Фармацевтическая химия стероидных гормонов
Глава 1. Стероидные гормоны
1.1 Понятие и синтез
1.2 Эфиры стероидных гормонов
1.3 Производные стероидных гормонов
Глава 2. Андрогенные гормоны
2.1 История
2.2 Тестостерон-пропионат
2.3 Тестостерон-энантат
2.4 Метилтестостерон
2.5 Метиландростендиол
2.6 Определение подлинности препаратов андрогенов
Глава 3. Эстрогенные гормоны
3.1 История
3.2 Эстрадиол-монобензоат
3.3 Эстрадиол-дипропионат
3.4 Определение подлинности препаратов эстрогенов
Глава 4. Гестагенные гормоны
4.1 История
4.2 Прогестерон
4.3. Прегнин
4.4 Определение подлинности препаратов гестагенов
Глава 5. Кортикостероидные гормоны
5.1 Характеристика
5.2 Дезоксикортикостерон-ацетат
5.3 Кортизон-ацетат
5.4 Производные и аналоги кортизона
5.5 Гидрокортизон
5.6 Альдостерон
5.7 Преднизон
5.8 Преднизолон
5.9 Дексаметазон
5.10 Определение подлинности препаратов кортикостероидов
Выводы
Список использованной литературы
Введение
Стероидные гормоны тАФ группа физиологически активных веществ (половые гормоны, кортикостероиды и др.), регулирующих процессы жизнедеятельности у животных и человека.
Стероидные гормоны - один из главных классов гормональных соединений всех видов позвоночных и многих видов беспозвоночных животных. Они являются регуляторами фундаментальных процессов жизнедеятельности многоклеточного организма - координированного роста, дифференцировки, размножения, адаптации, поведения.
У позвоночных стероидные гормоны синтезируются из холестерина в коре надпочечников, клетках Лейдига семенников, в фолликулах и желтом теле яичников, а также в плаценте. Характерная особенность синтеза стероидных гормонов тАФ ряд последовательно протекающих процессов гидроксилирования молекул стероидов, происходящих в митохондриях и микросомах.
Стероидные гормоны содержатся в составе липидных капель в цитоплазме в свободном виде. В связи с высокой липофильностью стероидные гормоны относительно легко диффундируют через плазматические мембраны в кровь, а затем проникают в клетки-мишени.
Действие стероидных гормонов на клетки-мишени осуществляется, главным образом, на уровне регуляции транскрипции генов. Оно опосредуется образованием комплекса гормона со специфическим регуляторным белком - рецептором, узнающим определенные участки ДНК в генах, регулируемых данным гормоном. Таким образом, рецепторы всех стероидных гормонов - лиганд-зависимые факторы транскрипции. Для них характерно значительное сходство аминокислотных последовательностей, идентичная доменная структура и сходный механизм действия.
Данные вещества являются очень важной частью в организме, так как выполняют множество функций. Одной из наиболее важной функцией, является регуляция периода беременности у женщин, а так же регуляция углеводного и водно-солевого обмена в организме. У мужчин, благодаря стероидам происходят такие процессы как; эякуляции и сперматогенез. Данные вещества участвуют во многих процессах в организме. С каждым годом, в медицине, обнаруживаются функции, за которые отвечают стероидные гормоны. Многогранность в функциональности этих гормонов объясняется тем, что это результат взаимодействия данных гормонов со многими различными рецепторами в организме.
О том, что при помощи стероидных гормонов можно лечить различного рода недуги поведал всему миру всем известный ученый Джеймс Райт. Именно он стал первым человеком, который начал изучать воздействие определенного количества этих препаратов на организм при наличии у человека того или иного заболевания.
Вследствие своей многофункциональности, использование их в медицине в качестве средств лечения каких либо заболеваний очень широко. Они по-разному используются в медицине тАУ в первую очередь, как противовоспалительные и противозачаточные средства.
К гормонам коркового слоя надпочечников относятся такие гормоны как кортикостероиды: Гидрокортизон, Кортизон, Кортикостерон, Преднизолон, Прегнан. К половым гормонам мужчин относятся; Андростерон, Тестостерон, Метилтестостерон. К женским половым гормонам относятся; Эстрон, Эстрадиол, Эстриол, Этинилэстрадиол.
В данный момент существует множество препаратов стероидных гормонов, поэтому анализ их качества является весьма актуальной проблемой.
Глава 1. Стероидные гормоны
1.1 Понятие и синтез
Cтероидные гормоны - это жирорастворимые (липидные) гормоны, являющиеся по структуре стероидами, но способные проникать через клеточную мембрану и избирательно взаимодействуя со специфическими ядерными рецепторами вызывать изменения в генетическом аппарате клетки, то есть осуществляющие гормональную регуляцию в организме человека.
Выделяют четыре наиболее общие группы стероидных гормонов: минералкортикоиды, глюкокортикоиды, андрогены и эстрогены.
Основными представителями этих каждой из этих групп являются альдостерон, кортизол, тестостерон и эстрадиол соответственно.
Кроме того, выделяют группу прогестагенов, основным представителем которой является прогестерон.
Дополнительно разделяют стероидные гормоны из этих пяти групп на две условные группы: половые гормоны (прогестагены, андрогены и эстрогены) и кортикостероиды (минералкортикоиды и глюкортикоиды).
Синтез различных стероидных гормонов из холестерина осуществляется последовательными ферментативными реакциями. Основной путь стероидогенеза, приводящий к образованию минералокортикоидов, глюкокортикоидов, андрогенов и эстрогенов, представлен на приведенном рисунке. Первая стадия на пути превращения холестерина в прегненолон является реакцией, которая происходит во всех стероид-продуцирующих тканях. Эта стадия, лимитирует скорость синтеза стероидных гормонов. Последующие ферментативные реакции стероидогенеза происходят только в определенных тканях.
В организме человека не существует никакого механизма, способствующего накоплению стероидных гормонов в клетках. Только гормональный предшественник в форме эфиров холестерина накапливается в стероид-продуцирующих клетках в значительных количествах. Синтезированные же в них стероидные гормоны быстро попадают через клеточную мембрану в кровяное русло, и, осуществляя свою гормональную регуляцию, постепенно выводятся из организма (в активной форме стероидные гормоны имеют относительно малый период полувывода).

Регуляция синтеза стероидных гормонов осуществляется с помощью пептидных гормонов вырабатываемых гипоталамусом и гипофизом. Кортикотропин, вырабатываемый гипофизом, стимулирует секрецию кортикостероидов (минералкортикоидов и глюкокортикоидов). Гонадотропины (фоллитропин и лютеотропин), вырабатываемые передней долей гипофиза, стимулируют синтез андрогенов и эстрогенов. В свою очередь, гонадолиберин, вырабатываемый гипотоламусом контролирует синтез и освобождение гипофизных гонадотропинов.
Выработка пептидных гормонов гипоталамусом и гипофизом зависит от концентрации контролируемых гормонов в крови и регулируется по принципу обратной связи. Попадание в организм экзогенных стероидных гормонов со скоростью, превышающей скорость синтеза соответствующих эндогенных стероидных гормонов, практически полностью подавляет выработку стимулирующих пептидных гормонов, что приводит к подавлению механизмов синтеза соответствующих эндогенных гормонов, и в результате нарушается общий гормональный баланс в организме.
1.2 Эфиры стероидных гормонов
Эфир представляет собой цепочку из атомов углерода, водорода и кислорода, которая присоединяется к молекуле стероида (обычно на место атома водорода в 17-ой позиции), образуя эфир стероида. Эфиры стероидов имеют повышенную жирорастворимость и пониженную водорастворимость, в результате чего они надолго задерживаются в организме и медленней поступают в кровь из места инъекции.
Стероид с присоединенным к нему сложным эфиром является неактивным и не способен связываться с рецепторами. Активация стероида происходит при отщеплении эфира от стероида под действием фермента эстераза (с восстановлением водорода для формирования гидроксильной группы в 17-ой позиции, если эфир был присоединен к ней), после чего стероид способен взаимодействовать с рецепторами. Свойств самого стероида эфир не изменяет - после его отщепления стероид действует как обычно и выводится из организма со скоростью зависящей от собственного периода полувывода (полураспада) этого стероида из организма.
Как правило, чем длиннее эфирная цепочка, тем меньше водорастворимость эфира стероида, он медленнее начинает действовать, но имеет больший период полураспада. Кроме того, чем тяжелее цепочка, тем больше ее доля в общем весе эфира стероида, а значит, относительная концентрация самого стероида ниже.
Таблица 1
Список основных эфиров стероидов
| Название эфира и его период полураспада в организме, в сутках | Существующие эфиры стероидов | Препараты, в состав которых входит эфир стероида |
| |
Ацетат (Acetate) Формула: C2H4O2Масса: 60.0524 г/моль Темп. плавления: 16.6 В°C
| 3 | Метенолона Ацетат (Methenolone Acetate) | Примоболан Primobolan |
|
| Стенболона Ацетат(Stenbolone Acetate) | Анотрофин, Стенболон Anatrofin, Stenbolone |
| ||
| Тестос терона Ацетат (Testosterone Acetate) |
| |||
| Тренболона Ацетат (Trenbolone Acetate, Trembolone Acetate) | Тренбол, Финаджект, Финаджет, Финапликс Finaject, Finajet, Trenbol |
| ||
Бензонат (Benzonate) | 6 | Эстрадиола Бензоат(Estradiol Benzonate) | Эстандрон Estandron |
|
Бутират (Butyrate) | 6 | Тестостерона Бутират (Testosterone Butyrate) |
| |
Валерат (Valerate) | 7.5 | Эстрадиола Валерат (Estradiol Valerate) |
| |
Гексагидробензилкарбонат (Hexahydrobenzylcarbonate) Масса: 130.1864 г/моль | 12 | Тренболона Гексагидробензилкарбонат(Trenbolone Hexahydrobenzylcarbonate,Trembolone Hexahydrobenzylcarbonate) | Параболан Parabolan |
|
Гексаноат (Hexanoate) | 9 | Тестостерона Гексаноат (Testosterone Hexanoate) | Омнадрен Omnadren |
|
Гексилоксифенилпропионат (Hexyloxyphenylpropionate) | 12 | Нандролона Гексилоксифенилпропионат (Nandrolone Hexyloxyphenylpropionate) | Анадур |
|
Гептаноат (Heptanoate) | 10.5 | Тестостерона Гептаноат(Testosterone Heptanoate) |
| |
Гептилат (Heptylate) | 10 | Тестостерона Гептилат (Testosterone Heptylate) | Тестостерон терамекс Testosterone Teramex |
|
Деканоат (Decanoate) Формула: C10H20O2 Масса: 172.24 г/моль | 15 | Тестостерона Деканоат (Testosterone Decanoate) | Сустанон Sustanon |
|
| Нандролона Деканоат (Nandrolone Decanoate) | Анаболин, Дека-Дуболин, Дека-Дураболин, Дека-Дурабол, Еболан, Нурецан, Ретаболил, Стероболин, Туринабол Депо, Циремилон, Экстраболин, Элпихормо Anaboline, Jebolan, Deca-Durabolin, Deca-Durabol, Deca-Durabolin, Elpihormo, Extraboline, Nurezan, Retabolil, Sterobolin, Turinabol Depot, Ziremilon |
| ||
Изогексаноат(Isohexanoate) | 9 | Тестостерона Изогексаноат (Testosterone Isohexanoate) | Омнадрен Omnadren |
|
Изокапроат (Isocaproate) Формула: C6H12O2 Масса: 116,14 г/моль | 9 | Тестостерона Изокапроат (Testosterone Isocaproate) | Сустанон, Омнадрен (новый), Эстандрон Sustanon, Omnadren, Estandron |
|
Капроат (Caproate) Формула: C6H12O2Масса: 116,14 г/моль | 9 | Тестостерона Капроат(Testosterone Caproate) | Омнадрен (новый) Omnadren |
|
Лаурат (Laurate) Формула: C12H24O2 Масса: 200,29 г/моль | 17 | Нандролона Лаурат (Nandrolone Laurate) | Лаураболин |
|
Нонаноат (Nonanoate) | 13.5 |
| ||
Октаноат Octanoate) | 12 |
| ||
Пропионат (Propionate) Формула: C3H6O2 Масса: 74.0792 г/моль
| 4.5 | Андростенедиола Дипропионат (Androstenediol Di-Propionate) | Дролбан, Мастабол, Мастерен, Мастерид, Мастизоль, Мастерил, Мастерон, Метолон, Пермастрил Drolban, Mastabol, Masterid, Masteril, Masteron, Masterone, Metholone, Permastril |
|
Дромастанолона Дипропионат (Dromastanolone Di-Propionate) Дростанолона Пропионат (Drostanolone Propionate) | ||||
| Нандролона Пропионат (Nandrolone Propionate) |
| |||
| Тестостерона Пропионат (Testosterone Propionate) | Аговирин, Андролан, Андрофон-Рихт, Вирормон, Нео-Номбреол, Омнадрен, Примотестон Депо, Сустанон, Тестенон, Тестовирон Депо, Тестостерон пропионикум, Тестовирон, Тестопин, Тестэнат, Эстандрон |
| ||
| Метиландростенедиола Дипропионат(Methylandrostenediol Di-Propionate) | Аквеоус, Метандриол Acverous, Methandriol |
| ||
Ундеканоат (Undeconoate) Формула: C11H22O2Масса: 186,26 г/моль | 16.5 | Тестостерона Ундеканоат (Testosterone Undeconoate) Нандролона Ундеканоат (Nandrolone Undeconoat e) | Андриол, Вириген, Пантестон, Равзини, Рестандол, Ундестор Динаболон, Психоболон | |
Ундесиленат (Undecylenate) Формула: C11H20O2Масса: 186.2936 г/моль
| 13 | Болденона Ундесиленат (Boldenone Undecylenate) | Болдебал, Болденон, Венобол, Ганабол, Пэйс, Сиболин, Эквипойз Boldebal, Boldenon, Equipoise, Ganabol, Pace, Sybolin, Vebonol |
|
Фенилпропионат (Phenylpropionate) Формула: C9H10O2 Масса: 150.174 г/моль Темп. плавления: 20В°C
| 4.5 | Нандролона Фенилпропионат (Nandrolone Phenylpropionate) | Активин, Анаболин, Андролон, Дубол, Дураболин, Нандроболин, Нероболин, Суперанаболин, Туринабол, Ферболико, Феноболин, Эквиболин, Эстандрон |
|
| Норетандролона Фенилпропионат (Norethandrolone Phenylpropionate) | Дурандрон, Омнадрен, Сустанон Durandron, Omnadren, Sustanon |
| ||
| Тестостерона Фенилпоропионат (Testosterone Phenylpropionate) |
| |||
| Эстрадиола Фенилпропионат (Estradiol Phenylpropionate) | Эстандрон Estandron |
| ||
Формиат (Formiate, Formate) | 1.5 | Тестостерона Формиат (Testosterone Formiate, Testosterone Formate) | Андроцип, Андронад, Деп Андро, Д-Тест, Деп-Тест, Деп-Тестостерон, Депотест, Дуратест, Малоджек Сип, Теста-С, Тестацип, Тестекс Лео пролонгатум, Тестодиета-Депо, Тестоджект, Тестред Ципионат, |
|
Ципионат (Cypionate) Формула: C8H14O2 Масса: 132.1184 г/моль | 12 | Тестостерона Ципионат (Testosterone Cypionate) Оксаболона Ципионат(Oxabolone Cypionate) Эстрадиола Ципионат(Estradiol Cypionate) | ||
Стеранабол Депо, Стерон Steranabol Depo, Steranabol Depot, Steranabol Ritardo, Steron | ||||
Энантат (Enanthate) Формула: C7H14O2 Масса: 130.1864 г/моль
| 10.5 | Метенолона Энантат (Methenolone Enanthate) | Примоболан Депо Primobolan Depot |
|
| Тестостерона Энантат (Testosterone Enanthate) | Андротардия, Депо-тестостерон, Дура-Тестостерон, Примотестон Депо, Тестостерон Депо, Тестен, Тестостерона Пролонгат, Тестостовирон Депо, Тесто-Энант, Эпармон-Депот, Тестостерон Энантат |
| ||
1.3 Производные стероидных гормонов
Производные стероидных гормонов получают путем структурных изменений в молекуле взятого за основу стероида. Таким образом, получают стероиды имеющие высокую степень сродства с взятым за основу стероидом, но с измененными в нужную сторону параметрами.
Алкилированием (алькилированием) называется введение в молекулы соединений алкила, например, метила CH3 (метилирование) или этила C2H5 (этилирование). Большинство оральных стероидов алкилированы по 17-альфа: к 17-ой позиции молекулы присоединена метиловая группа (СН3), что предохраняет стероид от быстрого разрушения в печени (при этом оказывая токсичное действие на нее), увеличивая период полураспада стероида до нескольких часов.
В зависимости от характера биологической активности производные стероидных гормонов разделяют на три группы: кортикоидные (кортикостероиды), анаболические андрогенные (анаболические андрогенные стероиды, ААC, АС) и эстрогенные стероидные гормоны. Однако в организме, многие производные стероидных гормонов подвережены ферментативным реакциям в стероид-продуцирующих тканях, и могут превращаться в другие стероидные гормоны, являясь в этом случае одновременно и прогормонами (прекурсорами).
Различные производные стероидных гормонов могут применяться перорально (в виде таблеток или капсул), в виде внутримышечных инъекций, а также в виде мазей (кремов или гелей) и ингаляционно (в виде спреев).
Глава 2. Андрогенные гормоны
2.1 История
Еще в 1849 г. Бертольдом было установлено, что у петухов при кастрации наступает атрофия гребня и что, наоборот, при пересадке семенников молодым кастрированным петушкам у них восстанавливаются вторичные половые признаки, т. е. рост гребешка, голос, поведение. Отсюда был сделан вывод, что в семенниках птиц содержатся какие-то активные вещества, обусловливающие половые отличия и половую деятельность. Кох и Мур и другие авторы приготовили первые активные андрогенные экстракты, для определения активности которых предлагались различные методы. В 1927 г. было обнаружено, что активное начало андрогенов содержится не только в семенниках, но и в моче мужчин. По Вальтеру и Пецарду, тест петушиного гребня основан на регенерации утраченных у каплунов характерных признаков. По Галахеру и Коху, петушиной, или каплуньей единицей называется то количество вещества, которое, спустя 5 дней при ежедневном инъекционном введении масляного раствора, увеличивает длину гребня на 5 мм. Единицей действия также считают то наименьшее количество вещества, которое вызывает рост гребня на 15тАФ20% (Влпетушиная единицаВ»). Леве и Восс предложилии другой тест, основанный на росте семенных пузырьков у кастрированных грызунов. Дегенерированные после кастрациипузырькивновь вырастают при инъекции гормонаи, таким образом,секреторнаядеятельность восстанавливается.
Первым андрогенным гормоном, выделенным Бутенандтом и Чернингом в 1931 г. из мужской мочи, был андростерон. Он оказался оксикетоном. Вскоре Бутенандту, Данненбауму и другим авторам удалось выделить еще один активный непредельный кетон состава С19Н28О2. Из 5 мг мочи Бутенандту удалось выделить 15 мг мужского гормона. На основанииданныханализа, наличия окси- и кетогрупп, а также предположения о генетической связи гормона, названного андростероном (I), с холестерином ему было установлено строение андростанол-З-она-17 (I). В 1934 г. Ружичка подтвердил это строение синтезом и определил его пространственную конфигурацию, получив ацетат андростерона, окислением 3α-ацетата холестанола (II), в свою очередь полученного из холестанона (III):

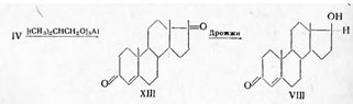
В дальнейшем Бутенандтом был предложен более эффективный метод получения андростерона из дегидроэпиандростерона (IV). Взаимодействием последнего с пятихлористым фосфором был получен 3-хлоркетон (V), который после гидрирования (VI) и обменной реакции с ацетатом калия превращался в ацетат андростерона (VII):

Несмотря на доступность андростерона, он почти не нашел практического применения, так как в 1935 г. Лакером (Нидерланды) было показано, что в семенниках быков (и других животных) содержится более активный мужской гормон, названный тестостероном (VIII):
Тестостерон активнее андростерона в 7 раз. Первый синтез тестостерона был осуществлен также Бутенандтом. При гидрировании ацетата дегидро- эпиандростерона (IX) водородом в присутствии скелетного никелевого катализатора был получен 3-ацетат-Δ5-андростендиола-3β,17β (Х), который бензоилированием в присутствии пиридина превращен в 3β-ацетат-17-бензоат-Δ5-андростендиола (XI), а затем частичным гидролизом ацетильной группы при температуре не выше 11В° в 17-бензоат-Δ5-андростендиол-Зβ, 17β (ХII).

Окислением хромовым ангидридом, в присутствии уксусной кислоты (XI), после предварительной защиты двойной связи бромированием и последующего дебромирования цинком получен в результате гидролиза тестостерон (VIII):

В литературе описан ряд вариантов синтеза тестостерона из дегидроэпиандростерона (IV), андростендиона (XIII) и другого исходного сырья. По методу Мамоли, дегидроэпиандростерон (IV) окисляют по Оппенауэру в андростендион (XIII), который под влиянием дрожжевых грибков восстанавливают до тестостерона:

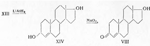
При использовании в качестве исходного продукта андростендиона его восстанавливают литий-алюминий-гидридом доандростендиола и затем окисляют перекисью марганца в нейтральном растворе. Этот реагент окисляет селективно лишь аллильные спирты, в результате чего образуется тестостерон (VIII):

В качестве исходного сырья для синтеза тестостерона использована также Δ5-3-оксиэтиохоленовая кислота.
С помощью хлористого тионила 3-ацетат ее превращается в хлорангидрид 3-ацетоксиэтиохоленовой кислоты, затем азидом натрия (в сухом толуоле) и обработкой 60%-ной серной кислотой тАФ в амин. После защиты двойной связи бромированием гидроксильная группа при С3 окисляется хромовой кислотой, бром отщепляется цинком и с помощью диазотирования нитритом натрия и разложения неустойчивого диазосоединения, в присутствии уксусной кислоты, он превращается в тестостерон:
Тестостерон тАФ мелкий белый кристаллический порошок, т. пл. 166тАФ 171В° не растворим в воде, растворяется в спирте, эфире, хлороформе. Применяют обычно в виде сложных эфиров тАФ пропионата или энантата.
При синтезе стероидных гормонов большое значение имеет доступность исходного сырья; в этом отношении β-ситостерин, получаемый из отходов производства бумаги, является весьма перспективным.

Как показали исследования Д.М. Халецкого с сотр., технология производства стероидных гормонов из β-ситостерина мало отличается от их производства из холестерина. Между тем, холестерин является дорогим сырьем животного происхождения, в то время как β-ситостерин тАФ недефицитными дешевым.
Тестостерон и его полусинтетические аналоги обладают способностью оказывать стимулирующее действие на синтез белков в организме (анаболический эффект). Анаболическое действие проявляют тестостерон, его эфиры, метилтестостерон. Однако у них этот эффект намного менее выражен, чем андрогенная активность. Метандриол (метиландростендиол), являющийся промежуточным продуктом синтеза метилтестостерона, проявляет слабую андрогенную и относительно более высокую анаболическую активность. Еще более избирательным анаболическим действием обладает метандиенон (метандростенолон).
Впервые Мишером, Ветштейном и Шоппом было найдено, что андрогенное действие тестостерона усиливается жирными кислотами (1936 г.); аналогичное действие наблюдается и в присутствии высших спиртов, например стеарилового спирта. Дальнейшие исследования показали, что действие тестостерона повышается также при его этерификации. В связи с этим Ружичка и Ветштейном были синтезированы эфиры муравьиной, уксусной, пропионовой, масляной и изомасляной кислот, а также пальмитиновой и стеариновой; оказалось, что первые три эфира проявляют активность (на петушином гребне) уже в дозах 20 вторые два тАФ в дозах 60тАФ70γ, а последние два в дозах 1000γ. Слабее действуют ароматические эфиры, например бензойной кислоты тАФ 100γ. На основании этих данных в медицину был введен тестостерон-пропионат.
2.2 Тестостерон-пропионат
Testosteronum рropionicum. Testosteroni propionas. Тестостерон-пропионат. Δ4-андростен-3-он-17 (р)-ол-17-пропионат. С22Н32О3. М = 314,50

Синонимы: Homosteron, Perandren, Testovironи др. Получают нагреванием тестостерона с пропионовым ангидридом при 110тАФ114В°, с последующей перекристаллизацией из метилового спирта:
РЖсторiя виникнення та розвитку масажу
Азотные и кислородные ванны, нафталановая нефть
Акушерська операцiя - накладання акушерських щипцiв
Алгоритм оказания неотложной помощи при кардиологических заболеваниях и отравлениях
