Представление бинарного дерева в виде массива
ФЕДЕРАЛЬНОЕ АГЕНТСТВО МОРСКОГО И РЕЧНОГО ТРАНСПОРТА
Федеральное государственное образовательное учреждение высшего профессионального образования
ВлСанкт-Петербургский государственный университет водных коммуникацийВ»
КУРСОВАЯ РАБОТА ПО ДИiИПЛИНЕ
ДИСКРЕТНАЯ МАТЕМАТИКА
ТЕМА:
ВлПРЕДСТАВЛЕНИЕ ДЕРЕВЬЕВ В ВИДЕ МАССИВАВ»
Выполнил студент 2 курса
группы ИП-21:
Мальцев Валерий
Проверил:
Нырков Анатолий Павлович
Санкт-Петербург
2009 г.
Содержание
Деревья. 3
Бинарные деревья. 5
Представление бинарных деревьев. 9
Приложение. 12
Список литературы. 15
Д
еревья
Массивы и связанные списки определяют коллекции объектов, доступ к которым осуществляется последовательно. Такие структуры данных называют линейными (linear) списками, поскольку они имеют уникальные первый и последний элементы и у каждого внутреннего элемента есть только один наследник. Линейный список является абстракцией, позволяющей манипулировать данными, представляемыми различным образом тАФ массивами, стеками, очередями и связанными списками.
Во многих приложениях обнаруживается нелинейный порядок объектов, где элементы могут иметь нескольких наследников. Например, в фамильном дереве родитель может иметь нескольких потомков (детей). На Рис. 1 показаны три поколения семьи. Такое упорядочение называют иерархическим.

Рис.1.
В этой статье мы рассмотрим нелинейную структуру, называемую деревом (tree), которая состоит из узлов и ветвей и имеет направление от корня к внешним узлам, называемым листьями. Эти структуры подобны коммуникационной сети, показанной на Рис. 2, требуют особых алгоритмов и применяются в специальных приложениях.

Рис. 2
Терминология деревьев
Древовидная структура характеризуется множеством узлов (nodes), происходящих от единственного начального узла, называемого корнем (root). На Рис. 3 корнем является узел А. В терминах генеалогического дерева узел можно считать родителем (parent), указывающим на 0, 1 или более узлов, называемых сыновьями (children). Например, узел В является родителем сыновей E и F. Родитель узла H - узел D. Дерево может представлять несколько поколений семьи. Сыновья узла и сыновья их сыновей называются потомками (descendants), а родители и прародители тАУ предками (ancestors) этого узла. Например, узлы E, F, I, J тАУ потомки узла B. Каждый некорневой узел имеет только одного родителя, и каждый родитель имеет 0 или более сыновей. Узел, не имеющий детей (E, G, H, I, J), называется листом (leaf).
Каждый узел дерева является корнем поддерева (subtree), которое определяется данным узлом и всеми потомками этого узла. Узел F есть корень поддерева, содержащего узлы F, I и J. Узел G является корнем поддерева без потомков. Это определение позволяет говорить, что узел A есть корень поддерева, которое само оказывается деревом.

Рис.3.
Переход от родительского узла к дочернему и к другим потомкам осуществляется вдоль пути (path). Например, на Рис. 4 путь от корня A к узлу F проходит от A к B и от B к F. Тот факт, что каждый некорневой узел имеет единственного родителя, гарантирует, что существует единственный путь из любого узла к его потомкам. Длина пути от корня к этому узлу есть уровень узла. Уровень корня равен 0. Каждый сын корня является узлом 1-го уровня, следующее поколение тАУ узлами 2-го уровня и т.д. Например, на Рис. 4 узел F является узлом 2-го уровня с длиной пути 2.
Глубина (depth) дерева есть его максимальный уровень. Понятие глубины также может быть описано в терминах пути. Глубина дерева есть длина самого длинного пути от корня до узла.
На Рис.4 глубина дерева равна 3.

Рис.4. Уровень узла и длина пути
Бинарные деревьяХотя деревья общего вида достаточно важны, мы сосредоточимся на ограниченном классе деревьев, где каждый родитель имеет не более двух сыновей (Рис. 5). Такие бинарные деревья (binary trees) имеют унифицированную структуру, допускающую разнообразные алгоритмы прохождения и эффективный доступ к элементам. Изучение бинарных деревьев дает возможность решать наиболее общие задачи, связанные с деревьями, поскольку любое дерево общего вида можно представить эквивалентным ему бинарным деревом.
У каждого узла бинарного дерева может быть 0, 1 или 2 сына. По отношению к узлу слева будем употреблять термин левый сын (left child), а по отношению к узлу справа тАУ правый сын (right child). Наименования "левый" и "правый" относятся к графическому представлению дерева. Бинарное дерево является рекурсивной структурой. Каждый узел тАУ это корень своего собственного поддерева. У него есть сыновья, которые сами являются корнями деревьев, называемых левым и правым поддеревьями соответственно. Таким образом, процедуры обработки деревьев рекурсивны. Вот рекурсивное определение бинарного дерева:
Бинарное дерево - это такое множество узлов B, что
а) B является деревом, если множество узлов пусто (пустое дерево тАУ тоже дерево);
б) B разбивается на три непересекающихся подмножества:
В· {R} корневой узел
В· {L1, L2, .., Lm} левое поддерево R
В· {R1, R2, .., Rm} правое поддерево R
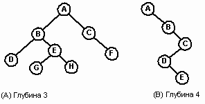
На любом уровне n бинарное дерево может содержать от 1 до 2n узлов. Число узлов, приходящееся на уровень, является показателем плотности дерева. Интуитивно плотность есть мера величины дерева (число узлов) по отношению к глубине дерева. На Рис. 5 дерево А содержит 8 узлов при глубине 3, в то время как дерево B содержит 5 узлов при глубине 4. Последний случай является особой формой, называемой вырожденным (degenerate) деревом, у которого есть единственный лист (E) и каждый нелистовой узел имеет только одного сына. Вырожденное дерево эквивалентно связанному списку.

Рис.5. Бинарные деревья
Деревья с большой плотностью очень важны в качестве структур данных, так как они содержат пропорционально больше элементов вблизи корня, т.е. с более короткими путями от корня. Плотное дерево позволяет хранить большие коллекции данных и осуществлять эффективный доступ к элементам. Быстрый поиск тАУ главное, что обусловливает использование деревьев для хранения данных.
Вырожденные деревья являются крайней мерой плотности. Другая крайность тАУ законченные бинарные деревья (complete binary tree) глубины N, где каждый уровень 0..N - 1 имеет полный набор узлов, и все листья уровня N расположены слева. Законченное бинарное дерево, содержащее 2N узлов на уровне N, является полным. На Рис. 6 показаны законченное и полное бинарные деревья.


Рис.6. Классификация бинарных деревьев
Бинарные деревья классифицируются по нескольким признакам. Введем понятия степени узла и степени дерева. Степенью узла в дереве называется количество дуг, которое из него выходит. Степень дерева равна максимальной степени узла, входящего в дерево. Исходя из определения степени понятно, что степень узла бинарного дерева не превышает числа два. При этом листьями в дереве являются вершины, имеющие степень ноль.

Рис.7. Бинарное дерево
Другим важным признаком структурной классификации бинарных деревьев является строгость бинарного дерева. Строго бинарное дерево состоит только из узлов, имеющих степень два или степень ноль. Нестрого бинарное дерево содержит узлы со степенью равной одному.

Рис.8. Полное и неполное бинарные деревья

Рис.9. Строго и не строго бинарные деревья
Представление бинарных деревьев
Бинарные деревья достаточно просто могут быть представлены в виде списков или массивов. Списочное представление бинарных деревьев основано на элементах, соответствующих узлам дерева. Каждый элемент имеет поле данных и два поля указателей. Один указатель используется для связывания элемента с правым потомком, а другой с левым. Листья имеют пустые указатели потомков. При таком способе представления дерева обязательно следует сохранять указатель на узел, являющийся корнем дерева.
Можно заметить, что такой способ представления имеет сходство с простыми линейными списками. И это сходство не случайно. На самом деле рассмотренный способ представления бинарного дерева является разновидностью мультисписка, образованного комбинацией множества линейных списков. Каждый линейный список объединяет узлы, входящие в путь от корня дерева к одному из листьев.

Рис.10. Представление бинарного дерева в виде списковой структуры
В виде массива проще всего представляется полное бинарное дерево, так как оно всегда имеет строго определенное число вершин на каждом уровне. Вершины можно пронумеровать слева направо последовательно по уровням и использовать эти номера в качестве индексов в одномерном массиве.

Рис.11. Представление бинарного дерева в виде массива
Если число уровней дерева в процессе обработки не будет существенно изменяться, то такой способ представления полного бинарного дерева будет значительно более экономичным, чем любая списковая структура.
Однако далеко не все бинарные деревья являются полными. Для неполных бинарных деревьев применяют следующий способ представления. Бинарное дерево дополняется до полного дерева, вершины последовательно нумеруются. В массив заносятся только те вершины, которые были в исходном неполном дереве. При таком представлении элемент массива выделяется независимо от того, будет ли он содержать узел исходного дерева. Следовательно, необходимо отметить неиспользуемые элементы массива. Это можно сделать занесением специального значения в соответствующие элементы массива. В результате структура дерева переносится в одномерный массив. Адрес любой вершины в массиве вычисляется как
адрес = 2к-1+i-1,
где k-номер уровня вершины, i- номер на уровне k в полном бинарном дереве. Адрес корня будет равен единице. Для любой вершины можно вычислить адреса левого и правого потомков
адрес_L = 2к+2(i-1)
адрес_R = 2к+2(i-1)+1
Главным недостатком рассмотренного способа представления бинарного дерева является то, что структура данных является статической. Размер массива выбирается исходя из максимально возможного количества уровней бинарного дерева. Причем чем менее полным является дерево, тем менее рационально используется память.
Приложение
В качестве примера использования бинарного дерева в виде массива был использован массив тАУ a[ i ], состоящий из 15 элементов (от 1 до 15). В результате дерево должно иметь вид:

Текст программы
дерево нелинейное массив бинарное
#include
#include
#include
#include
char bufRus[256];
char* Rus(const char* text){
ВаВаВаВаВаВаВаВа CharToOem(text, bufRus);
ВаВаВаВаВаВаВаВа return bufRus;
}
int main()
{ВаВаВаВаВаВаВа int i,k;
ВаВаВаВаВаВаВаВа int a[]={1,2,3,4,5,6,7,8,9,10,11,12,13,14,15};
ВаВаВаВаВаВаВаВа cout << Rus("Дерево:") << endl;
ВаВаВаВаВаВаВаВа cout << Rus("Корень дерева - a[0] = ") << a[0] << endl;
ВаВаВаВаВаВаВаВа k=0;
ВаВаВаВаВаВаВаВа for (i=1; i<=14; i++)
ВаВаВаВаВаВаВаВа {ВаВаВаВаВаВаВа
ВаВаВаВаВаВаВаВаВаВаВаВаВаВаВаВаВаВа if (i%2==0) k=k+1;
ВаВаВаВаВаВаВаВаВаВаВаВаВаВаВаВаВаВа if (i%2!=0) cout << Rus(" левый сын узла a[") << i-k-1 << "]=" << a[i] << endl;
ВаВаВаВаВаВаВаВаВаВаВаВаВаВаВаВаВаВа if (i%2==0) cout << Rus(" правый сын узла a[") << i-k-1 << "]=" << a[i] << endl;Ва
ВаВаВаВаВаВаВаВа }
ВаВаВаВаВаВаВаВа return 0;
Результат выполнения программы:

Список литературы
1) Ахо А., Хопкрофт Д., Ульман Д. Структуры данных и алгоритмы.
2) Д. Райли Абстракция и структуры данных. Вводный курс.
3) Д. Кнут Искусство программирования для ЭВМ. Т1, Основные алгоритмы.
Вместе с этим смотрят:
РЖнварiантнi пiдпростори. Власнi вектори i власнi значення лiнiйного оператора
Автокорреляционная функция. Примеры расчётов
Актуальные проблемы квантовой механики
Алгебра и алгебраические системы