Концепции современного естествознания

Федеральное агентство по образованию

Новосибирский государственный университет экономики и управления

Кафедра современного естествознания и наукоемких технологий

КОНЦЕПЦИИ СОВРЕМЕННОГО ЕСТЕСТВОЗНАНИЯ

ВАРИАНТ №6

Разработчик: Дубнищева Т.Я.

Новосибирск 2010


1. Приведите доказательства справедливости закона тяготения Ньютона в Солнечной системе

Чередование приливов/отливов на Земле, мощное возмущение атмосферы Юпитера при приближении кометы Шумейкера-Леви и её разрыв на части перед падением, отметены на спутниках Юпитера зафиксированные астрономами от следов разрывов комет и метеоритов чудовищной гравитацией Юпитера, вращение всей Солнечной системы вокруг общего центра масс.

Найдите ускорение свободного падения на Луне и оцените свой вес на Луне, исходя из знания, что ее масса в 81 раз меньше, чем у Земли

Значение гравитационного ускорения на поверхности планеты можно приблизительно подсчитать, представив планету точечной массой M, и вычислив гравитационное ускорение на расстоянии её радиуса R:

где G-гравитационная постоянная для данной планеты.

В нашем случае возьмем из справочника значение G*M для Луны оно будет равно: 4.903В·1012 м32 радиус Луны равен 1737,1*103 м, отсюда g для Луны будет равна

g=4.903В·1012/(1737,1*103)2=1,62 м/с2

Теперь найдем мой вес.

Моя масса на Земле равен 50 кг, отсюда по формуле:

теперь найдем мой вес на Луне:

P=m*g


P=50*1.62= 81 кг*м/с2

Ответ: ускорение g=1.62 м/с2, масса равна 81 кг*м/с2

2. Поясните Влпарадокс длиныВ» специальной теории относительности

Лоренцево сокращение, Фитцджеральдово сокращение, также называемое релятивистским сокращение длины движущегося тела или масштаба тАФ предсказываемый релятивистской кинематикой эффект, заключающийся в том, что с точки зрения наблюдателя движущиеся относительно него предметы имеют меньшую длину (линейные размеры в направлении движения), чем их собственная длина. Множитель, выражающий кажущееся сжатие размеров, тем сильнее отличается от 1, чем больше скорость движения предмета.

Эффект значим, только если скорость предмета по отношению к наблюдателю сравнима со скоростью света. Сокращение длин возникает из-за свойств псевдоевклидовой геометрии пространства Минковского, аналогичных удлинению сечения, например, цилиндра, когда оно проводится не строго поперёк оси, а косо.

Определите относительную скорость движения, при которой сокращение линейных размеров тела составляет 10%

Пусть стержень длины L движется (вдоль своей длины) со скоростью υ относительно некой системы отсчёта. В таком случае в фиксированный момент времени расстояние между концами стержня составит:

LтАЩ=√(1-(υ/c)2)*L,

где LтАЩ-расстояние между концами при движении, υ-скорость движения, с-скорость света в вакууме. Выразим из предыдущего уравнения скорость движения:

LтАЩ/L=√(1-(υ/c)2)

(LтАЩ/L)2=1-(υ/c)2

1-(LтАЩ/L)2=(υ/c)2

√(1-(LтАЩ/L)2)= υ/c

υ=√(1-(LтАЩ/L)2)c

Теперь найдем скорость, подставив соответствующие значения из условия и константы:

υ=√ (1-(0,9)2)*300*106

υ=130*106 м/с

Ответ: скорость движения стержня равна 130*106 м/с.

3. Чем отличается общая теория относительности от специальной?

Специальная теория относительности (СТО) (частная теория относительности; релятивистская механика) тАФ теория, описывающая движение, законы механики и пространственно-временные отношения при скоростях движения, близких к скорости света. В рамках специальной теории относительности классическая механика Ньютона является приближением низких скоростей. Обобщение СТО для гравитационных полей называется общей теорией относительности.

Общая теория относительности - геометрическая теория тяготения, развивающая специальную теорию относительности (СТО), опубликованная Альбертом Эйнштейном в 1915тАФ1916 годах. В рамках общей теории относительности, как и в других метрических теориях, постулируется, что гравитационные эффекты обусловлены не силовым взаимодействием тел и полей, находящихся в пространстве-времени, а деформацией самого пространства-времени, которая связана, в частности, с присутствием массы-энергии. Общая теория относительности отличается от других метрических теорий тяготения использованием уравнений Эйнштейна для связи кривизны пространства-времени с присутствующей в нём материей.

Приведите экспериментальные подтверждения верности теории Эйнштейна.

Доказательства ОТО

Эффекты, связанные с ускорением систем отсчёта

Первый из этих эффектов тАФ гравитационное замедление времени, из-за которого любые часы будут идти тем медленнее, чем глубже в гравитационной яме (ближе к гравитирующему телу) они находятся. Данный эффект был непосредственно подтверждён в эксперименте Хафеле тАФ Китинга, а также в эксперименте Gravity Probe A и постоянно подтверждается в GPS.

Непосредственно связанный с этим эффект тАФ гравитационное красное смещение света. Под этим эффектом понимают уменьшение частоты света относительно локальных часов (соответственно, смещение линий спектра к красному концу спектра относительно локальных масштабов) при распространении света из гравитационной ямы наружу (из области с меньшим гравитационным потенциалом в область с большим потенциалом)/

Гравитационное замедление времени влечёт за собой ещё один эффект, названный эффектом Шапиро (также известный как гравитационная задержка сигнала). Из-за этого эффекта в поле тяготения электромагнитные сигналы идут дольше, чем в отсутствие этого поля. Данное явление было обнаружено при радиолокации планет солнечной системы и космических кораблей, проходящих позади Солнца, а также при наблюдении сигналов от двойных пульсаров.

Самая известная ранняя проверка ОТО стала возможна благодаря полному солнечному затмению 1919 года. Артур Эддингтон показал, что свет от звезды искривлялся вблизи Солнца в точном соответствии с предсказаниями ОТО.

Искривление пути света происходит в любой ускоренной системе отсчёта. Детальный вид наблюдаемой траектории и гравитационные эффекты линзирования зависят, тем не менее, от кривизны пространства-времени. Эйнштейн узнал об этом эффекте в 1911 году, и когда он эвристическим путём вычислил величину кривизны траекторий, она оказалась такой же, какая предсказывалась классической механикой для частиц, движущихся со скоростью света. В 1916 году Эйнштейн обнаружил, что на самом деле в ОТО угловой сдвиг направления распространения света в два раза больше, чем в ньютоновской теории, в отличие от предыдущего рассмотрения. Таким образом, это предсказание стало ещё одним способом проверки ОТО.

С 1919 года данное явление было подтверждено астрономическими наблюдениями звёзд в процессе затмений Солнца, а также с высокой точностью проверено радиоинтерферометрическими наблюдениями квазаров, проходящих вблизи Солнца во время его пути по эклиптике.

Наконец, у любой звезды может увеличиваться яркость, когда перед ней проходит компактный массивный объект. В этом случае увеличенные и искажённые из-за гравитационного отклонения света изображения дальней звезды не могут быть разрешены (они находятся слишком близко друг к другу) и наблюдается просто повышение яркости звезды. Этот эффект называют микролинзированием, и он наблюдается теперь регулярно в рамках проектов, изучающих невидимые тела нашей Галактики по гравитационному микролинзированию света от звёзд тАФ МАСНО, EROS (англ.) и другие.

Орбитальные эффекты.

ОТО корректирует предсказания ньютоновской теории небесной механики относительно динамики гравитационно связанных систем: Солнечная система, двойные звёзды и т. д.

Первый эффект ОТО заключался в том, что перигелии всех планетных орбит будут прецессировать, поскольку гравитационный потенциал Ньютона будет иметь малую релятивистскую добавку, приводящую к формированию незамкнутых орбит. Это предсказание было первым подтверждением ОТО, поскольку величина прецессии, выведенная Эйнштейном в 1916 году, полностью совпала с аномальной прецессией перигелия Меркурия. Таким образом была решена известная в то время проблема небесной механики.

Позже релятивистская прецессия перигелия наблюдалась также у Венеры, Земли, астероида Икар и как более сильный эффект в системах двойных пульсаров. За открытие и исследования первого двойного пульсара PSR B1913+16 в 1974 году Р. Халс и Д. Тейлор получили Нобелевскую премию в 1993 году.

Доказательство СТО.

Специальная теория относительности лежит в основе всей современной физики. Поэтому, какого-либо отдельного эксперимента, ВлдоказывающегоВ» СТО нет. Вся совокупность экспериментальных данных в физике высоких энергий, ядерной физике, спектроскопии, астрофизике, электродинамике и других областях физики согласуется с теорией относительности в пределах точности эксперимента. Например, в квантовой электродинамике (объединение СТО, квантовой теории и уравнений Максвелла) значение аномального магнитного момента электрона совпадает с теоретическим предсказанием с относительной точностью 10 − 9.

Фактически СТО является инженерной наукой. Её формулы используются при расчёте ускорителей элементарных частиц. Обработка огромных массивов данных по столкновению частиц, двигающихся с релятивистскими скоростями в электромагнитных полях, основана на законах релятивистской динамики, отклонения от которых обнаружено не было. Поправки, следующие из СТО и ОТО, используются в системах спутниковой навигации (GPS). СТО лежит в основе ядерной энергетики, и т. д.


4. В чем сущность второго начала термодинамики?

Второе начало термодинамики тАФ физический принцип, накладывающий ограничение на направление процессов передачи тепла между телами.

Второе начало термодинамики гласит, что невозможен самопроизвольный переход тепла от тела, менее нагретого, к телу, более нагретому.

Второе начало термодинамики запрещает так называемые вечные двигатели второго рода, показывая невозможность перехода всей внутренней энергии системы в полезную работу.

Второе начало термодинамики является постулатом, не доказываемым в рамках термодинамики. Оно было создано на основе обобщения опытных фактов и получило многочисленные экспериментальные подтверждения.

Приведите не менее трех его формулировок.

Постулат Клаузиуса: ВлНевозможен процесс, единственным результатом которого являлась бы передача тепла от более холодного тела к более горячемуВ» (такой процесс называется процессом Клаузиуса).

Постулат Томсона: ВлНевозможен круговой процесс, единственным результатом которого было бы производство работы за счет охлаждения теплового резервуараВ» (такой процесс называется процессом Томсона).

ВлЭнтропия изолированной системы не может уменьшатьсяВ» (закон неубывания энтропии).

Приведите значения к.п.д. для типичных тепловых станций.

К.п.д. паротурбинной установки очень низок и может колебаться от 3 до 39 %

К.п.д. тепловые электростанции с парогазотурбинной установкой (ПГЭС) достигает 41-44%.

У газотурбинной электростанции КПД самой газотурбинной установки составляет порядка 51%, а при утилизации уходящих газов, общий КПД достигает уже 93%.

Если пар поступает на турбину при температуре +1770С, а окружающий воздух имеет температуру +150С, определите максимально возможный к.п.д. этой паровой турбины.

Для расчета к.п.д. воспользуемся формулой:

ηи = (T1 − T2)/T1,

где Т1,Т2-температура поступающего газа и окружающей среды.

Подставив температуру из условий (в 0 кельвина) получим:

ηи =(450-288)450=0.36

Ответ: максимально возможный к.п.д. равен 36 %

5. Назовите макроскопические и микроскопические свойства энтропии

В 1877 году Людвиг Больцман нашёл, что энтропия системы может относиться к количеству возможных ВлмикросостоянийВ» (микроскопических состояний), согласующихся с их термодинамическими свойствами. Рассмотрим, например, идеальный газ в сосуде. Микросостояние определено как позиции и импульсы (моменты движения) каждого составляющего систему атома. Связность предъявляет к нам требования рассматривать только те микросостояния, для которых: (I) месторасположения всех частей расположены в рамках сосуда, (II) для получения общей энергии газа кинетические энергии атомов суммируются.

Существует мнение, что мы можем смотреть на энтропию и как на меру беспорядка в системе. В определённом смысле это может быть оправдано, потому что мы думаем об ВлупорядоченныхВ» системах как о системах, имеющих очень малую возможность конфигурирования, а о ВлбеспорядочныхВ» системах как об имеющих очень много возможных состояний. Собственно, это просто переформулированное определение энтропии как числа микросостояний на данное макросостояние.

6. Развитие представлений о строении атомов

1. Кусочки материи. Демокрит полагал, что свойства того или иного вещества определяются формой, массой, и пр. характеристиками образующих его атомов. Так, скажем, у огня атомы остры, поэтому огонь способен обжигать, у твёрдых тел они шероховаты, поэтому накрепко сцепляются друг с другом, у воды тАФ гладки, поэтому она способна течь. Даже душа человека, согласно Демокриту, состоит из атомов.

2. Корпускулярно-кинетическая теория тепла. М. В. Ломоносов утверждает, что все вещества состоят из ВлкорпускулВ» тАФ ВлмолекулВ», которые являются ВлсобраниямиВ» ВлэлементовВ» тАФ ВлатомовВ»: ВлЭлемент есть часть тела, не состоящая из каких-либо других меньших и отличающихся от него телтАж Корпускула есть собрание элементов, образующее одну малую массуВ». ВлЭлементуВ» он придаёт современное ему значение тАФ в смысле предела делимости тел тАФ последней составной их части. Учёный указывает на шарообразную его форму. Именно М. В. Ломоносову принадлежит мысль о Влвнутреннем вращательном (тАЮколовратномтАЬ) движении частицВ» тАФ скорость вращения сказывается повышением температуры. При всех издержках такой модели, важно придание учёным понятию движения более глубокой физической значимости.

3. Модель атома Томсона (модель ВлПудинг с изюмомВ», англ. Plum pudding model). Дж. Дж. Томсон предложил рассматривать атом как некоторое положительно заряженное тело с заключёнными внутри него электронами. Эта модель не объясняла дискретный характер излучения атома и его устойчивость. Была окончательно опровергнута Резерфордом после проведённого им знаменитого опыта по рассеиванию альфа-частиц.

4. Ранняя планетарная модель атома Нагаоки. В 1904 году японский физик Хантаро Нагаока предложил модель атома, построенную по аналогии с планетой Сатурн. В этой модели вокруг маленького положительного ядра по орбитам вращались электроны, объединённые в кольца. Модель оказалось ошибочной, но некоторые важные её положения вошли в модель Резерфорда.

5. Планетарная модель атома Бора-Резерфорда. В 1911 году [11] Эрнест Резерфорд, проделав ряд экспериментов, пришёл к выводу, что атом представляет собой подобие планетной системы, в которой электроны движутся по орбитам вокруг расположенного в центре атома тяжёлого положительно заряженного ядра (Влмодель атома РезерфордаВ»). Однако такое описание атома вошло в противоречие с классической электродинамикой. Дело в том, что, согласно классической электродинамике, электрон при движении с центростремительным ускорением должен излучать электромагнитные волны, а, следовательно, терять энергию. Расчёты показывали, что время, за которое электрон в таком атоме упадёт на ядро, совершенно ничтожно. Для объяснения стабильности атомов Нильсу Бору пришлось ввести постулаты, которые сводились к тому, что электрон в атоме, находясь в некоторых специальных энергетических состояниях, не излучает энергию (Влмодель атома Бора-РезерфордаВ»). Постулаты Бора показали, что для описания атома классическая механика неприменима. Дальнейшее изучение излучения атома привело к созданию квантовой механики, которая позволила объяснить подавляющее большинство наблюдаемых фактов.

6. Квантово-механическая модель атома.Современная модель атома является развитием планетарной модели. Согласно этой модели, ядро атома состоит из положительно заряженных протонов и не имеющих заряда нейтронов и окружено отрицательно заряженными электронами. Однако представления квантовой механики не позволяют считать, что электроны движутся вокруг ядра по сколько-нибудь определённым траекториям (неопределённость координаты электрона в атоме может быть сравнима с размерами самого атома).Химические свойства атомов определяются конфигурацией электронной оболочки и описываются квантовой механикой. Положение атома в таблице Менделеева определяется электрическим зарядом его ядра (то есть количеством протонов), в то время как количество нейтронов принципиально не влияет на химические свойства; при этом нейтронов в ядре, как правило, больше, чем протонов (см.: атомное ядро). Если атом находится в нейтральном состоянии, то количество электронов в нём равно количеству протонов. Основная масса атома сосредоточена в ядре, а массовая доля электронов в общей массе атома незначительна (несколько сотых процента массы ядра).

Сравните строение атома и Солнечной системы. В какой степени атом похож на солнечную систему?

Строение атома чем то похоже на строение Солнечной системы: как и в Солнечной системе большая часть массы всего ядра сосредоточена в центре, электроны находятся подобна планетам на своих ВлорбитахВ» энергетических уровнях, у электронов и ядра есть собственный момент вращения (спин) планеты и Солнце тоже вращается вокруг своей оси. Расположение с каждым новым энергетическим уровнем электроны всё дальше от массивного ядра. Но это только в первом, грубом, приближении строение атома очень похоже на строение Солнечной системы даже одна из теорий строения атома была выдвинута опираясь на её структуру.

Дайте понятие об энергетических уровнях и переходах в модели Бора и в современной науке.

Электронные орбиты в модели Бора обозначаются целыми числами 1, 2, 3, тАж n, начиная от ближайшей к ядру, именуемые электронными уровнями. Уровни, в свою очередь, могут состоять из близких по энергии подуровней. Например, 2-й уровень состоит из двух подуровней (2s и 2p). Третий уровень состоит из 3-х подуровней (3s, 3p и 3d). Четвертый уровень состоит из подуровней 4s, 4p,4d, 4f.

В электронной оболочке любого атома ровно столько электронов, сколько протонов в его ядре, поэтому атом в целом электронейтрален. Электроны в атоме заселяют ближайшие к ядру уровни и подуровни, потому что в этом случае их энергия меньше, чем если бы они заселяли более удаленные уровни. На каждом уровне и подуровне может помещаться только определенное количество электронов.

Подуровни, в свою очередь, состоят из одинаковых по энергии орбиталей. Каждая орбиталь - это как бы "квартира" для электронов в "доме"-подуровне. Например, любой s-подуровень - это "дом" из одной "квартиры" (s-орбиталь), p-подуровень - "трехквартирный дом" (три p-орбитали), d-подуровень - "дом" из 5 "квартир"-орбиталей, а f-подуровень - "дом" из 7 одинаковых по энергии орбиталей. В каждой "квартире"-орбитали могут "жить" не больше двух электронов. Запрещение электронам "селиться" более чем по-двое на одной орбитали называют запретом Паули - по имени ученого, который выяснил эту важную особенность строения атома. "Адрес" каждого электрона в атоме записывается набором квантовых чисел. Здесь мы упомянем лишь о главном квантовом числе n, которое в "адресе" электрона указывает номер уровня, на котором этот электрон существует.

В 20-е годы прошлого века на смену модели Бора пришла волновая модель электронной оболочки атома, которую предложил австрийский физик Э. Шредингер. К этому времени было экспериментально установлено, что электрон имеет свойства не только частицы, но и волны. Шредингер применил к электрону-волне математические уравнения, описывающие движение волны в трехмерном пространстве. Однако с помощью этих уравнений рассчитывается не траектория движения электрона внутри атома, а вероятность найти электрон-волну в той или иной точке пространства вокруг ядра.

Общее у волновой модели Шредингера и планетарной модели Бора в том, что электроны в атоме существуют на определенных уровнях, подуровнях и орбиталях. В остальном эти модели не похожи друг на друга. В волновой модели орбиталь - это пространство около ядра, в котором можно обнаружить заселивший ее электрон с вероятностью 95%. За пределами этого пространства вероятность встретить такой электрон меньше 5%.

В волновой модели тоже существуют орбитали разных видов: s-орбитали (сферической формы), p-орбитали (похожие на веретено или на объемные восьмерки), а также d-орбитали и f-орбитали еще более сложной формы. Все эти фигуры очерчивают область 95%-ной вероятности найти s-, p-, d- или f-электроны именно в том месте электронного облака, которое ограничено этими сложными фигурами. Области вероятности нахождения s, p, d, f-электронов в атоме могут пересекаться. Впрочем, к необычным свойствам волновой модели следует относиться спокойно, поскольку она является не столько физической, сколько абстрактной математической моделью электронной оболочки.

Во всех моделях атома электроны называют s-, p-, d- и f-электронами в зависимости от подуровня, на котором они находятся. Элементы, у которых внешние (то есть наиболее удаленные от ядра) электроны занимают только s-подуровень, принято называть s-элементами. Точно так же существуют p-элементы, d-элементы и f-элементы.

Пусть кинетическая энергия невозбужденного электрона в атоме водорода ~10 эВ. Найдите импульс электрона, длину волны де Бройля и сравните ее с размерами диаметра орбиты электрона (~10-10 м), рассчитанной на основе постулатов Бора. С точки зрения волнового движения можно ли говорить о движении его по определенной орбите?

В условии задачи допущена ошибка так как энергия электрона не может быть ниже массы покоя электрона.

относительность термодинамика кинетика излучение биотический

7. Характеризуйте методы химической кинетики. Какими факторами можно изменить скорость химических реакций?

К методам химической кинетики относят изменение температуры, изменение концентрации реагирующих веществ, катализ.

Скорость химической реакции можно увеличить путем выбора химически активных реагентов, повысив концентрации реагентов, увеличив поверхность твердых и жидких реагентов, повысив температуру, введением катализатора.

Так же скорость химической реакции можно уменьшить путем выбора химически неактивных реагентов, понижением концентрации реагентов, уменьшением поверхности твердых и жидких реагентов, понижением температуры, введением ингибиторов.

8. Понятие равновесия в механике и статистической термодинамике. Как ведут себя макросистемы вдали от равновесия?

В механике считается, что система находится в равновесии, если все действующие на нее силы полностью уравновешены между собой, то есть гасят друг друга.

Термодинамическое равновесие - состояние системы, при котором остаются неизменными по времени макроскопические величины этой системы. Макросистема

Положению равновесия с молекулярно-кинетической точки зрения отвечает состояние максимального хаоса в изолированной системе. По законам термодинамики такая система вернется в положение равновесия; при удалении от него ее состояние становится все более неустойчивым, и даже малые изменения какого-либо параметра могут перевести систему в новое состояние.

Поясните принцип локального равновесия.

Понятие локального равновесия вводят при медленном изменении внешнего воздействия и для времени, большего характерного времени элементарного релаксационного процесса, формирующего равновесие. Эти условия тАФ из статистического рассмотрения процессов. Принцип локального равновесия ограничивает число систем, доступных термодинамическому рассмотрению. Есть также взаимное влияние друг на друга одновременно происходящих необратимых процессов. Принцип локального равновесия и теорема о минимуме производства энтропии в равновесных состояниях были положены в основу термодинамики необратимых процессов.

Используя принцип Ле Шаталье тАУ Брауна ответьте, в какую сторону измениться равновесие в системе H2 + I2 Вл 2HI, при уменьшении концентрации йодоводорода?

Принцип Ле Шателье тАФ Брауна тАФ если на систему, находящуюся в равновесии, воздействовать извне, изменяя какое-нибудь из условий (температура, давление, концентрация), то равновесие смещается таким образом, чтобы компенсировать изменение. При уменьшении концентрации йодоводорода равновесие сместится в сторону образования продуктов (йодоводорода).

9. Дайте общую характеристику жидкого состояния

Жидкость тАФ одно из агрегатных состояний вещества. Основным свойством жидкости, отличающим её от других агрегатных состояний, является способность неограниченно менять форму под действием касательных механических напряжений, даже сколь угодно малых, практически сохраняя при этом объём.

Жидкое состояние обычно считают промежуточным между твёрдым телом и газом: газ не сохраняет ни объём, ни форму, а твёрдое тело сохраняет и то, и другое.

Форма жидких тел может полностью или отчасти определяться тем, что их поверхность ведёт себя как упругая мембрана. Так, вода может собираться в капли. Но жидкость способна течь даже под своей неподвижной поверхностью, и это тоже означает несохранение формы (внутренних частей жидкого тела).

Молекулы жидкости не имеют определённого положения, но в то же время им недоступна полная свобода перемещений. Между ними существует притяжение, достаточно сильное, чтобы удержать их на близком расстоянии.

Вещество в жидком состоянии существует в определённом интервале температур, ниже которого переходит в твердое состояние (происходит кристаллизация либо превращение в твердотельное аморфное состояние тАФ стекло), выше тАФ в газообразное (происходит испарение). Границы этого интервала зависят от давления.

Определите картину процессов при явлениях капиллярности, смачивании, вязкости, поверхностном натяжении.

Капиллярность, капиллярный эффект тАФ физическое явление, заключающееся в способности жидкостей изменять уровень в трубках, узких каналах произвольной формы, пористых телах. Поднятие жидкости происходит в случаях смачивания каналов жидкостями, например воды в стеклянных трубках, песке, грунте и т. п. Понижение жидкости происходит в трубках и каналах, не смачиваемых жидкостью, например ртуть в стеклянной трубке. На основе капиллярности основана жизнедеятельность животных и растений, химические технологии, бытовые явления (например, подъём керосина по фитилю в керосиновой лампе, вытирание рук полотенцем).

Смачивание тАФ это поверхностное явление, заключающееся во взаимодействии жидкости с поверхностью твёрдого тела или другой жидкости. Смачивание бывает двух видов:

Иммерсионное (вся поверхность твёрдого тела контактирует с жидкостью)

Контактное (состоит из трёх фаз тАФ твердая, жидкая, газообразная)

Смачивание зависит от соотношения между силами сцепления молекул жидкости с молекулами (или атомами) смачиваемого тела (адгезия) и силами взаимного сцепления молекул жидкости (когезия).

Вязкость (внутреннее трение) тАФ одно из явлений переноса, свойство текучих тел (жидкостей и газов) оказывать сопротивление перемещению одной их части относительно другой. Механизм внутреннего трения в жидкостях и газах заключается в том, что хаотически движущиеся молекулы переносят импульс из одного слоя в другой, что приводит к выравниванию скоростей тАФ это описывается введением силы трения. Вязкость твёрдых тел обладает рядом специфических особенностей и рассматривается обычно отдельно.Различают динамическую вязкость (единицы измерения: пуаз, 0,1ПаВ·с) и кинематическую вязкость (единицы измерения: стокс, м²/с, внесистемная единица тАФ градус Энглера). Кинематическая вязкость может быть получена как отношение динамической вязкости к плотности вещества и своим происхождением обязана классическим методам измерения вязкости, таким как измерение времени вытекания заданного объёма через калиброванное отверстие под действием силы тяжести.

Поверхностное натяжение тАФ термодинамическая характеристика поверхности раздела двух находящихся в равновесии фаз, определяемая работой обратимого изотермокинетического образования единицы площади этой поверхности раздела при условии, что температура, объем системы и химические потенциалы всех компонентов в обеих фазах остаются постоянными.Поверхностное натяжение имеет двойной физический смысл тАФ энергетический (термодинамический) и силовой (механический). Энергетическое (термодинамическое) определение: поверхностное натяжение тАФ это удельная работа увеличения поверхности при её растяжении при условии постоянства температуры. Силовое (механическое) определение: поверхностное натяжение тАФ это сила, действующая на единицу длины линии, которая ограничивает поверхность жидкости.

Как объясняют большую теплоемкость воды, большое поверхностное натяжение и свойство капиллярности?

Все эти особенности связаны с наличием водородных связей. Из-за большой разности электроотрицательностей атомов водорода и кислорода электронные облака сильно смещены в сторону кислорода. По причине этого, а также того, что ион водорода (протон) не имеет внутренних электронных слоев и обладает малыми размерами, он может проникать в электронную оболочку отрицательно поляризованного атома соседней молекулы. Благодаря этому, каждый атом кислорода притягивается к атомам водорода других молекул и наоборот. Определенную роль играет протонное обменное взаимодействие между молекулами и внутри молекул воды. Каждая молекула воды может участвовать максимум в четырёх водородных связях: 2 атома водорода тАФ каждый в одной, а атом кислорода тАФ в двух; в таком состоянии молекулы находятся в кристалле льда. При таянии льда часть связей рвётся, что позволяет уложить молекулы воды плотнее; при нагревании воды связи продолжают рваться, и плотность её растёт, но при температуре выше 4 В°С этот эффект становится слабее, чем тепловое расширение. При испарении рвутся все оставшиеся связи. Разрыв связей требует много энергии, отсюда высокая температура и удельная теплота плавления и кипения и высокая теплоёмкость. Вязкость воды обусловлена тем, что водородные связи мешают молекулам воды двигаться с разными скоростями.

Какое значение имеют эти особенности воды в живой природе?

Высокая удельная теплоемкость.

В сочетании с высокой теплопроводностью это делает водную среду достаточно комфортной для обитания живых организмов. Благодаря высокой теплоемкости и теплопроводности водная среда, в отличие от воздушной, менее подвержена перепадам температур (как суточным, так и сезонным), что облегчает адаптацию животных и растений к этому абиотическому фактору.

Большое поверхностное натяжение и когезия.

Благодаря поверхностному натяжению жидкость стремится принять такую форму, чтобы площадь ее поверхности была минимальной (в идеале - форму шара). Из всех жидкостей самое большое поверхностное натяжение у воды. Значительная когезия играет важную роль в живых клетках, а также при движении воды по сосудам в растениях. Многие мелкие организмы извлекают для себя пользу из поверхностного натяжения: такие организмы образуют экологическую группу нейстон, которая делится на эпинейстон (те, кто передвигаются по поверхности пленки, как водомерка), и гипонейстон -организмов, прикрепляющихся к поверхностной пленке в воде (личинки некоторых мух и комаров).

Капиллярные явления играют существенную роль в водоснабжении растений, передвижении влаги в почвах и других пористых средах. Капиллярная пропитка различных материалов широко применяется в различных технологических процессах. Не меньшую роль капиллярные явления играют и при образовании новой фазы: капель жидкости при конденсации паров и пузырьков пара при кипении и кавитации.

Капиллярные явления играют большую роль в природе и технике. Подъем питательного раствора по стеблю или стволу растения в значительной мере обусловлен явлением капиллярности: раствор поднимается по тонким капиллярным трубкам, образованным стенками растительных клеток. По капиллярам почвы поднимается вода из глубинных в поверхностные слои почвы. Наоборот, разрыхляя поверхность почвы и создавая тем самым прерывистость в системе почвенных капилляров, можно задержать приток воды к зоне испарения и замедлить высушивание почвы.

Капиллярные явления играют существенную роль в водоснабжении растений и перемещении влаги в почве. В сухую погоду почва ссыхается, и в ней образуются трещины - капилляры. По ним вода поднимается из-под земли вверх и испаряется. Поверхность земли из-за этого высыхает еще больше. Для сохранения влаги внутри земли верхний слой почвы разрыхляют. При этом капилляры разрушаются и вода остается в почве.

10. Поясните понятие равновесного излучения, модели абсолютного черного и абсолютно белого тела

Равновесное излучение (излучение абсолютно черного тела), электромагнитное излучение, находящееся в термодинамическом равновесии с веществом, испускающим и поглощающим это излучение. Равновесное излучение не зависит от природы излучающего вещества и полностью определяется температурой излучающего тела. Закон распределения энергии в спектре равновесного излучения выведен М. Планком в 1900.

Абсолютно чёрное тело тАФ физическая идеализация, применяемая в термодинамике, тело, поглощающее всё падающее на него электромагнитное излучение во всех диапазонах и ничего не отражающее. Несмотря на название, абсолютно чёрное тело само может испускать электромагнитное излучение любой частоты и визуально иметь цвет. Спектр излучения абсолютно чёрного тела определяется только его температурой.

Важность абсолютно чёрного тела в вопросе о спектре теплового излучения любых (серых и цветных) тел вообще, кроме того, что оно представляет собой наиболее простой нетривиальный случай, состоит ещё и в том, что вопрос о спектре равновесного теплового излучения тел любого цвета и коэффициента отражения сводится методами классической термодинамики к вопросу об излучении абсолютно чёрного (и исторически это было уже сделано к концу XIX века, когда проблема излучения абсолютно чёрного тела вышла на первый план). Термин был введён Густавом Кирхгофом в 1862 году.

Абсолютно белое тело-антипод абсолютно черно тела, также является идеализацией, абсолютно белое тело не способно ни излучать, ни поглощать.

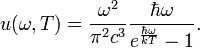
В чем смысл гипотезы Планка о дискретном характере испускания света и ее значение? Насколько были решены при этом противоречия в теории теплового излучения?

Гипотеза Планка тАФ гипотеза, выдвинутая 14 декабря 1900 года Максом Планком и заключающаяся в том, что при тепловом излучении энергия испускается и поглощается не непрерывно, а отдельными квантами (порциями). Каждая такая порция-квант имеет энергию ε, пропорциональной частоте ν излучения:

ε=hν,

где h тАФ коэффициент пропорциональности, названный впоследствии постоянной Планка. На основе этой гипотезы он предложил теоретический вывод соотношения между температурой тела и испускаемым этим телом излучением тАФ формулу Планка:

Позднее гипотеза Планка была подтверждена экспериментально.

Выдвижение этой гипотезы считается моментом рождения квантовой механики.

Определите температуру звезды Ригеля (b Ориона), в спектре которой максимум энергии приходится на длину волны 1930*10-10 м.

Для решения задачи применим закон смещения Вина:

λмакс.=0,0028999/Т,

где λмакс- длина волны с максимальной интенсивностью в метрах, T тАФ температура в кельвинах. Выразим из этого уравнения температуру:

Т=0,0028999/ λмакс.

Подставим значения из задачи получим:

Т=0,002899/1930*10-10

Т=15025,39 0К

Вместе с этим смотрят:


Бiологiчне рiзноманiття людських рас


Биологические ритмы человека


Биоморфологические особенности эфиромасличных растений Крыма и перспективы их использования


Биосфера и предельные возможности Земли


Биосфера как система взаимодействия живого и неживого