Унификация вооружения и военной техники
Напомню, что стандартизация ВиСРХБЗ - это проводимые в войсках РХБ защиты работы по стандартизации узлов, комплектующих элементов и материалов, применяемых в образцах ВиСРХБЗ, а также работы по установлению ОТТ, норм и правил, касающихся вопросов разработки, производства и эксплуатации этих образцов.
Основными целями стандартизации ВиС РХБЗ являются:
повышения уровня безопасности жизни или здоровья военнослужащих, имущества физических или юридических лиц, государственного и военного имущества, экологической безопасности, безопасности жизни или здоровья животных и растений;
повышения уровня безопасности военных объектов с учетом риска возникновения чрезвычайных ситуаций природного и техногенного характера;
обеспечения научно-технического прогресса в войсках РХБ защиты;
повышения конкурентоспособности ВиС РХБЗ;
рационального использования ресурсов; технической и информационной совместимости в войсках РХБ защиты;
сопоставимости результатов исследований (испытаний) и измерений, технических и экономико-статистических данных в войсках РХБ защиты;
взаимозаменяемости ВиС РХБЗ.
Существует несколько методовстандартизации: типизация, агрегатирование, симплификация, систематизация и унификация.
Типизация - разработка конструктивных типовых или технологических решений, в которых отобраны и закреплены в нормативном документе общие для ряда изделий или процессов характеристики. Типизация резко сокращает затраты времени на проектирование и разработку технологических процессов и изделий;
Агрегатирование - метод проектирования машин и оборудования, основанный на рациональном членении машин на агрегаты, каждый из которых выполняет определенную функцию и представляет собой законченное, и может быть использован при создании различных модификаций машин, оборудования одного и того же класса, или других классов (блочно-модульное проектирование).
Симплификация - рациональное ограничение числа используемых материалов, марок, типов в каком-либо изделии или в пределах предприятия отрасли. Ограничительные списки существуют и при производстве оборонной продукции.
Систематизация - метод стандартизации, заключающийся в научно обоснованном классифицировании и ранжировании совокупности конкретных объектов стандартизации.
Рассмотрим подробнее один из методов стандартизации тАУ унификацию и переходим к рассмотрению следующего учебного вопроса.
В 1851 году принц Альберт, супруг королевы Виктории, организовал в Лондоне "Великую выставку" которая должна была продемонстрировать всему миру технические достижения Британской империи. Миллионы посетителей бродили по фантастическому хрустальному дворцу, который был воздвигнут в Гайд-парке специально для этого мероприятия. В американском отделе толпы зевак окружали шумного, темпераментного джентльмена, который расхваливал революционную новинку - пистолет, из которого можно было выстрелить не один и не два раза подряд, а целых шесть! Но публику гораздо больше поражало не это. В те времена, когда любое изделие точной механики производилось вручную, а все детали подгонялись индивидуально, сборка работоспособного пистолета прямо на глазах публики из деталей, наугад вынимаемых из нескольких стоящих на столе коробок (детали в каждой были абсолютно взаимозаменяемы благодаря очень точной обработке на металлорежущих станках), выглядела настоящим чудом. Имя развлекавшего публику американца сейчас известно практически каждому. Это был Сэмюэл Кольт.
1. Цели и виды унификации ВВТ
Под унификацией ВВТ понимается приведение образцов (комплексов) ВТ, их составных частей (i) и комплектующих изделий (КИ) к единообразию на основе установления рационального числа их разновидностей.
Цели унификации:
- уменьшение многообразия имеющихся видов, типов и типоразмеров ВВТ одинакового функционального назначения путем изменения в необходимых случаях конструкций или конструктивных элементов, основных и второстепенных размеров и т.д.;
- изменение конструкций и исполнительных размеров, марок материала, технической и термохимической обработки, точности изготовления аналогичных деталей, применяемых на разных заводах с целью внедрения автоматических линий, допускающих экономически выгодную переналадку при данных размерах серийного выпуска деталей;
- создание комплексов взаимозаменяемых агрегатов, узлов и деталей, предназначенных для сборки значительно большей номенклатуры ВВТ (по сравнению с существующими неунифицированными аналогичными изделиями) путем добавления некоторого количества специальных (оригинальных) узлов и деталей;
- пересмотр видов, типов и типоразмеров, изготовляемых или приобретаемых для комплектации ВВТ для замены морально устаревших или недостаточно качественных более современными, надежными и долговечными изделиями.
Выше нами употреблялись такие понятия, как: изделие, образец ВТ, комплекс ВТ, унифицированное изделие, стандартное изделие, агрегат. Дадим определение этим понятиям.
Изделие - единица промышленной продукции количество которой может исчисляться в штуках или экземплярах.
Образец ВТ - изделие, разрабатываемое по ТТЗ МО и самостоятельно выполняющее задачи, свойственные данному виду ВТ.
Комплекс ВТ - совокупность функционально-связанных образцов ВТ, инженерно-строительных сооружений и средств обеспечения, объединенных для самостоятельного выполнения определенной стратегической, оперативно-тактической или другой задачи.
Унифицированные изделия тАУ изделия, имеющие одинаковые составные части.
Стандартное изделие - изделие, выпускаемое по стандарту, полностью и однозначно определяющему его конструкцию, показатели качества, методы контроля, правила приемки и поставки.
Агрегат - сборочная единица, обладающая полной взаимозаменяемостью, возможностью сбора отдельно от других составных частей, изделие или изделия в целом способные выполнять определенную функцию в изделии самостоятельно /двигатель/.
В зависимости от области распространения унификация ВТ подразделяется на: внутрипроектную, межпроектную, отраслевую, межотраслевую, унификацию на предприятии, внутривидовую и межвидовую.
Внутрипроектная унификация - проводится в пределах одного проекта; межпроектная - в пределах двух и более проектов.
Отраслевая унификация проводится в рамках одной отрасли; межотраслеваятАФ охватывает изделия одинакового или близкого назначения, изготовляемые (применяемые) двумя или более отраслями промышленности. Внутривидовая унификация - унификация образцов (комплексов), предназначенных для решения однотипных задач в определенном виде ВС РФ (роде войск); межвидовая - в нескольких видах ВС.
В процессе развития унификации все более четко определяются два основных ее направления: ограничительное и компоновочное. Ограничительное направление характеризуется проведением анализа номенклатуры выпускаемых изделий и ограничение ее до минимально необходимой номенклатуры типоразмеров изделий и их элементов. Компоновочное направление характеризуется проведением анализа потребности и выявлением номенклатуры изделий, необходимых народному хозяйству. Результатом этого анализа является создание новых рядов машин и их промежуточных типоразмеров на основе компоновки из определенного набора унифицированных узлов, агрегатов или блоков, но в пределах стандартных действующих или создаваемых типоразмерных рядов.
2. Основные направления унификации ВВТ
Унификация оборонной продукции (как система) осуществляется по двум взаимосвязанным путям:
- унификация образцов /комплексов/, способствующая установлению оптимальной системы вооружения для решения поставленных боевых задач с заданной эффективностью при минимально необходимой номенклатуре оружия и боевой техники;
- унификация составных частей, комплектующих элементов и материалов, которая обеспечивается за счет использования при проектировании образцов /комплексов/ ВТ стандартных и унифицированных изделий и материалов. Это направление позволяет сократить время проектирования, повысить надежность вновь создаваемого вооружения, достичь значительного экономического эффекта.
Применение в разрабатываемом образце освоенных в производстве и проверенных в эксплуатации стандартных и унифицированных составных частей, комплектующих элементов и материалов позволяет сократить время проектирования, повысить надежность вновь создаваемого образца и дает значительный экономический эффект. Примером тому служит семейство стрелкового автоматического оружия системы Калашникова образцы которого /автоматы, ручные и станковые пулеметы/ имеют большинство взаимозаменяемых узлов и деталей (уровень унификации достигает 90%).
Унификация, как один из методов стандартизации (подсистема), направлена на приведение образцов /комплексов/ ВТ и их составных частей к рациональному минимуму их разновидностей, осуществляется по следующим направлениям:
- создание образцов /комплексов/ для использования в нескольких видах ВС, родах войск;
- разработка параметрических рядов, т.е. упорядоченной совокупности числовых значений параметров;
- применение во вновь разрабатываемых и модернизируемых образцах составных частей освоенных в производстве и показавших высокую надежность в условиях войсковой эксплуатации;
- разработка унифицированных изделий, т.е. одинаковых составных частей двух и более изделий;
- разработка базовых образцов, т.е. образцов, лежащих в основе конструктивного ряда (типоразмерный ряд изделий одинаковой конструкции);
- создание универсальных образцов многоцелевого назначения:
- развитие агрегатирования и блочно-модульного конструирования;
- обеспечение условий совместимости разрабатываемого изделия с изделиями, эксплуатация и применение которых будут осуществляться совместно с разрабатываемыми;
- использование типовых технологических процессов, стандартного оборудования, средств и методов испытаний и измерений, а также существующих средств технического обслуживания и ремонта.
Поясним термин типоразмер.
Типоразмер - предмет производства (деталь, узел, машина, прибор), который имеет определенную конструкцию (присущую только данному предмету), конкретные параметры и размеры и записывается отдельной позицией в графу спецификации изделия.
Использование выше перечисленных направлений унификации позволяет сократить число видов и типов ВВТ, повысить экономическую эффективность в процессе разработки, производства и эксплуатации сократить сроки разработки и производства, повысить качество ВВТ.
Работа в области унификации образцов ВВТ характеризуется уровнем унификации, - насыщенность образца ВВТ унифицированными и стандартными составными частями. При этом уровень унификации должен быть оптимальным. Нельзя требовать от конструктора, чтобы все составные части образца были бы стандартными или унифицированными. Полная стандартизация означала бы отсутствие прогресса, ограничивала бы идеи конструктора по созданию более совершенных образцов. Не неразумно не использовать в разрабатываемом образце стандартных и унифицированных изделийи считать, что все составные части образца конструктор должен вновь разрабатывать. Да, использование оригинальных изделий (изделий разрабатываемых для образца) целесообразно ограничивать. Но соотношение унифицированных или стандартных изделий и оригинальных изделий должно быть оптимальным, когда достигается максимально возможная технико-экономическая эффективность для обеспечения заданных технических характеристик образца.
Уровень унификации образца должен задаваться конструктору в тактико-техническом задании на проведение ОКР и в последующем может уточняться. Требования по уровню унификации включают количественные и качественные требования.
3. Качественные требования и количественные показатели унификации ВВТ
Качественные требования по стандартизации и унификации должны включать:
-требования по обеспечению межпроектной унификации, где, указываются конкретные изделия, с которыми в первую очередь должно быть унифицировано разрабатываемое изделие, вплоть до указания составных частей.которые должны быть заимствованы или разработаны как унифицированные;
-требования по применению базовых конструкций и элементной базы, там, указываются изделия (составные части), которые должны быть приняты в качестве базовых. Указываются базовые конструкции и элементная база, на основе которых должны разрабатываться изделие и его составные части. Указывается на необходимость использования принципов агрегатирования и блочно-модульного конструирования при разработке изделия.
-требования по разработке изделия в качестве базового, в них, указываются требования к разрабатываемому изделию, выполнение которых должно обеспечить возможность его использования в качестве базового для создания на его основе модификаций;
-требования обеспечения условий совместимости, где, указываются существущие или разрабатываемые изделия, а также средства технического обслуживания и ремонта, совместно с которыми должно использоваться при эксплуатации данное изделие. При необходимости указываются требования по обеспечению конструктивно-технической и функциональной совместимости с ними разрабатываемого изделия;
- требования по применению ограничительных перечней, в них указываются наименования действующих ограничительных перечней, в соответствии с которыми должны применяться комплектующие изделия, материалы, контрольно-измерительная и поверочная аппаратура;
-требования по применению технологических процессов, оборудования, оснастки и инструмента, в которых указываются типовые технологические процессы, стандартное и унифицированное технологическое оборудование, оснастка и инструмент, которые необходимо использовать при изготовлении данного изделия;
-требования по использованию методов и средств испытаний и контроля -указывают стандартные и типовые методы и средства испытаний и контроля, которые необходимо использовать при разработке, изготовлении и испытаниях изделий;
-требования по использованию параметрических и типоразмерных рядов тАУ указывают номенклатуру составных частей изделия, которые должны разрабатываться или применяться в соответствии о установленными параметрическими и типоразмерными рядами;
-требования по разработке руководящих документов -устанавливают необходимость разработки для данного изделия руководящих указаний по конструированию и ограничительных перечней на комплектующие изделия и материалы.
При подсчете показателей стандартизации и унификации не учитываются следующие детали:
Крепежные детали (болты и винты всех видов, шпильки, заклепки, штифты, шплинты, нагели, штыри, шурупы, гвозди).
Пробки и заглушки.
Детали соединения трубопроводов и арматуры (муфты, ниппели, накидные гайки, переходные патрубки, трубки).
Гайки различных видов: установочные, подкладные и резьбовые кольца; (шайбы для металла и дерева всех видов).
Шпонки всех видов.
Крючки, подвески, ушки, рым-болты.
Электромонтажные детали (лепестки, наконечники, кабельные скобы), наконечники проводов, перемычки, лампочки.
Прокладки, накладки, планки, обечайки, приварыши, наклёпыши, пломбы.
Детали, выпускаемые без чертежей по ГОСТ 2.109-73 (п.1.1).
Детали тары и упаковки.
Кольца установочные, регулировочные, подкладные.
Правила контроля выполнения требований по стандартизации и унификации
Контроль выполнения требований по стандартизации и унификации осуществляется в целях:
-проверки соответствия значений показателей стандартизации и унификации значениям, заданным в ТТЗ (ТЗ);
- проверки выполнения качественных требований по стандартизации и унификации;
-проверки обоснованности применения оригинальных составных частей и выявления возможностей дальнейшего сокращения номенклатуры составных частей и материалов;
-проверки расчетов ожидаемой экономической эффективности от стандартизации и унификации.
Количественные требования к уровню унификации должны носить оптимальный характер исходя из условия обеспечения заданных тактико-технических требований при минимальных затратах на разработку, изготовление и - эксплуатацию изделий, и должны базироваться на результатах научно-исследовательских и экспериментальных работ, анализе состояния и перспектив достижений отечественной и зарубежной науки и техники, а также опыте разработки, производства и эксплуатации аналогичных изделий.
Эффективность работ по унификации характеризуется уровнем унификации.
Под уровнем унификации и стандартизации изделий понимают насыщенность их соответственно унифицированными и стандартными составными частями (деталями, узлами, механизмами), и наиболее часто для их расчета используются:
- коэффициент применяемости тАУ kпр;
- коэффициент повторяемости - kп;
- коэффициент межпроектной унификации - kму.
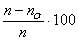
Коэффициент применяемости Кпр показывает уровень применяемости составных частей (типоразмеров), т.е. уровень использования во вновь разрабатываемых конструкциях деталей, узлов, механизмов, применявшихся ранее в предшествовавших аналогичных конструкциях. Рассчитывают по количеству типоразмеров, по составным частям изделия или в стоимостном выражении.
Коэффициент применяемости в различных отраслях промышленности в основном определяют с помощью дифференцированных показателей, характеризующих уровень (степень) унификации изделий (в %).
Коэффициент применяемости определяется по формуле
kпр=
Ва(%),
kпр=
Ва(в долях), (1)
где n - общее количество типоразмеров в образце;
nо - количество оригинальных типоразмеров.
Коэффициент применяемости может также рассчитываться по составным частям и их стоимости
kпр=
Ва(в долях), (1)
где N - общее количество составных частей в образце;
N о - количество оригинальных составных частей.
kпр=
Ва(%), (1а)
где C - стоимость всех составных частей в образце;
Со - стоимость оригинальных составных частей.
Как видно из формул (1 и 1а), коэффициент применяемости можно рассчитать, если известно n и nо или N и No. Чаще всего, это известно, когда приходится иметь дело с модернизацией уже существующего изделия. Хотя на конечной стадии разработки конструкторской документации для нового изделия тоже можно узнать эти величины и рассчитывать коэффициент применяемости по формулам (1 и 1a).
При разработке TТ3 на проведение OКP количество n и N может быть точно не известно. Тогда коэффициент применяемости может определяться:
1. При наличии статистических данных и прототипа в данной группе изделий;
2. При отсутствии статистических данных, но при наличии прототипа;
3. При отсутствии статистических данных и прототипа.
Определение коэффициента повторяемости - kп
Коэффициент повторяемости составных частей в общем числе составных частей данного изделия kп характеризует уровень унификации и взаимозаменяемость составных частей изделий определенного типа

где N - общее количество составных частей в изделии;
n - общее количество типоразмеров в изделии.
Среднюю повторяемость составных частей в изделии характеризует коэффициент повторяемости, который определяется как отношение общего количества составных частей в изделии (N) к общему количеству типоразмеров (n) в изделии
kп=N/n (в долях) (2а)
где N - общее количество составных частей в изделии;
n - общее количество типоразмеров в изделии.
Коэффициент повторяемости характеризует уровень внутрипроектной унификации изделия и взаимозаменяемость составных частей внутри данного изделия.
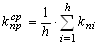
Численное значение kп определяется на основании статистических данных о средней повторяемости составных частей в группе ранее разработанных изделий функционального аналогичного назначения. Среднее значение kп определяется
, (3)
где h - общее количество изделий в группе;
kni - коэффициент повторяемости i-го изделия в группе.
Коэффициент повторяемости разрабатываемого изделия должен, как правило, удовлетворять условию:
.
Если известно количество составных частей (N) в изделии, то kn может быть определен на основании корреляционной зависимости Кп =f (N).
Но при этом необходимо иметь статистику (достаточно большуюгруппу ранее разработанных изделий).
Для построения указанной зависимости по каждому изделию выбранной группы определяется kn и общее число составных частей. Эти данные упорядочиваются по значению и аппроксимируются зависимостью вида
kn=1+dВ·Na. (4)
Значения коэффициентов d и a определяются по методу наименьших квадратов.
При отсутствии необходимого объёма статистических данных определение kn на разрабатываемое изделие может осуществляться приближённо на основе данных о величине kn и прототипа разрабатываемого изделия по формуле
, (5)
где kn - коэффициент повторяемости прототипа;
Nn - общее число составных частей в изделии-прототипе;
N' - ожидаемое количество составных частей разрабатываемого изделия.
Коэффициент межпроектной унификации -
Вахарактеризует уровень взаимной унификации группы изделий и представляет собой соотношение количества сокращённых за счет взаимной унификации типоразмеров (составных частей) для данной группы проектов (образцов) к максимальному сокращению количества типоразмеров (составных частей) этой группы проектов (образцов) и рассчитывается по формуле
, (6)
где Н - общее количество рассматриваемых проектов (изделий);
ni - количество типоразмеров (составных частей) в i -ом проекте (изделии);
Q - общее количество оригинальных типоразмеров (составных частей), применяемых в группе из Н проектов (изделии);
nmax - максимальное количество типоразмеров (составных частей) одного проекта (изделия).
Численные значения
определяются на основании анализа состояния взаимной унификации ранее разработанных изделий с учётом возможности и целесообразности дальнейшего повышения уровня межпроектной унификации за счет уменьшения разнотипности составные частей, совместно эксплуатируемых или изготовляемых изделий.
Расчёт
Варазрабатываемого изделия с выбранной группой изделий может осуществляться по упрощённой формуле
, (7)
где n' - ожидаемое общее число типоразмеров в разрабатываемом изделии на выбранном уровне конструктивной сложности;
nз' - количество типоразмеров (составных частей), которые могут быть заимствованы из выбранной группы изделий.
В зависимости от специфики изделий и наличия необходимых исходных данных для обоснований численных значений Кпр, Кп, Кму, кроме описанных методов могут использоваться другие методы, в том числе:
- методы прогнозирования на основе экстраполяции тенденций изменения показателей во времени;
- методы определения ожидаемых уровней стандартизации и унификации на основе решения задач оптимизации;
- вероятностные методы;
- методы экспертных оценок и т.д.
По каждому показателю количественных требований обязательно должно быть указано:
- численное значение показателя;
- уровень конструктивной сложности составные частей, на котором рассчитывается значение показателя (детали, сборочные единицы);
- размерность исходных данных (типоразмеры, штуки, стоимость, масса, трудоёмкость).
Обоснование количественных требований по стандартизации и унификации разрабатываемого изделия проводится на основе анализа статистических данных о показателях стандартизации и унификации ранее разработанных изделий и взаимосвязи с технико-экономическими и эксплуатационными характеристиками. При этом следует учитывать особенности разрабатываемого изделия (изменение ТТХ, конструкции, элементной базы и т.д.)
ЗАКЛЮЧЕНИЕ
На сегодняшнем занятии мы рассмотрели следующие учебные вопросы:
- цели и виды унификации ВВТ
- основные направления унификации ВВТ
- качественные требования и количественные показатели унификации ВВТ
На следующем практическом занятии мы будем учиться рассчитывать количественные показатели стандартизации и унификации ВВТ. Получить литературу:
1. Стандартизация, метрология, сертификация. Под ред. Смирнова А.М. ВУ РХБЗ, дсп, 2001. 322 с. (инв. 3460).
2. Сборник примеров и задач по стандартизации, надежности и метрологии. Смирнов А.М. и др. ВУ РХБЗ, дсп, 2001. 53 с. (инв. 4061).
Задание на самоподготовку
(1 час на самоподготовку)
Дополнить конспект лекции.
Получить литературу:
Основная
1. Стандартизация, метрология, сертификация. Под ред. Смирнова А.М. ВУ РХБЗ, дсп, 2001. 322 с. (инв. 3592) стр. 52-67.
2. Сборник примеров и задач по стандартизации, надежности и метрологии. Смирнов А.М. и др. ВУ РХБЗ, дсп, 2001. 53 с. (инв. 4061).
Дополнительная
1. Сергеев А.Г., Латышев М.В., Терегеря В.В. Стандартизация, метрология, сертификация. Учебное пособие. тАУ М.: Логос, 2005. 560 с.
2. Лифиц И.М. Стандартизация, метрология и сертификация. Учебник. 4-е изд. тАУМ.: Юрайт. 2004. 335 с.
3. Эксплуатация вооружения химических войск и средств защиты. Учебное пособие. ВАХЗ, дсп. 1990. (инв. 2095).
4. Контроль качества разработки и производства ВВТ. Под редакцией А.М. Смирнова. дсп. 2003. 274 с. (инв. 3447).
В ходе занятия быть готовыми:
1. Ответить на вопросы преподавателя.
2. Представить рабочие тетради с отработанными вопросами согласно задания.
унификация вооружение стандартизация оборонный
Литература
1. Стандартизация, метрология, сертификация. Под ред. Смирнова А.М. ВУ РХБЗ, дсп, 2001. 322 с. (инв. 3460).
2. Сборник примеров и задач по стандартизации, надежности и метрологии. Смирнов А.М. и др. ВУ РХБЗ, дсп, 2001. 53 с. (инв. 4061).
3. Сергеев А.Г., Латышев М.В., Терегеря В.В. Стандартизация, метрология, сертификация. Учебное пособие. тАУ М.: Логос, 2005. 560 с.
4. Лифиц И.М. Стандартизация, метрология и сертификация. Учебник. 4-е изд. тАУМ.: Юрайт. 2004. 335 с.
5. Эксплуатация вооружения химических войск и средств защиты. Учебное пособие. ВАХЗ, дсп. 1990. (инв. 2095).
6. Контроль качества разработки и производства ВВТ. Под редакцией А.М. Смирнова. дсп. 2003. 274 с. (инв. 3447).
Наглядные пособия и приложения
7. "Лектор-2000"
8. Комплект слайдов
Вместе с этим смотрят:
Военнослужащий тАФ специалист, в совершенстве владеющий оружием и военной техникой
Вооруженные силы и военное искусство армии США во Второй Мировой войне
История и перспективы развития метрологического обеспечения ВВТ