Применение и фармацевтические свойства производных пиримидина
Министерство Здравоохранения Украины
Национальный фармацевтический университет
Кафедра фармацевтической химии
Кафедра медицинской химии
Курсовая работа
Тема: "Применение и фармацевтические свойства производных пиримидина"
Выполнила
студентка
фармацевтического
отделения
39 группы 4 курса
Чепига Л.С.
г. Харьков 2007
План
1. Лекарственные средства, производные и структурные аналоги барбитуровой кислоты
1.1 Лекарственные средства, обладающие снотворным действием
1.2 Лекарственные средства, обладающие противосудорожным действием
1.3 Лекарственные средства, применяемые для внутривенного наркоза
2. Лекарственные средства, производные урацила
2.1 Лекарственные средства, оказывающие анаболическое действие
2.2 Лекарственные средства, обладающие противоопухолевой активностью
3. Лекарственные средства, производные пиримидина и тиазола
3.1 Витамины и витаминоподобные средства
4. Лекарственные средства, производные пиримидина
4.1 Лекарственные средства, обладающие противомикробным действием
4.2 Лекарственные средства, обладающие антигельминтной активностью
4.3 Лекарственные средства, обладающие антибактериальным действием
5. Список литературы
1. Лекарственные средства, производные и структурные аналоги барбитуровой кислоты


В 1904 г. Э. Фишером получен барбитал (веронал). В последующие годы было синтезировано большое количество барбитуратов и установлен ряд закономерностей между их химической структурой и действием на организм.
1.Успокаивающим действием обладают производные барбитуровой кислоты, содержащие алкильные, арильные и другие радикалы в положении 5,5.
2.Сила и продолжительность действия барбитурата возрастает с удлинением цепи до пяти-шести углеродных атомов у алкильных заместителей в положении 5,5. Дальнейшее удлинение углеродной цепи приводит к появлению возбуждающего действия.
3.Разветвление углеродной цепи, наличие в ней непредельных связей, спиртового гидроксила, атома галогена (особенно брома) углубляет фармакологический эффект.
4.Усиление действия барбитуратов, как правило, сопровождается сокращением продолжительности снотворного эффекта.
5.Наличие одного фенильного радикала в положении 5 усиливает действие, не меняя его продолжительности, а введение второго фенильного радикала ослабляет снотворный эффект.
6.Введение алкильного радикала в одну из имидных групп (положение 1,3) сокращает продолжительность действия препаратов.
7.Замещение водорода в положении 1 остатком ароматической (например, бензойной) кислоты придает препарату противоэпилептическое действие. На этой основе был создан препарат бензонал.
8.Производные тиобарбитуровой кислоты (имеющие атом серы в положении 2) оказывают более сильное, но кратковременное действие по сравнению с кислородными аналогами.
1.1 Лекарственные средства, обладающие снотворным действием
лекарственный фармакологический тиазол пиримидин
В зависимости от продолжительности эффекта действия они делятся на препараты короткого действия (циклобарбитал, пентобарбитал натрия - эффект 2-5 ч); средней продолжительности (амобарбитал - эффект 4-7 ч) и продолжительного действия (барбитал, фенобарбитал - эффект 8-12 ч). Они сокращают длительность засыпания, увеличивают общую продолжительность сна и долю синхронизированного сна, значительно снижают общую долю и число эпизодов, выраженность проявлений "десинхронизированного" сна, уменьшают частоту и полноту пробуждений во время сна. Барбитураты средней продолжительности и длительного действия опасно назначать амбулаторно водителям, летчикам, строителям и монтажникам, работающим на высоте, операторам на ответственной работе и т. п. При не многократном применении 1-3 дня подряд барбитураты отличаются надежностью действия. Однако они малопригодны для лечения длительной бессонницы, что связано со значительными нарушениями внутренней структуры сна, вероятностью развития психологической (боязнь не заснуть без таблетки), психической и физической зависимости, перекрестной зависимости с др. наркотиками. Кроме того, они могут вызвать соматические и неврологические осложнения (опасные эпизоды апноэ и падение АД во сне, депрессия, нарушение координации движения, нейротрофическое поражение суставов, аллергические реакции). Такие явления наблюдаются преимущественно при длительном, реже разовом их приеме и чаще у пожилых людей и детей.
Барбитал
Barbitalum
5,5-Диэтилбарбитуровая кислота

![]()
М.м. 184,19
Синонимы: Веронал, Аеthinal, Аеthуbarbital, Athylbarbital, Аlvenol, Ваrbaethyl, Ваrbital, Ваrbitone, Ваrbitural, Diemal, Dormanol, Dоrmonal, Нурnоfеr, Нурnogеnе, Маlоnаl, Маlоnurеа, Sеdеval, Sеdivаl, Sоnal, Uronal, Veronal, Vesperal и др.
Форма выпуска: порошок
Белый кристаллический порошок слабогорького вкуса, без запаха. Мало растворим в холодной воде, растворим в спирте, легко растворим в растворах щелочей.
ФАРМАКОЛОГИЧЕСКИЕ СВОЙСТВА: Барбитал (веронал) был первым барбитуратом, предложенным для применения в медицинской практике в качестве снотворного средства (в 1903 г.). Он оказывает успокаивающее и снотворное действие, вызывает глубокий сон.
В настоящее время барбитал имеет ограниченное применение.
В редких случаях, при неэффективности других средств, барбитал может быть использован в виде порошка.
ОСОБЫЕ УКАЗАНИЯ: при назначении барбитала нужно учитывать медленное его расщепление и выведение из организма; не следует назначать препарат длительное время. После 3 - 4 дней приема рекомендуется делать перерыв на 1 - 2 дня.
ПОБОЧНЫЕ ЭФФЕКТЫ: побочные явления выражаются в общей слабости, разбитости, тошноте, рвоте, головной боли (<веронализм>) - от одного из основных синонимов препарата - веронал).
ПРИМЕНЕНИЕ: в качестве снотворного средства назначают взрослым внутрь 0, 25 - 0, 5 г за 1/2 - 1 ч до сна; для лучшего всасывания рекомендуется запивать 1/2 - 1 стаканом теплого чая. Детям в зависимости от возраста назначают по 0, 025 - 0, 25 г. Как успокаивающее средство назначают взрослым по 0, 05 -О, 1 г 1- 2 раза в день.
Высшие дозы для взрослых внутрь: разовая 0, 5 г, суточная 1 г,
Ранее барбитал часто назначали в сочетании с амидопирином, анальгином, бромидами; успокаивающее, снотворное и аналгетическое действие при этом усиливается.
Хранение: список Б. В хорошо укупоренной таре.
Барбитал-натрий
Barbitalumnatrium
5,5 -Диэтилбарбитурат натрия

![]()
М.м. 206,18
Синонимы: Bаrbitalum Natricum, Barbital Sоdium, Вarbitone soluble, Diemal natrium, Medinalum, Veronal sodium.
Форма выпуска: порошок.
Белый кристаллический порошок без запаха, горького вкуса. Легко растворим в воде (1:5 в холодной и 1:2, 5 в кипящей), мало растворим в спирте, нерастворим в эфире. Водный раствор имеет щелочную реакцию (рН 9,0тАФ10,0). Растворы для инъекций готовят в асептических условиях.
ФАРМАКОЛОГИЧЕСКИЕ СВОЙСТВА: снотворное и успокаивающее средство, действующее благодаря лёгкой растворимости несколько быстрее, чем барбитал. Быстрее, чем последний, выводится из организма; менее токсичен.
Может применяться при бессоннице, нервном возбуждении, невралгиях, иногда как противорвотное и противосудорожное средство.
ПРИМЕНЕНИЕ: назначают внутрь взрослым по 0,3тАФ0,5тАФ0,75 г; детям в зависимости от возраста по 0,025тАФ0,25г на приём. Как снотворное принимают за 0,5тАФ1 ч до сна; запивают тёплым чаем.
Высшие дозы для взрослых внутрь, под кожу и внутримышечно: разовая 0,5 г, суточная 1 г.
Под кожу и в мышцы вводят взрослым до 5 мл 10% раствора (0,5 г препарата) с добавлением новокаина (0,005 г). Назначают также в виде клизм (в 5тАФ15 мл воды).
Хранение: список Б. В хорошо укупоренной таре.
Этаминал-натрий
Aethaminalum-natrium
5-Этил-5-(2тАЩамил) - барбитурат натрия

![]()
М.в. 248,26
Синонимы: Нембутал, Еmbutal, Isоbarb, Меbubarbital, Narсоrеn, Nеmbutal sodium, Nеmbutal nаtrium, Реntal, Pentobarbitalum Natricum, Pentobarbital sоdium, Реntobarbital solubltе, Pentone, Prоdormol, Somnopentyl, Sopental и др
Форма выпуска: порошок.
Белый мелкокристаллический порошок без запаха, горького вкуса. Гигроскопичен. Растворим в воде. Водные растворы имеют щелочную реакцию.
ФАРМАКОЛОГИЧЕСКИЕ СВОЙСТВА: препарат оказывает снотворное, а в более высоких дозах наркотическое действие. Сон наступает относительно быстро (через 30 - 45 мин), продолжается 5 - 6 ч.
ПРИМЕНЕНИЕ: назначают внутрь в качестве снотворного средства для взрослых обычно в дозе 0, 1 - 0, 2 г; детям назначают 0, 01 - 0, 1 г в зависимости от возраста. Препарат можно применять ректально (в клизмах по 0, 2 г - 0, 3 г). Внутривенно вводят медленно в виде 5 % асептически приготовленного свежего раствора (5 - 10 мл).
Высшие дозы для взрослых внутрь; разовая 0, 3 г, суточная 0, 6 г.
Хранение: список Б. В хорошо укупоренной таре.
1.2 Лекарственные средства, обладающие противосудорожным действием
Фенобарбитал
Phenobarbitalum
5-Этил-5-фенилбарбитуровая кислота

![]()
М.м. 232,24
Синонимы: Люминал, Adonal, Aephenal, Barbenyl, Barbinal, Barbiphen, Dormiral, Epanal, Episidal, Fenemal, Fenobarbital, Gardenal, Hypnotal, Lepinal, Luminal, Mephabarbital, Neurobarb, Nirvonal, Omnibarb, Phenobarbitone, Sedonal, Sevenal, Somonal, Zadonal и др.
Белый кристаллический порошок слабогорького вкуса, без запаха. Очень мало растворим в холодной воде, трудно - в кипящей (1:40), легко растворим в спирте и растворах щелочей.
ФАРМАКОЛОГИЧЕСКОЕ ДЕЙСТВИЕ: взимодействуя с мембранами и изменяя их физико-химические свойства, снижает возбудимость нейронов эпилептогенного очага и распространение нервных импульсов, обладает противосудорожной активностью Проявляет антагонизм в отношении ряда возбуждающих медиаторов (глутамата и др) Подавляет сенсорные зоны коры головного мозга, уменьшает моторную активность, угнетает церебральные функции и приводит к развитию головокружений, седации, сонливости. Индуцирует развитие сна, по структуре отличающегося от физиологического (редуцирует фазу быстрого сна), эффект снижается через 2 нед. Резкое прекращение приема может привести к развитию синдрома "отмены" (головные боли, ночные кошмары, сонливость и/или бессонница). Обладает прямым угнетающим действием на дыхательный центр (снижает чувствительность к углекислому газу), понижает тонус гладкой мускулатуры ЖКТ. В гипнотических дозах несколько уменьшает интенсивность обмена, что проявляется в незначительной гипотермии. Медленно и полно всасывается в тонкой кишке, биодоступность тАФ 80%. В плазме связывается с белками у взрослых тАФ на 50%, у новорожденных детей тАФ на 30-40%. Хорошо проникает через плаценту. Биотрансформация происходит в печени, около 25-50% выводится в неизмененном виде почками.
ПОКАЗАНИЯ: эпилепсия, хорея, спастический паралич, спазм периферических артерий, эклампсия, возбуждение, бессонница.
ПРОТИВОПОКАЗАНИЯ: печеночно-почечная недостаточность, миастения, алкоголизм, наркотическая зависимость, I триместр беременности (тератогенность), лактация (следует отказаться от грудного вскармливания), беременность (у новорожденных, матери которых принимают фенобарбитал в последний триместр беременности, может развиться синдром "отмены").
ПОБОЧНЫЕ ЭФФЕКТЫ: ощущение разбитости, астения, атаксия, нистагм, гипотония, кожная сыпь. Прием 1 г может вызвать симптомы отравления (нистагм, атаксия, головокружение, заторможенность, возбуждение, головная боль, угнетение дыхания, гипотермия, гипотензия), отсутствие или угнетение рефлексов, сужение (сменяющееся паралитическим расширением) зрачков, олигоурия, тахикардия, цианоз, слабость, геморрагии в местах давления, прекращение электрической активности мозга, отек легких, кома, позже тАФ пневмония, аритмии, сердечная недостаточность), 2-10 г тАФ летальный исход.
ВЗАИМОДЕЙСТВИЯ: Ацетазоламид ослабляет эффект (тормозит реабсорбцию в почках), седа-тивные средства тАФ усиливают (и могут приводить к угнетению дыхания). Снижает уровень в крови (за счет активации микросомального окисления в печени) непрямых антикоагулянтов, кортикостероидов, гризеофульвина, доксицик-пина, эстрогенов Фенитоин, производные вальпроевой кислоты повышают содержание фенобарбитала в сыворотке крови.
ПРИМЕНЕНИЕ: детям при эпилепсии в суточной дозе 3-5 мг/кг, в качестве снотворного средства 0,005-0,075 г на прием (1-2 мг/кг)
внутрь. В качестве снотворного взрослым назначают 0,1-0,2 г за 0,5-1 ч до сна. При эпилепсии взрослым тАФ 50 мг 2 раза в день, постепенно повышая дозу до получения клинического эффекта (но не более 0,6 г/сутки), детям тАФ в соответствии с возрастом.
Существуют, однако, и готовые комбинированные препараты (глюферал, паглюферал, фали-лепсин и др.). Отечественный психиатр М.Я. Серейский предложил экстемпоральную комбинацию (смесь Серейского), которая до сих пор применяется для лечения больных эпилепсией:
Rp.: Phenobarbital: 0,05 (0,07-0,1-0,15)
Bromisovali 0.2 (0,3)
Coffeini natrio-benzoatis 0,015 (0,02)
Papaverini hydrochlondi 0,03 (0,04)
Calcii gluconatis 0,5 (1 .0) М. f. pulv. D. t. d. №24
S. По 1 порошку 2- 3 раза в день (Первые цифры - это дозы, назначаемые при более легком течении болезни, цифры в скобках - дозы, назначаемые в более тяжелых случаях.).
Высшие дозы для взрослых внутрь: разовая 0,2 г: суточная 0,5 г.
ФОРМЫ ВЫПУСКА: порошок: таблетки по 0,005 г для детей и по 0,05 и 0.1 г для взрослых.
ХРАНЕНИЕ: Список Б.
Таблетки "Глюферал" (Tabulettae "Gluferalum") содержат фенобарбитала 0.025 г, бромизовала 0,07 г. кофеин-бензоата натрия 0,005 г. кальция глюконата 0,2 г. Таблетки белого цвета. По составу и действию сходны со смесью Серейского, но не содержат папаверина. Применяются в основном при эпилепсии с большими тонико-клоническими припадками; в комбинации с триметином их можно назначать при малых формах эпилепсии. Назначают внутрь после еды, взрослым от 2 до 4 таблеток на прием. Максимальная суточная доза - 10 таблеток. Детям в зависимости от возраста назначают от 0,5 до 1 таблетки на прием: максимальная суточная доза для детей до 10 лет - 5 таблеток. При необходимости применяют одновременно с другими противоэпилептическими препаратами.
ФОРМА ВЫПУСКА: по 100 таблеток в банках оранжевого стекла. ХРАНЕНИЕ: Список Б. В сухом, защищенном от света месте. Таблетки "Паглюферал" - 1, 2, 3 (Tabulettae "Раgluferalum" - l, 2, 3) содержат соответственно фенобарбитала 0,025; 0,035 или 0,05 г; бромизовала 0,1; 0,1 или 0,15 г; кофеин-бензоата натрия 0,0075; 0,0075 или 0,01 г; кальция глюконата по 0,25 г и папаверина гидрохлорида 0,015; 0,015 или 0,02 г. Применяются так же, как смесь Серейского и таблетки "Глюферал", для лечения эпилепсии. Разные соотношения ингредиентов в разных вариантах таблеток "Паглюферал" дают возможность индивидуально подбирать дозы. ФОРМА ВЫПУСКА: по 40 таблеток в банках оранжевого стекла. ХРАНЕНИЕ: Список Б. В сухом, защищенном от света месте.
Под названием "Фали-лепсин" (Fali-Lepsin) за рубежом (в Германии) выпускается противоэпилептический препарат, являющийся солью фенобарбитала и псевдонорэфедрина. Включение в молекулу псевдонорэфедрина, оказывающего умеренное стимулирующее влияние на ЦНС, несколько уменьшает угнетающее действие (сонливость, нарушение работоспособности) фенобарбитала. Назначают при эпилепсии внутрь (взрослым и детям старше 12 лет), начиная с 0,05 г (50 мг) в день, постепенно повышая дозу до 0,3-0,45 г в день (в 3 приема).
ФОРМА ВЫПУСКА: Таблетки по 0.1 г в упаковке по 100 штук. ХРАНЕНИЕ: Список Б. В защищенном от света месте.
Барбексаклон (Barbexaclone). Синонимы: Малиазин, Mahasin, Phenoirntur. Является сочетанием фенобарбитала и бензедрекса (циклогексильного аналога эфедрина). Применяется в качестве противосудорожного средства. Сходен по действию с фали-лепсином. Бензедрекс уменьшает депримирующее влияние на ЦНС.
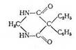
Бензонал
Benzonalum
1-Бензоил-5-этил-5-фенил6арбитуровая кислота

![]()
М.м. 336,35
Бензонал (Benzonalum). Бензонала таблетки 0,05 г.
(Tabulettae Benzonali 0,05 g). Бензонала таблетки по 0,1 г (Tabulettae Benzonali 0,1 g).
ПРИМЕНЕНИЕ: различные формы эпилепсии, гипербилирубинемия, гемолитическая болезнь новорожденных, бессонница.
ПРОТИВОПОКАЗАНИЯ: гиперчувствительность, порфирия, анемия, бронхиальная астма, дыхательная недостаточность, нарушение функций печени и почек, сахарный диабет, гипертиреоз, надпочечниковая недостаточность, сахарный диабет, гиперкинезы, депрессивные состояния (с суицидальными попытками).
ОСОБЫЕ УКАЗАНИЯ: гипотония, беременность, грудное вскармливание (на время лечения прекращают).
ПОБОЧНЫЕ ЭФФЕКТЫ: привыкание, лекарственная зависимость, синдром отмены, нарушение функций печени и почек, угнетение дыхания, бронхоспазм, гипотония, тромбоцитопения, анемия, тромбофлебит, головная боль, головокружение, слабость, подавленность, светобоязнь, гипорефлексия, аллергические реакции.
ВЗАИМОДЕЙСТВИЯ: усиливает эффект анальгетиков, анестетиков, гипнотиков, средств для наркоза, нейролептиков, транквилизаторов, трициклических антидепрессантов, алкоголя, снижает - парацетамола, антикоагулянтов, тетрациклинов, гризеофульвина, глюкокортикоидов, минералокортикоидов, сердечных гликозидов, хинидина, витамина D, ксантинов.
ПРИМЕНЕНИЕ: внутрь. Для взрослых - по 0,1-0,2 г 3 раза в сутки после еды. Высшая разовая доза - 0,3 г, высшая суточная доза - 1 г. Для детей: 3-6 лет - 25-50 мг на прием (100-150 мг/сут), 7-10 лет - 50-100 мг на прием (150-300 мг/сут), 11-14 лет - 100 мг на прием (300-400 мг/сут). Высшая разовая доза - 150 мг, высшая суточная доза - 450 мг.
Гексамидин
Hexamidinum
(5-Этил-5-фенилгексагидропиримидиндион-4,6)

![]()
М.м. 218,25
Фармакологические группы: противоэпилептические средства.
Действующее вещество (МНН) Примидон (Primidone)
ПРИМЕНЕНИЕ: эпилепсия различного генеза, большие судорожные припадки. Очаговые, миоклонические, акинетические приступы (менее эффективен).
ПРОТИВОПОКАЗАНИЯ: гиперчувствительность (в т.ч. к барбитуратам), печеночно-почечная недостаточность, анемия, лейкопения, беременность, кормление грудью (необходимо отказаться от грудного вскармливания).
Ограничения к применению: детский и пожилой возраст (некоторые дети и пожилые пациенты реагируют на примидон парадоксальным возбуждением и двигательным беспокойством).
ПОБОЧНЫЕ ЭФФЕКТЫ: сонливость, головокружение, головная боль, апатия, беспокойство, тошнота, рвота, анемия, лейкопения, лимфоцитоз, аллергические реакции. РедкотАФ нистагм, атаксия, "волчаночный" синдром, артралгии, психотические реакции; крайне редкотАФ мегалобластная анемия. При длительном применениитАФ лекарственная зависимость.
ВЗАИМОДЕЙСТВИЯ: усиливает (взаимно) эффект карбамазепина, дифенина и др. противосудорожных средств.
ПРИМЕНЕНИЕ: внутрь, после еды. Лечение начинают с дозы 125мг однократно, затем каждые 3 дня суточную дозу увеличивают на 250мгтАФ для взрослых и на 125мгтАФ для детей (до 9 лет) до достижения необходимого эффекта. Максимальная суточная доза для взрослыхтАФ 1,5г, для детейтАФ 1г (в 2 приема).
ОСОБЫЕ УКАЗАНИЯ: может использоваться в комплексной противосудорожной терапии. Отмену и замену проводят постепенно. Снижает реакцию при вождении автомобиля, работе с механизмами. В случае развития мегалобластной анемии следует прекратить прием и начать лечение фолиевой кислотой и/или витамином B12.
1.3 Лекарственные средства, применяемые для внутривенного наркоза
Гексенал
Hexenalum
1,5-Диметил-5-(циклогексен-5-ил) - барбитурат натрия

![]()
М.м. 258,25
Синонимы: Cyclobarbitalum solubile, Endodorm, Enhexymal natrium, Enimalum nаtrium, Eudorm, Еvipal sodium, Evipal soluble, Evipan sodium, Hexanastab, Hехоbarital sodumт, Нехоbаrbitalum nаtricum, Hexobaritone sоluble, Меthylhexabarbital soluble Меthуlhехоbital, Nаrconat, Narcosan sоluble Nосtivаnе, Nоvораn и др. Белая пенообразная масса. На воздухе под влиянием углекислоты разлагается. Гигроскопичен. Очень легко растворим в воде и спирте, практически нерастворим в эфире. Водные растворы гексенала неустойчивы, легко гидролизуются, разлагаются при стерилизации. Растворы готовят в асептических условиях на изотоническом растворе натрия хлорида или на стерильной воде для инъекций непосредственно перед употреблением.
ПРИМЕНЕНИЕ: неингаляционный наркоз: вводный (в комбинации с динитрогена оксидом, галотаном, диэтиловым эфиром и др. общими анестетиками), при кратковременных (длительностью 15-20 мин) внеполостных хирургических и диагностических процедурах: эндоскопия, бронхоскопия, болезненные перевязки и др. (мононаркоз или в комбинации с местными анестетиками); судорожный синдром (столбняк, эклампсия, анафилаксия, передозировка антихолинэстеразных средств и др.), острое психическое возбуждение, в т.ч. при алкогольном психозе.
ПРОТИВОПОКАЗАНИЯ: гиперчувствительность, нарушение функции почек и печени, сердечная недостаточность; нарушения коронарной и общей гемодинамики, в т.ч. коллапс; заболевания носоглотки и дыхательной системы, включая бронхиальную астму; непроходимость кишечника, шоковые, гипоксические, септические и лихорадочные состояния, болезнь Адиссона, сахарный диабет, выраженное истощение; ранний детский возраст.
Ограничения к применению: гипотензия, гипертензия, анемия, тяжелые нарушения обмена веществ, выраженное ожирение или истощение, пожилой и старческий возраст, беременность.
Применение при беременности и кормлении грудью: При беременности возможно, если ожидаемая польза для матери превосходит потенциальный риск для плода. Не рекомендуется для обезболивания при кесаревом сечении (может вызвать асфиксию плода).
ПОБОЧНЫЕ ЭФФЕКТЫ: со стороны респираторной системы: угнетение дыхания (особенно при быстром введении), понижение вентиляции легких, гиперкапния, отек легких, бронхоспазм. Со стороны сердечно-сосудистой системы (кроветворение, гемостаз): брадикардия, компенсаторная тахикардия, артериальная гипотензия, коллапс, угнетение сократимости миокарда, остановка сердца (при наличии изменений в миокарде и коронарных сосудах). Со стороны нервной системы и органов чувств: головная боль, двигательное и психическое возбуждение, при пробуждении тремор, судороги; ретроградная амнезия, сонливость. Прочие: вагусные реакции (гиперсаливация, ларингоспазм и др.), аллергические реакции (крапивница и др.), тошнота и рвота (при пробуждении), нарушения детоксицирующей функции печени, пигментного, белкового и углеводного обмена, уменьшение диуреза; местные: при в/в введении тромбофлебит; паравенозном - воспалительный инфильтрат, некроз; случайном в/а - сильная боль в пальцах конечности, гангрена.
ВЗАИМОДЕЙСТВИЯ: потенцируют наркозное действие нейролептики, транквилизаторы, анальгетики, снотворные средства, трициклические антидепрессанты, алкоголь и ингибиторы МАО (тормозят микросомальные ферменты). Тиреоидные гормоны повышают активность и токсичность. Аналептики, витамины РР и B1, АТФ уменьшают длительность посленаркозного сна. Противосудорожный эффект ослабляют резерпин и препараты его содержащие. Усиливает эффект гипотензивных средств, местных анестетиков, средств, угнетающих ЦНС. Изменяет (усиливает или ослабляет) действие непрямых антикоагулянтов, ускоряет экскрецию витамина С; ослабляет активность глюкокортикоидов; несовместим со стимуляторами ЦНС. Фармацевтически несовместим (нельзя смешивать в одном шприце) с суксаметонием.
Передозировка: симптомы: угнетение дыхания, вплоть до апноэ, и проявления кардиодепрессии, вплоть до остановки сердца; гипотензия, коллапс, кома. Лечение: введение специфического антагониста - бемегрида (в/в медленно, взрослым - 5-10 мл 0,5% раствора, при недостаточности или отсутствии эффекта - повторно). Следует иметь ввиду, что эффект бемегрида проявляется только если введенная доза гексобарбитала не превышает 2 г, а длительность коматозного состояния не более 12 ч; симптоматическая терапия: при остановке дыхания - ИВЛ, кислород 100%, при выраженной гипотензии - введение вазопрессоров, кальция хлорида (взрослым - до 10 мл 10% раствора в/в).
ПРИМЕНЕНИЕ: в/в, в/м, ректально. Для наркоза, взрослым - в/в струйно медленно, 1-2% раствор (в некоторых случаях 2,5-5% раствор); вначале вводят тест-дозу: 1-2 мл со скоростью 1 мл/мин (не более); при отсутствии побочных эффектов через 30-40 с - с той же скоростью инъецируют остальную часть дозы, необходимую для достижения желаемого эффекта; общая доза составляет 500-700 мг, обычно 8-10 мг/кг, в зависимости от вида процедуры, состояния, возраста и массы тела больного. У ослабленных больных и детей, при сердечно-сосудистых заболеваниях используют 1% раствор.
Для получения длительного (более 20-30 мин) наркоза вводят в/в капельно 2% раствор на изотоническом растворе натрия хлорида со скоростью 5-20 или 0,5-1% раствор. При проведении бронхоскопии 1-2% раствор (в дозе 400-600 мг) в/в струйно в течение 2-3 мин. Купирование психомоторного возбуждения - в/в струйно 2-10 мл 5-10% раствора; при маниакально-депрессивном психозе возможно в/м (0,5-1 мл 10% раствора) или ректальное введение (в клизмах по 0,5 г в 20-30 мл воды). При остром судорожном синдроме: взрослым - 0,5-1 мл 10% раствора в/м или 0,5 г в 20-30 мл воды ректально; детям - ректально (10% раствор) или в/м (5% раствор) из расчета 0,5 мл/кг: либо в/в струйно медленно в виде 1% раствора в дозе, не превышающей 15 мг/кг. Высшая разовая и высшая суточная доза для взрослых при в/в введении - 1 г.
Меры предосторожности: манипуляции в полости рта и глотки производят только после достижения необходимого уровня наркоза (возможна резкая кашлевая реакция, ларингоспазм, бронхоспазм, брадикардия). Для предупреждения побочных эффектов, связанных с возбуждением блуждающего нерва, во время премедикации больному вводят атропин или метоциния йодид. Следует учитывать, что степень угнетения дыхания и кровообращения зависит от дозы и скорости в/в введения. С осторожностью используют в качестве противосудорожного средства при отравлении стрихнином, т.к. инъекция гексобарбитала может провоцировать судорожный приступ.
ОСОБЫЕ УКАЗАНИЯ: растворы готовят на изотоническом растворе натрия хлорида или стерильной (бидистиллированной) воде для инъекций, в асептических условиях, непосредственно перед введением; хранят не более 1 ч; используют лишь абсолютно прозрачными.
Тиопентал-натрий
Thiopentaium-natrium

![]()
М.м. 264,32 М.м. 105,99
ПОКАЗАНИЯ: вводная анестезия и поддержание анестезии, эпилептические припадки, повышение ВЧД, наркоанализ.
ПРИМЕНЕНИЕ: Дозы.В/в. Вводная анестезия
Дети <1года: 5тАФ8мг/кг.
Дети 1тАФ12лет: 5тАФ6мг/кг.
Дети >12лет и взрослые: 3тАФ5мг/кг.
Поддержание анестезии
Дети: 1мг/кг по мере необходимости.
Взрослые: 25тАФ100мг по мере необходимости.
Повышение ВЧД, дети и взрослые: 1,5тАФ5мг/кг; при необходимости повторяют в той же дозе.
Эпилепсия
Дети: 2тАФ3мг/кг, при необходимости повторяют в той же дозе.
Взрослые: 75тАФ250мг, при необходимости повторяют в той же дозе.
Ректально (>3ч до введения препарата ничего не дают внутрь)
Дети <3мес: 15мг/кг, при неэффективности через 15тАФ20мин однократно вводят 7,5мг/кг.
Дети >3мес и взрослые: 25мг/кг, при неэффективности через 15тАФ20мин однократно вводят 15мг/кг; максимальная общая доза у детей >34кгтАФ 1г, у взрослых >90кгтАФ 3г.
Возраст недоношенных детей определяют от даты предполагаемых нормальных родов.
Расчетную дозу округляют в сторону меньшего значения с интервалом 50мг. Ослабленным больным, а также при сопутствующей терапии хлоралгидратом, петидином, хлорпромазином и прометазином дозу тиопентала снижают.
Торговые названия, формы выпуска, производители
Тиопентал: порошок для приготовления инъекционного раствора 500мг и 1г во флаконах. "Биохеми".
Тиопентал: порошок для приготовления инъекционного раствора 500мг и 1г во флаконах. "Плива".
2. Лекарственные средства, производные урацила
Общая формула препаратов, производных урацила:

2.1 Лекарственные вещества, оказывающие анаболическое действие
Калия оротат
(Kalii orotas)
Калиевая соль урацил-6-карбоновой (оротатной) кислоты.

Синонимы: Dioron, Kalium oroticum, Orocid, Oropur, Potassium Orotate.
Белый кристаллический порошок. Очень мало растворим в воде.
Форма выпуска: таблетки по 0,1 г (для детей) и 0,5 г (для взрослых).
Для назначения детям выпускается также в виде гранул (для изготовления сиропа).
ФАРМАКОЛОГИЧЕСКИЕ СВОЙСТВА: Оротовая кислота является одним из предшественников пиримидиновых нуклеотидов, входящих в состав нуклеиновых кислот, которые участвуют в синтезе белковых молекул. Оротовая кислота и ее соли рассматриваются, поэтому как вещества анаболического действия и применяются при нарушениях белкового обмена, как общие стимуляторы обменных процессов. Обычно применяют калиевую соль оротовой кислоты (калия оротат).
ПОКАЗАНИЯ: назначают калия оротат в сочетании с другими средствами (витаминами и др.) при заболеваниях печени (за исключением циррозов печени с асцитом), вызванных острыми и хроническими интоксикациями, при дистрофии миокарда, алиментарной и алиментарно-инфекционной дистрофии у детей и при других показаниях, когда целесообразно стимулирование анаболических процессов. Имеются данные о применении калия оротата для лечения прогрессирующей мышечной дистрофии. Иногда препарат используют при аритмиях (особенно экстрасистолии и мерцательной аритмии); действие препарата объясняют в этих случаях наличием в препарате иона калия (см. Калия хлорид), однако содержание калия в препарате невелико (20 %).Калия оротат применяют также для улучшения анаболических процессов при напряженных физических нагрузках.
ПРИМЕНЕНИЕ: внутрь (за 1 ч до еды или через 4 ч после нее). Доза для взрослых от 0,5 до 1,5 г в день (по 0,25-0,3 г 2-3 раза в день). Курс лечения 20-40 дней, а в некоторых случаях и дольше. При необходимости повторяют курс лечения после месячного перерыва. В отдельных случаях в зависимости от эффективности и переносимости суточную дозу для взрослых увеличивают до 3 г. Детям (при алиментарной и алиментарно-инфекционной гипотрофии, анемиях, в периоде реконвалесценции и др.) назначают из расчета 10-20 мг на 1 кг массы тела в сутки (в 2-3 приема). Курс лечения 3-5 нед. Препарат обычно хорошо переносится. В отдельных случаях наблюдаются аллергические дерматозы, быстро проходящие после отмены препарата; при необходимости назначают противогистаминные препараты. Возможны диспепсические явления.
Пентоксил
Реntoxylum
4-Метил-5-оксиметилурацил

Белый кристаллический порошок со слабым запахом формалина. Очень мало растворим в воде, практически нерастворим в спирте, растворим в растворах едких щелочей.
Формы выпуска: порошок; таблетки, покрытые оболочкой, по 0,025 и 0,2 г в упаковке по 10 штук.
ФАРМАКОЛОГИЧЕСКИЕ СВОЙСТВА: стимулирует метаболизм фагоцитов; обладает антикатаболической активностью, ускоряет процессы клеточной регенерации, оказывает противовоспалительное действие, стимулирует лейкопоэз и эритропоэз.
Стимулирует клеточные и гуморальные факторы защиты
Применяют как стимулятор лейкопоэза при тех же показаниях, что метилурацил. Имеются данные о благоприятном действии пентоксила у больных с трофическими язвами, ожогами, свищами, переломами костей, а также о его терапевтической эффективности при язвенной болезни желудка и хроническом панкреатите. Применяют также у больных с инфекционно-воспалительными заболеваниями органов дыхания, протекающими с нейтропенией и угнетением фагоцитоза.
ПРИМЕНЕНИЕ: назначают внутрь. Продолжительность лечения 15 - 20 дней и больше в зависимости от эффективности и переносимости препарата (при хроническом панкреатите до 1 - 1,5 мес). Дозы: для взрослых: 0,2 - 0,3 г (до 0,4 г) на прием; для детей до 1 года 0,015 г, от 1 года до 3 лет - 0,025 г, 3 - 8 лет - 0,05 г, 8 - 12 лет - 0,075 г, старше 12 лет - 0,1 - 0,15 г на прием. Препарат принимают 3 - 4 раза в день после еды. В связи с раздражающим действием, пентоксил может при приеме внутрь вызывать диспепсические явления. Местно в связи с раздражающими свойствами пентоксил не применяют.
ПРОТИВОПОКАЗАНИЯ: лимфогрануломатоз, лейкоз, злокачественные заболевания костного мозга.
ПОБОЧНЫЕ ЭФФЕКТЫ: головная боль, головокружение, диспептические явления, аллергические реакции.
Хранение: список Б. В хорошо укупоренной таре.
2.2Лекарственные средства, обладающие противоопухолевой активностью
Флуороурацил
Fluorouracil

5-фторурацил
Международное название: Флуороурацил (Fluorouracil).
ФАРМАКОЛОГИЧЕСКИЕ СВОЙСТВА: Флуороурацил тАУ антиметаболит урацила. Механизм действия обусловлен превращением препарата в тканях в активный метаболит фторуридинмонофосфат, который является конкурентным ингибитором фермента тимидилатсинтетазы, принимающего участие в синтезе нуклеиновых кислот. Флуороурацил нарушает синтез ДНК и вызывает образование структурно несовершенной РНК, угнетая деление опухолевых клеток. Активные метаболиты локализуются внутри клетки. Фармакокинетика. После внутривенного введения препарат быстро биотрансформируется и распределяется в опухолевых тканях, слизистой оболочке кишечника, костном мозге, печени и других тканях. Легко проникает через гематоэнцефалический барьер, попадая в спинномозговую жидкость и ткани головного мозга. Метаболизируется в основном в печени с образованием неактивных метаболитов. Период полувыведения флуороурацила зависит от вводимой дозы и составляет 8-22 минуты. Около 20% препарата выводится почками в неизмененном виде в течение 6 часов (90% из этого количества выводится в течение 1-го часа) и 60-80% тАУ через дыхательные пути в форме СО2, незначительное количество выделяется с желчью.
Характеристики5-Фторурацил-Эбеве 500 мг/10мл фл. N.1:
1 мл раствора содержит: Активное вещество: флуороурацил 50 мг Вспомогательные вещества: гидроксид натрия, вода для инъекций
ПОКАЗАНИЯ: рак толстой и прямой кишки, рак молочной железы, рак пищевода, рак желудка, рак поджелудочной железы, первичный рак печени, рак яичников, рак шейки матки, рак мочевого пузыря, злокачественные опухоли головы и шеи, рак предстательной железы, рак надпочечников, рак полового члена, карциноид
ПРИМЕНЕНИЕ: Флуороурацил входит в состав многих схем химиотерапевтического лечения, в связи с чем при выборе пути введения, режима и доз в каждом индивидуальном случае следует руководствоваться данными специальной литературы. Препарат вводят внутривенно струйно или путем медленной инфузии, внутриартериально, внутриполостно Рекомендуются следующие дозы и режимы: 500 мг/м2 или 12-13,5 мг/кг ежедневно в течение 3-5 дней, интервал между курсами тАУ 4 недели; 600 мг/м2 или 15 мг/кг (высшая разовая доза 1 г) 1 раз в неделю, 6-10 доз; 600 мг/м2 в 1 и 8 дни внутривенно в комбинациях с другими цитостатиками; 1 г/м2/сутки внутривенно капельно в виде постоянной инфузии в течение 96-120 часов; При применении в сочетании с кальция фолинатом дозу флуороурацила обычно уменьшают на 25-30%
ПОБОЧНЫЕ ЭФФЕКТЫ: со стороны органов кроветворения: лейкопения, нейтропения, редко тАУ тромбоцитопения, анемия. Наиболее значительное падение количества лейкоцитов обычно наблюдается с 9 по 14 день (вплоть до 25 дня), тромбоцитов тАУ с 7 по 17 день лечения. Со стороны пищеварительной системы: снижение аппетита, тошнота, рвота, воспаление и/или изъязвление слизистых оболочек ЖКТ (в т.ч. стоматит), диарея, кровотечение из желудочно-кишечного тракта, изжога и изменение вкуса, нарушение функции печени. Со стороны сердечно-сосудистой системы: очень редко тАУ боли в области сердца, аритмии, ишемия, инфаркт миокарда, стенокардия, сердечная недостаточность. Со стороны нервной системы: редко тАУ мозжечковая атаксия, нарушение чувствительности, дезориентация, спутанность сознания, эйфория, нистагм, ретробульбарный неврит, головная б
Вместе с этим смотрят:
РЖсторiя виникнення та розвитку масажу
Азотные и кислородные ванны, нафталановая нефть
Акушерська операцiя - накладання акушерських щипцiв
Алгоритм оказания неотложной помощи при кардиологических заболеваниях и отравлениях