Измерение и контроль температуры
1. Наименование и область применения
Назначение ИС: контроль температуры, обеспечение возможности измерения температуры с помощью терморезистивного преобразователя в напряжение с последующим его усилением и преобразованием в цифровую форму.
2. Основание для разработки
Задание на курсовое проектирование по курсу "Теория измерений" специальности 200101 "Приборостроение".
3. Цель разработки
Целью данной работы является практическое приложение вопросов теории измерений к задачам системотехнического проектирования измерительных устройств, а также изучение принципа действия фотоэлектрических преобразователей и приобретение практических навыков работы с ними.
4. Источники разработки
Е.С. Левшина, П.В. Новицкий: "Электрические измерения физических величин. Измерительные преобразователи" / ЭнергоАтомИздат.
П.П. Орнатский: "Автоматические измерения и приборы (аналоговые и цифровые)" / Издание пятое, 1986 г.
5. Технические требования
5.1 Состав изделия и требования к конструктивному устройству
Принцип действия фотоэлектрического пирометра ФЭП-4 (рис. 5.1) заключается в том, что излучение от объекта измерения 12, вместе с излучением от эталонной лампы 4 в противофазе попадает на фотоэлемент 7. Разность этих световых потоков усиливается усилителем 8 и подаётся на выходной каскад 9, нагрузкой которого является эталонная лампа накаливания 4, последовательно с которой установлено калибровочное сопротивление 10. Падение напряжения на калибровочном сопротивлении изменяется электронным потенциометром II, шкала которого проградуирована в единицах измерения температуры.
Пирометр предназначен для измерения температуры от 500В°С до 4000В°С. Основная погрешность не превышает В±1%, при измерении температуры не выше 2000В°С и 1,5% - при температуре свыше 2000В°С.

Рис. 5.1
5.2 Показатели назначения
Пирометр - измерительный прибор для бесконтактного измерения температуры. Представленные приборы основаны на использовании инфракрасного излучения.
Принцип действия инфракрасного пирометра основан на измерении абсолютного значения излучаемой энергии одной волны в инфракрасном спектре. На сегодня это относительно недорогой бесконтактный метод измерения температуры. Данные устройства могут наводиться на объект с любой дистанции и ограничены лишь диаметром измеряемого пятна и прозрачностью окружающей среды. Они идеальны для переносных моделей, и поэтому могут работать по принципу "навел и выстрелил".
Инфракрасные термометры, часто называемые пирометрами, используют принцип детектора инфракрасного излучения. Интенсивность и спектр излучения зависит от температуры тела. Измеряя характеристики излучения тела, пирометр косвенно определяет температуру его поверхности.
5.2.1 Назначение пирометров
Измерение температуры удаленных и труднодоступных объектов; измерение температуры движущихся частей; обследование частей, находящихся под напряжением; контроль высокотемпературных процессов; регистрация быстро изменяющихся температур; измерение температуры тонкого поверхностного слоя; обследование частей, не допускающих прикосновения; обследование материалов с низкой теплопроводностью или теплоемкостью; экспресс - измерения.
5.2.2 Области применения пирометров
Теплоэнергетика: котлы, турбины, бойлеры, теплотрассы, паропроводы;
электроэнергетика: трансформаторы, кабели, контакты, шины под напряжением; металлургия и металлообработка: печи, станы, прессы; электроника: контроль температуры элементов и деталей; диагностика двигателей внутреннего сгорания; электродвигатели и подшипники; контроль температуры производственных процессов; контроль условий хранения и перевозки пищевых продуктов; обследование зданий и сооружений; системы отопления, вентиляции и кондиционирования; обследование холодильной техники; оснащение пожарных бригад. Основные характеристики пирометров
Диапазон температур и длина волны пирометра
Рабочий диапазон температур пирометра зависит от длины волны излучения, на которое реагирует детектор пирометра. Так как спектр излучения с ростом температуры смещается в сторону коротких волн, высокотемпературные пирометры имеют более короткую длину волны. Для пользователя рабочая длина волны пирометра не имеет значения, его интересует диапазон температур.
Быстродействие пирометра
Так как пирометры применяются в случаях быстрого изменения температуры, быстродействие для них является важной характеристикой. Оно обычно оценивается временем достижения 95% установившегося показания (время установления показания).
Установка излучательной способности
Для точного определения температуры тела по его излучению необходимо знать его излучательную способность (степень черноты). Большинство поверхностей по характеру излучения близки к черному телу, однако некоторые (например, полированные металлы) существенно отличаются. Простые пирометры настроены на фиксированную излучательную способность (чаще всего - 0,95), поэтому при измерении температуры хорошо отражающей поверхности они дают погрешность в несколько градусов. В более сложных пирометрах можно устанавливать излучательную способность, компенсируя эту погрешность. В наиболее совершенных пирометрах имеются встроенные таблицы излучательной способности многих известных материалов, что избавляет от необходимости их запоминания.
Оптическое разрешение пирометра
Пирометры измеряют среднюю температуру поверхности, находящейся в области чувствительности. Область чувствительности пирометра приближенно можно представить конусом, вершина которого упирается в объектив прибора, а основание располагается на поверхности объекта. Отношение высоты конуса к его диаметру L:D, называемое оптическим разрешением пирометра, является одной из основных характеристик прибора (иногда используют обратную величину - D:L). Чем больше L:D, тем более мелкие предметы пирометр может различить на расстоянии.
Фокусное расстояние пирометра
Область чувствительности пирометра можно считать конической только на достаточном расстоянии. Вблизи она имеет более сложную форму. Часто у пирометра зона чувствительности сначала сужается до минимума, а затем начинает расширяться в форме конуса. Расстояние F, на котором достигается минимальный диаметр зоны чувствительности d, называется фокусным расстоянием. Для таких пирометров параметры F и d указываются в документации. Существуют специальные короткофокусные пирометры, у которых d составляет 5..8 мм на расстоянии F 300..600 мм.
Способ нацеливания пирометра
Простейшие пирометры не имеют устройства нацеливания и могут применяться только на близких расстояниях. Для нацеливания пирометра на удаленные объекты чаще всего применяется луч лазера. С помощью одиночного лазерного луча можно определить только точку вблизи центра зоны чувствительности. У такого прицела луч лазера не совпадает с оптической осью объектива пирометра, поэтому центр зоны смещен относительно лазергого указателя на фиксированное расстояние 1-2 см (т.н. ошибка параллакса). В усовершенствованном коаксиальном прицеле луч лазера выходит из центра объектива пирометра и всегда попадает в центр зоны измерения. Двойной лазерный прицел показывает не только расположение, но и размер зоны измерения пирометра, однако на близком расстоянии он может быть сильно завышен. Разновидность двойного прицела с пересекающимися лучами называется кросс-лазером и обычно применяется в короткофокусных пирометрах, так как этот вид лазера удобен для определения местоположения фокуса объектива. Круговой лазерный прицел, образованный несколькими лучами, наглядно обозначает зону измерения пирометра. Простому круговому прицелу присущи уже упомянутые недостатки - параллакс и завышенный размер зоны измерения на близком расстоянии. Наиболее совершенный прицел, лишенный этих недостатков, создается несколькими лазерными лучами, расположенными вокруг объектива пирометра и образующими гиперболоид вращения. Такой прицел точно обозначает зону измерения на любом расстоянии от пирометра, поэтому он называется точным круговым лазером (TRUE SPOTTM).
Лазерный луч плохо виден на ярко освещенной или раскаленной поверхности, поэтому высокотемпературные пирометры для нацеливания иногда оснащаются оптическими визирами.
5.3 Метрологические характеристики

Цифровой интегрирующий вольтметр с преобразованием интеграла напряжения в интервал времени (цифровой вольтметр с двухтактным интегрированием)
Основная схема цифрового вольтметра с двухтактным интегрированием представлена на рис 8.19:

Цикл измерения состоит из двух тактов. В первом такте с момента t1 до t2 цифровой автомат ЦА замыкает ключ SW1 и на вход интегратора, состоящего из усилителя, резистора Rи конденсатора С, поступает напряжение Ux. Выходное напряжение интегратора.
(5.1)
В момент t1 открывается также ключ SW5 и на СТ от генератора квантующих импульсов Gmпоступают импульсы частотой f0. При достижении в СТ числа No(обычно полного объема СТ) в момент t2 первый такт заканчивается. Время интегрирования Uxсоставит
Ва(5.2)
В момент t2 СТ сбрасывается в нулевое состояние, а ЦА замыкает SW2. На вход интегратора подается известное по значению постоянное напряжение (/0, полярность которого противоположна полярности Ux- Выходное напряжение интегратора линейно уменьшается и в момент t3становится равным нулю. Этот момент фиксируется устройством сравнения УС- В момент t3 заканчивается второй акт преобразования.
Баланс зарядов на конденсаторе С соответствует условию:
Ва(5.3)
Ва(5.4)
Ва(5.5)
Ва(5.6)
Это число, представляющее результат измерения, в момент t9 по команде ЦА переписывается в регистр памяти. В момент tBCT сбрасывается в нуль, ЦА возвращается в исходное положение, в котором разомкнуты SW1, SW29SW5, aSW3 и SW4 замкнуты. Начиная с момента t3аналоговая часть прибора и УС автоматически корректируются.
При Ux = const

Следовательно, отсчет счетчика прямо пропорционален измеряемому напряжению и зависит только от напряжения источника образцовое напряжения U0. Цифровой отсчет прибора не зависит от сопротивления R, емкости С, периода Т0, а также от напряжения U*. Необходимо, чтобы их значения были постоянны лишь в течение каждого кратковременного цикла измерения. Важными преимуществами таких приборов являются: использование одного счетчика импульсов в обоих циклах (благодаря чему снижается сложность), высокая помехоустойчивость, удобство измерения отношения двух напряжений, повышенная чувствительность.
Эта схема является одной из наиболее перспективных для создания цифровых интегрирующих вольтметров высокой точности, так как изменения параметров и элементов практически не влияют на информативный параметр выходного сигнала, К числу основных погрешностей вольтметра двухтактного интегрирования относятся: погрешности от идентичности ключей SW1 и SU72 тАФбвл, погрешность от нелинейности интегрирования- -б,,; погрешность, вызванная дрейфом нуля усилителя УС, погрешность из-за конечной полосы пропускания усилителятАФ6^; погрешность от абсорбции конденсатора и погрешность от квантования.
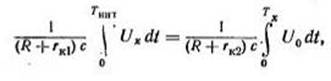
Погрешность от переходных сопротивлений ключей возникает из-за того, что напряжения I)\ и (J0подаются на интегратор через ключи SWIи SW2, сопротивления которых в замкнутом состоянии конечны (не равны нулю). С учетом этого уравнение преобразования во временной интервал будет иметь вид:

где гк\ и г*?.тАФ сопротивления первого и второго ключей в замкнутом состоянии.
После преобразований получим:


Погрешность от нелинейности интегрирования 6Н зависит от времени интегрирования в эквивалентной постоянной времени интегратора Тит, равной

где /(у тАФ коэффициент усиления усилителя на постоянном токе.
Относительную погрешность от нелинейности интегрирования 6тАЮ определяют из выражения

где Гкит тАФ время интегрирования в первом такте.
Поскольку прибор работает в два такта с противоположными направлениями интегрирования, суммарная погрешность от нелинейности интегрирования будег меньше и будет равна разности 6Ы в первом и втором тактах

Появление этой погрешности показано на рис. 8.20,а, где сплошной линией и пунктиром показано изменение напряжения на интеграторе в идеальном и реальном случаях.
Если Tm~Qtlс, RC = 0,iс, Кд=Ю5, а ГВл-0, то 6а = = 0,0005%.
Приведенная погрешность 6дтАЮ (для случая 0Xtl^U^
![]()
где UартАФ приведенное ко входу напряжение дрейфа усилителя.
Формула для вычисления бдр получена из анализа с учетом того, что интегрируется реально Ux+ U№и тАФ V0f U^. Погрешность может быть большой, и обычно между циклами преобразования вводится такт коррекции дрейфа, в течение которого SW1 и SW2 разомкнуты. Напряжение дрейфа запоминается на конденсаторе СтАЮ. Поэтому в такте преобразования 6ДР снижается более чем па порядок.
Конечная полоса пропускания У приводит к погрешности из-за задержки начала изменения выходного напряжения интегратора относительно момента коммутации (момента появления на входе интегра
тора напряжения Uxили U0), рис. 8.20, б, где 1/т =/гр тАФграница равномерной полосы пропускания усилителя.
Данную погрешность можно скомпенсировать, если включить последовательно с емкостью С интегратора небольшое сопротивление RKtкоторое рассчитывается из условия:

где /,тАФ ток в цепи конденсатора в момент /,; Д £/ тАФ напряжение на выходе интегратора, определяемое задержкой начала интегрирования. Откуда


В цифровых вольтметрах двухтактного интегрирования необходимо устройство для определения полярности входного сигнала, обычно оно выполняется на основе компаратора, включенного на выходе интегратора. Выходной сиг нал этого компаратора используется для выбора источника образцового напряжения с полярностью, противоположной полярности Ux-
В настоящее время примерно 25 % выпускаемых цифровых вольтметров являются вольтметрами с двухтактным интегрированием. Отечественной промышленностью выпускаются несколько цифровых вольтметров двухтактного интегрирования класса 0,01..0,00! следующих типов: В2-38, ВЗ-59; Щ1612, Щ301, Щ68014, Щ4800 и др. Основные технические данные их приведены в табл. 36 (рис. 8.21,0, 6, в).
5.3.1 Расчёт класса точности
Класс точности является обобщённой метрологической характеристикой средств измерений (СИ) и определяется пределами допускаемых погрешностей, а также другими свойствами СИ, влияющими на точность измерений. Класс точности указывается в сопроводительной документации на СИ или на шкале отсчётного устройства в виде обозначения, соответствующего форме выражения пределов допускаемой основной погрешности по ГОСТ 8.401-80.
Исходные данные: - верхний предел измерений.
![]()
Предпочтительное значение измеряемой величины x должно соответствовать примерно 0.75 от верхнего предела измерений:
Ва(1.1)
![]()
Предел допустимых основных погрешностей термоэлектрических термометров ТХА возмем из таблицы (ГОСТ 3044-74)
![]()
Где слагаемое 0,16 является аддитивной составляющей , а слагаемое
- мультипликативной.
a=0,16
b=![]()
Расчёт численного значения класса точности сводится к определению постоянных c и d с учётом, что 2 где c и d тАУ положительные числа. Значение с для приборов переменного тока должно находиться в пределах 0.01 Полученное значение с=0.04 входит в заданные пределы. Класс точности: Пределы допускаемой относительной основной погрешности устанавливают по формуле: Абсолютная погрешность Предел допускаемой дополнительной погрешности Пределы допускаемой дополнительной погрешности устанавливаем по отношению к температуре окружающей среды и к внешнему магнитному полю. Для данного прибора переменного тока с постоянной с<0.2 дополнительная погрешность в пределах рабочих температур на каждые не должна превышать предела допускаемой основной погрешности. Определение выходного кода и его параметров Выходной код и его параметры выбираются по ГОСТ 26.014-81 ВлЕССП. Средства измерений и автоматизации. Сигналы электрические кодированные входные и выходныеВ». На вход аналого-цифрового преобразователя (АЦП) с выхода аналогового канала поступает сигнал S с некоторой погрешностью Суммарное среднее квадратическое отклонение (с.к.о.) погрешности преобразования: где: ∆S - шаг квантования, которому соответствует погрешность Здесь Влияние составляющей, распределённой равномерно, приводит в их композиции к уменьшению доверительных интервалов при заданной доверительной вероятности по сравнению с нормальным законом. Если отношение 0.5∆S/δs=0.1тАж1.0, то доверительный интервал В±1.7δz имеет доверительную вероятность P=0.98. При отношении 0.5∆S/δs<0.1 при Р=0.99 доверительный интервал будет равен В±2δz. При отсутствии систематических погрешностей и принятии допущения о том, что случайная погрешность распределена нормально, можно установить зависимость между приведённой допускаемой погрешностью γ и с.к.о. этой погрешности. При этих условиях 95% значений случайной погрешности находится в пределах от -2δs до +2δs. Примем Откуда Если с.к.о. погрешности от квантования Если принять ∆S=δs, суммарное с.к.о. увеличивается только на 4%,т.е. в этом случае квантование почти не изменит с.к.о. суммарной погрешности. Этому соотношению примерно соответствует минимально допустимое отношение с/d=2, установленное ГОСТ 14014-82 и соответствующее равенству аддитивной и мультипликативной составляющих погрешностей. Шаг квантования (цена единицы младшего разряда кода) Номинальное число ступеней квантования (разрешающая способность) Число разрядов кода Вид кода: двоичный нормальный Функция преобразования (статическая функция преобразования) - функциональная зависимость между информативными параметрами выходного и входного сигналов. При определении функции преобразования учитываем, что аналоговый канал представляет собой линейную цепь прямого преобразования последовательного типа. Номинальная функция преобразования: где, К1,К2, КЗ,К4 - коэффициенты преобразования отдельных звеньев цепи U=k где U- напряжение; k1 тАУ коэффициент преобразования термопары; k2 тАУ коэффициент преобразования усилителя; k3 тАУ коэффициент преобразования фильтра; Т тАУ температура. Чувствительность СИ тАУ приращение информативного параметра выходного сигнала ∆y СИ к вызвавшему его приращению информативного параметра входного сигнала ∆x: При линейной статической характеристике преобразования чувствительность постоянна и равна: где Фильтруемый усиленный сигнал не изменяется по частоте. Порог чувствительности тАУ наименьшее изменение входной величины, обнаруживаемое с помощью данного СИ. Значение порога чувствительности аналогового канала, предвключённого к цифровому СИ не должно быть меньше цены деления младшего разряда выходного кода, поэтому принимаем его равным 0.01 кг. 5.3.2 Динамические характеристики Динамические характеристики - характеристики инерционных свойств СИ, определяющие зависимость выходного сигнала от меняющихся во времени величин: параметров входного сигнала, внешних влияющих величин, нагрузки. Общая передаточная функция имеет вид: К (р)общ= k где; k1(р)тАУ передаточная функция термопары; k2(р)тАУ передаточная функция усилителя; k3(р)тАУ передаточная функция фильтра р тАУ оператор Лапласа. Коэффициент демпфирования β для исключения возможности резонансных явлений не должен превышать 0.8 Переходная характеристика для аналогового канала, по своим динамическим свойствамимеет вид: где τ тАУпостоянная времени датчика; ω0 тАУ собственная частота звена; Значение выходного сигнала h(t) выбираем из условия, что оно должно отличаться от установившегося значения не больше, чем на установленное ТЗ значение δдоп=0.04. Время установления показаний определяем по временной характеристике h(t), решая уравнение (2) относительно t: Исходные данные h(t)=0.04 тАУ временная переходная характеристика; τ= Кобщ=0,0025 Подставляя числовые данные в уравнение (2), решаем его относительно времени установления показаний 5.4 Эксплуатационные характеристики Климатические и механические воздействия, устанавливаются для нормальных или рабочих условий применения и предельных условий транспортирования (ГОСТ 14014-82). Нормальные условия применения характеризуются совокупностью значений или областей значений влияющих величин, принимаемых за нормальные. Устанавливаются по ГОСТ 22261 тАУ 82 и ГОСТ 8.395 тАУ 80. Рабочие условия применения тАУ совокупность значений влияющей величины, которые не выходят за пределы рабочей области значений, нормирующих дополнительную погрешность или изменение показаний СИ. Устанавливаются по ГОСТ 22261 тАУ 82. 6. Показатели надёжности Показателями надёжности для разрабатываемого цифрового устройства являются безотказность, долговечность, ремонтопригодность. В качестве характеристики безотказности установлена наработку на отказ, равная 1500 часов. В качестве характеристики долговечности принят средний срок службы до списания, который должен быть не менее 8 лет. Ремонтопригодность характеризуется средним временем восстановления, которое выбираем не менее 2 часов. 7. Требования безопасности Требования по электробезопасности по ГОСТ 12.2.097-83. Требования к основным элементам конструкции, органам управления, средствам защиты, безопасности ремонта, монтажа, хранения по ГОСТ 12.2.003-74, ГОСТ 14014-82, ГОСТ 22251-76. 8. Показатели помехозащищённости, средства и методы поверки измерительный температура пирометр поверка Показатели помехозащищённости, средства и методы поверки установлены по ГОСТ 1014-82. Вместе с этим смотрят: IP-телефония. Особенности цифровой офисной связи РЖсторiя звтАЩязку та його розвиток Автоматика, телемеханика и связь Анализ режимов автоматического управления
;(1.2)![]()
; (1.3)![]()

; (1.4)![]()
(1.5)![]()
Ва; АЦП за счёт квантования аналогового сигнала вносит дополнительную погрешность
Ва. В результате величина Z на выходе АЦП будет иметь некоторую погрешность
Ва.При аддитивном характере составляющих погрешности
Ваи
Варезультирующая погрешность будет определяться как:
Ва(1.6)
; (1.7)
Ва- с.к.о. погрешности аналогового сигнала;
Ва- с.к.о. погрешности АЦП за счёт квантования;
Ва.
Ва, т.к.для входного сигнала принят закон равномерного распределения.
; (1.8)
; (1.9)
Вапринять равным δs,то суммарное с.к.о. в результате квантования согласно (1) увеличивается на 41% по сравнению c δs.
; (1.10)
Ва(1.11)
; (1.12)![]()

(1.13)![]()
Ва(1.14)![]()
(1.15)
Таким образом, номинальная функция преобразования имеет вид:
*k
*k
(T),
; (1.16)![]()
Ва(1.17)![]()
Ва(1.18)![]()
мВ- термоЭДС термоэлектрических термометров типа ТХА стандартной градуировки ХА при температуре свободных концов 0ºС ГОСТ 3044-74
Ва(1.19)![]()
(1.20)![]()
![]()
(р)*k
(р)*k
(р).
Ва(2.1)![]()
![]()
