соответствующие условия на поверхности волны тАУ непрерывность потока вещества, потока импульса и потока энергии:
,
, ![]()
тАУ плотность,
u тАУ скорость,
p тАУ давление,
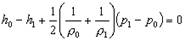
h тАУ энтальпия, теплосодержание) газа. Индексом Вл0В» отмечены параметры газа перед ударной волной, индексом Вл1В» тАУ за ней.
Эти условия носят название условий Ренкина тАУ Гюгонио, поскольку первыми из опубликованных работ, где были сформулированы эти условия, считаются работы британского инженера Вильяма Ренкина (1870) и французского баллистика Пьера Анри Гюгонио (1889).
Условия Ренкина тАУ Гюгонио позволяют получить давление и плотность за фронтом ударной волны в зависимости от начальных данных (интенсивности ударной волны и давления и плотности перед ней):
,
h тАУ энтальпия газа.
1. Эта зависимость носит название адиабаты ((от греч. adiábatos тАФ непроходимый), линия, изображающая на любой термодинамической диаграмме равновесный адиабатный процесс (т. е. процесс, происходящий без теплообмена с окружающей средой) Гюгонио, или ударной адиабаты (рис. 1).

Фиксируя на адиабате точку, соответствующую начальному состоянию перед ударной волной, получаем все возможные состояния за волной заданной интенсивности. Состояниям за скачками сжатия отвечают точки адиабаты, расположенные левее выбранной начальной точки, за скачками разрежения тАУ правее.
Анализ адиабаты Гюгонио показывает, что давление, температура и скорость газа после прохождения скачка сжатия неограниченно возрастают при увеличении интенсивности скачка. В это же время плотность возрастает лишь в конечное число раз, сколь бы ни была велика интенсивность скачка. Количественно увеличение плотности зависит от молекулярных свойств среды, для воздуха максимальный рост 6 раз. При уменьшении амплитуды ударной волны она вырождается в слабый (звуковой) сигнал. [4]
2. Воздействия ударной волны на людей, здания, сооружения
В случае возникновения ударной волны люди, здания, сооружения могут находиться под прямым или косвенным воздействием ударной волны. Прямое воздействие ударной волны на человека носит травматический характер, а при воздействии на здания, сооружения тАФ разрушительный характер.
Прямое воздействие ударной волны на человека приводит к травматическим последствиям, тяжесть которых зависит от величины давления во фронте ударной волны. Все травмы подразделяются по степени тяжести на легкие, средние, тяжелые и крайне тяжелые.
Открыто расположенные люди получают легкие травмы при избыточном давлении во фронте ударной волны 20тАУ40 кПа. В этом случае человек может получить незначительные повреждения: ушибы, вывихи конечностей, временное повреждение слуха, легкие контузии.
Средние травмы человек получает при давлении 40тАУ60 кПа, которые характеризуются серьезными контузиями, повреждениями слуха, кровотечением из носа и ушей, вывихами, переломами конечностей.
Тяжелые травмы наступают при давлении 60тАУ100 кПа и характеризуются тяжелыми контузиями, значительными переломами конечностей, сильным кровотечением из носа и ушей.
Крайне тяжелые травмы человек получает при избыточном давлении более 100 кПа и такие травмы, как правило, оканчиваются летальным исходом.
Прямое воздействие избыточного давления во фронте ударной волны и скоростной напор на здания, сооружения и т. д. приводит к их частичному или полному разрушению. Разрушения зданий, сооружений в зависимости от величины давления могут быть слабыми, средними, сильными и полными.
Степень разрушения производственных комплексов в зависимости от избыточного давления может быть оценена следующем образом:
1. Для промышленного здания с металлическим или железобетонным каркасом: при избыточном давлении 50..60кПа тАУ сильное, 40..50кПа тАУ среднее, 20..40кПа тАУ слабое;
2. Для кирпичного многоэтажного здания с остеклением: при избыточном давлении 20..30кПа тАУ сильное, 10..20кПа тАУ среднее, 8.10кПа тАУ слабое;
3. Для кирпичного одно- двухэтажного здания с остеклением: при избыточном давлении 25..35кПа тАУ сильное, 15..25кПа тАУ среднее, 8..15кПа тАУ слабое;
4. Для приборных стоек: при избыточном давлении 50..70кПа тАУ сильное, 30..50кПа тАУ среднее, 10..30кПа тАУ слабое;
5. Для антенных устройств: при избыточном давлении 40кПа тАУ сильное, 20..40кПа тАУ среднее, 10..20кпа тАУ слабое;
6. Для открытых складов с железобетонным перекрытием: при избыточном давлении 200кПа тАУ сильное.
Косвенное воздействие ударной волны происходит за счет действия на людей, здания, сооружения и другие объекты обломков (зданий, сооружений, падающих деревьев и др.), появляющихся в результате действия прямой ударной волны.
Для уменьшения поражающего действия ударной волны необходимо выполнять требования строительных норм и при строительстве не допускать отклонений от проекта в сторону ухудшения прочностных характеристик для удешевления строительства.
Под воздействием ударной волны создаются очаги поражения, разрушения, размеры которых зависят от мощности и вида взрыва, рельефа местности (рис. 2)
Граница очага поражения на равнинной местности условно ограничивается радиусом с избыточным давлением во фронте ударной волны 10 кПа (0,1 кгс/см). [5]

3. Средства и способы защиты от ударных волн
Личный состав закрытых боевых постов (на примере корабля) защищен от воздействия скоростного напора ударной волны самой конструкцией корабля. При нахождении на открытых боевых постах в целях ослабления воздействия ударной волны личный состав должен лечь на палубу, укрываясь надо тройкой, башней или другой материальной частью.
В береговых условиях для защиты от ударной волны необходимо использовать окопы, рвы, траншеи и естественные укрытия, а при их отсутствии лечь на землю ногами к взрыву. При таком положении площадь поверхности тела, испытывающая прямой удар волны, уменьшается в несколько раз и вследствие этого снижается действие скоростного напора.
На параметры ударной волны заметное влияние оказывают рельеф местности, лесные массивы и растительность. На скатах, обращенных к взрыву с крутизной более 10В°, давление увеличивается: чем круче скат, тем больше давление. На обратных скатах возвышенностей имеет место обратное явление. В лощинах, траншеях и других сооружениях земляного типа, расположенных перпендикулярно к направлению распространения ударной волны, метательное действие значительно меньше, чем на открытой местности. Давление в ударной волне внутри лесного массива выше, а метательное действие меньше, чем на открытой местности. Это объясняется сопротивлением деревьев воздушным массам, движущимся с большой скоростью за фронтом ударной волны.
Укрытие личного состава за холмами и насыпями, в оврагах, выемках и молодых лесах, использование фортификационных сооружений, танков, БМП, БТР и других боевых машин снижает степень его поражения ударной волной. Так, личный состав в открытых траншеях поражается ударной волной на расстояниях в 1,5 раза меньше, чем находящийся открыто на местности. Вооружение, техника и другие материальные средства от воздействия ударной волны могут быть повреждены или полностью разрушены. Поэтому для их защиты необходимо использовать естественные неровности местности (холмы, складки и т. п.) и укрытия.
Поражающее действие ударной волны воздушного ядерного взрыва больше чем наземного той же мощности, так как при воздушном взрыве дополнительно образуется отраженная волна, которая на некотором удалении от взрыва сливается с прямой волной и, соответственно, избыточное давление во фронте ударной волны увеличивается. [6]
Заключение
Таким образом, мы рассмотрели одну из самых острых на сегодня тем тАУ ударная волна. Мы определили понятие ударной волны (область резкого сжатия среды, распространяющуюся в виде сферического слоя от места взрыва со сверхзвуковой скоростью), ее параметры; выяснили, как она воздействует на людей, здания, сооружения (прямое и косвенное воздействие + степени тяжести: легкие, средние, тяжелые и крайне тяжелые для людей и слабые, средние, сильные и полные для зданий и сооружений), и узнали о способах защиты от ударных волн.
Всю эту информацию крайне необходимо знать не только профессионалу в области безопасности, но и любому другому человеку, обучающемуся в высшем учебном заведении. [1]
Лично для меня вопросы об ударной волне очень важны, ведь я родилась и живу в Москве, а здесь, если не ежедневно, то, как минимум раз в месяц, происходят или террористические акты или страшные аварии, последствиями которых могут стать ударные волны. И если я хочу выжить, то мне просто необходимо все это знать.
Список использованной литературы
1. Вишняков Я.Д., Вагин В.И., Овчинников В.В., Стародубец А.Н. Безопасность жизнедеятельности: защита населения и территорий в чрезвычайных ситуациях. М., Академия, 2006.
2. Большая Советская Энциклопедия (БСЭ). М., Большая Российская энциклопедия, 1981.
3. Онлайн энциклопедия ВлКругосветВ».
4. Зельдович Я.Б., Райзер Ю.П. Физика ударных волн и высокотемпературных гидродинамических явлений. М., ВлНаукаВ», 1966.
5. Воздвиженский Ю.М. Безопасность жизнедеятельности на предприятиях связи в чрезвычайных ситуациях. Учебное пособие. Санкт-Петербург, 2008.
6. " onclick="return false">
Вместе с этим смотрят:
РЖнформацiйнiсть як фактор ризику. Операцiя "Паганель"
Анализ и улучшение условий труда в ремонтно-механическом цехе ОАО "Минский моторный завод"