Основи теорii експлуатацii i надiйностi електронноi побутовоi апаратури
ОСНОВИ ТЕОРРЖРЗ ЕКСПЛУАТАЦРЖРЗ РЖ НАДРЖЙНОСТРЖ електронноi побутовоi апаратури (ЕПА)
1. Основнi поняття та визначення. Задачi експлуатацii
Для пiдтримання електронноi побутовоi апаратури (як i всiii радiоелектронноi апаратури) у справному станi потрiбно не тiльки досконально знати та володiти нею, а i вмiти органiзовувати та проводити ii експлуатацiю на наукових основах вирiшуючи такi задачi:
- обТСрунтування обсягу та змiсту робiт i заходiв, якi проводяться на рiзних етапах експлуатацii;
- розробка методiв органiзацii працi обслуговуючого персоналу та технологii рiзних видiв робiт у процесi експлуатацii;
- визначення складу експлуатацiйно-технiчних характеристик i показникiв, якi характеризують якiсть експлуатацii;
- розробка критерiiв i методiв кiлькiсноi оцiнки експлуатацiйно-технiчних характеристик;
- визначення та аналiз факторiв, якi впливають на якiсть експлуатацii i експлуатацiйно-технiчних характеристики, а також розробка рекомендацiй з покращання експлуатацiйно-технiчних характеристик;
- розробка основ автоматизацii процесу експлуатацii;
- дослiдження економiчних проблем експлуатацii та впровадження результатiв цих дослiджень у практику експлуатацii.
Розглянемо ряд основних понять i визначень, якi використовуються для характеристики й опису експлуатацii.
Експлуатацiя тАУ це сукупнiсть робiт та органiзацiйних заходiв для пiдтримання електронноi побутовоi апаратури (ЕПА) у постiйнiй технiчнiй справностi.
Етап експлуатацii тАУ це визначена, закiнчена за цiльовим призначенням частина процесу експлуатацii.
Зазвичай процес експлуатацii ЕПА складаiться з таких основних етапiв: зберiгання, транспортування, пiдготовка до застосування, застосування за призначенням, технiчне обслуговування, ремонт.
Умови експлуатацii тАУ це сукупнiсть факторiв, якi дiють на ЕПА при експлуатацii.
До умов експлуатацii вiдносяться клiматичнi умови, механiчнi та електричнi навантаження, електромагнiтнi випромiнювання, квалiфiкацiя обслуговуючого персоналу, забезпечення запасними частинами.
Пiд зберiганням ЕПА розумiiться утримання ii в технiчно справному станi в умовах виробника або споживача протягом установленого термiну до реалiзацii. У процесi зберiгання мають бути створенi сприятливi умови утримання технiки, за яких забезпечуiться зберiгання ii працездатностi.
Транспортування тАУ перевезення ЕПА в умовах, якi забезпечують зберiгання ii працездатностi.
Пiдготовка ЕПА до застосування тАУ це сукупнiсть робiт з пiдготовки апаратури до нормального функцiонування згiдно з ii призначенням та технiчними умовами.
Застосування ЕПА за призначенням тАУ це сукупнiсть робiт, якi забезпечують нормальне функцiонування апаратури згiдно з технiчними умовами.
Технiчне обслуговування тАУ це комплекс робiт (операцiй) для пiдтримання апаратури у справному або працездатному станi пiд час пiдготовки та застосування за призначенням, зберiгання i транспортування.
Ремонт тАУ комплекс операцiй з поновлення справностi або працездатностi та поновлення ресурсу ЕПА, або складових частин.
Ресурсом називають напрацювання виробу в годинах вiд початку експлуатацii до настання граничного стану, коли подальша експлуатацiя електронноi апаратури небезпечна або економiчно недоцiльна.
Якщо розглянути всi електроннi апарати, то в залежностi вiд ступеня старiння, характеру несправностi, вiд складностi та обсягу робiт ремонт подiляють на плановий i неплановий. Плановим називають ремонт, постановка на який здiйснюiться вiдповiдно до вимог нормативно-технiчноi документацii.
Неплановий тАУ це ремонт, який здiйснюiться без попереднього призначення.
Ремонт, який виконуiться для забезпечення або поновлення працездатностi апаратури та полягаi в замiнi або поновленнi ii окремих модулiв, називаiться поточним. Вiн здiйснюiться пiсля виникнення вiдмови i може виконуватися на мiсцi знаходження радiоелектронноi апаратури.
Ремонт, який виконуiться для поновлення справностi та часткового поновлення ресурсу ЕПА з замiною або поновленням складових частин обмеженоi номенклатури i контролем технiчного стану складових частин в обсязi вiдповiдно до нормативно-технiчноi документацii, називають середнiм.
Ремонт, який виконуiться для поновлення справностi та повного або близького до повного поновлення ресурсу апарата з замiною або поновленням будь-яких його частин, включаючи базовi, називають капiтальним.
Експлуатацiя електронноi побутовоi апаратури маi деякi особливостi. Так, пiдготовка до застосування ii включаi передпродажну пiдготовку, установку та регулювання апаратури пiсля купiвлi дома у власника. Передпродажна пiдготовка передбачаi пiдготовку апаратури до роботи, перевiрку ii працездатностi (за необхiдностi регулювання та налагодження), а також призначений 2-годинний електропрогiн апаратури в магазинi з 4-ма вiдключеннями вiд електромережi.
Друга особливiсть полягаi в тому, що в перiод мiж технiчним обслуговуванням та ремонтом апаратуру експлуатуi сам споживач, тобто застосування за призначенням здiйснюi власник апаратури. Оскiльки апаратура не маi абсолютноi надiйностi, то за цей перiод експлуатацii виникають несправностi i вiдбуваiться вихiд параметрiв пристроiв за межi припускiв. Наведенi обставини вимагають створення спецiальних ремонтних органiв i проведення вiдповiдного перiодичного технiчного обслуговування ЕПА у будинку власника апаратури.
Задачами експлуатацii електронноi апаратури i: органiзацiя та проведення заходiв, що забезпечують пiдготовку до використання, використання за призначенням, пiдтримання справного стану.
Пiд експлуатацiйними властивостями ЕА розумiють ii надiйнiсть, готовнiсть до використання основних функцiй, пристосованiсть до технiчного обслуговування, економiчнiсть.
Розглянемо цi властивостi.
Надiйнiсть тАУ це властивiсть обтАЩiкта виконувати заданi функцii, зберiгаючи при цьому протягом часу значення встановлених експлуатацiйних показникiв в заданих межах, що вiдповiдають заданим режимам i умовам використання, технiчного обслуговування, ремонту, зберiгання та транспортування.
Готовнiсть тАУ це властивiсть обтАЩiкта, яка характеризуi його пристосованiсть до переведення з будь-якого початкового стану до стану безпосереднього застосування за призначенням.
Пристосованiсть до технiчного обслуговування тАУ це властивiсть апаратури ефективно виконувати завдання, якi постають перед нею пiд час проведення технiчного обслуговування iз заданою тривалiстю та визначеною перiодичнiстю.
Економiчнiсть тАУ це властивiсть, яка характеризуi витрати, повтАЩязанi з експлуатацiiю електронноi апаратури.
Надiйнiсть i однiiю з найважливiших експлуатацiйних властивостей, оскiльки вона значною мiрою визначаi ефективнiсть застосування апаратури до призначення, а також потрiбний рiвень надiйностi визначаi i вартiсть виготовлення ЕА.
Надiйнiсть i комплексною властивiстю. В залежностi вiд призначення ЕА та умов експлуатацii надiйнiсть може включати безвiдмовнiсть, ремонтоздатнiсть, здатнiсть до зберiгання та довговiчнiсть.
Безвiдмовнiсть тАУ це властивiсть конструкцii (апаратури) зберiгати працездатнiсть протягом деякого часу або деякого напрацювання. При цьому пiд працездатним станом розумiють такий стан ЕА, при якому апаратура спроможна виконувати заданi функцii, зберiгаючи значення заданих параметрiв в межах, встановлених нормативно-технiчною документацiiю. Якщо значення хоча б одного заданого параметра не вiдповiдаi встановленим вимогам, то апаратура знаходиться у непрацездатному станi.
В процесi експлуатацii ЕА може транспортуватися, а також зберiгатися iнколи протягом тривалого часу.
Властивiсть апаратури безперервно зберiгати справний i працездатний стан протягом та пiсля зберiгання, транспортування називають здатнiстю до зберiгання.
Основним показником здатностi до зберiгання i термiн служби зберiгання тАУ календарна тривалiсть зберiгання i транспортування апаратури в заданих умовах, протягом i коли закiнчиться термiн, зберiгаються в установлених границях показники призначення.
Довговiчнiсть тАУ це властивiсть ЕА зберiгати працездатнiсть до настання граничного стану при встановленiй системi технiчного обслуговування та ремонтiв.
Граничним називають такий стан, при якому подальша експлуатацiя ЕА маi бути припинена за таких причин:
- якщо неможливо лiквiдувати порушення вимог безпеки;
- якщо неможливо лiквiдувати вихiд заданих параметрiв за встановленi границi;
- якщо неможливо лiквiдувати зниження ефективностi експлуатацii нижче припустимого.
Ознаки граничного стану встановлюються нормативно-технiчною документацiiю.
Показники довговiчностi повтАЩязанi з поняттям ресурсу та термiну служби.
Термiном служби називають тривалiсть експлуатацii ЕА вiд ii початку до настання граничного стану, тобто безперервний (календарний) час, вiдрахований незалежно вiд тривалостi фактичного включеного стану апаратури в цей перiод. Термiн служби вимiрюiться роками.
Бiльш широким поняттям, яке характеризуi технiчний стан ЕА, i поняття тАЮсправний стантАЭ.
Пiд справним станом розумiють такий стан ЕА, при якому вiн вiдповiдаi всiм вимогам, встановленим нормативно-технiчною документацiiю. З цього визначення зрозумiло, що поняття тАЮсправнiстьтАЭ набагато ширше, нiж тАЮпрацездатнiстьтАЭ, оскiльки апаратура може бути i несправною, але працездатною (тобто задовольняти вимогам забезпечення виконання заданих функцiй), якщо вона не вiдповiдаi тим вимогам, якi не впливають на якiсть ii функцiонування. Якщо ЕПА не вiдповiдаi хоча б однiй з вимог, встановлених нормативно-технiчною документацiiю, вона вважаiться несправною.
Перехiд апаратури з одного стану в iнший називаiться подiiю. Подiя, яка полягаi в порушеннi працездатностi апаратури, називаiться вiдмовою. Як випливаi з визначення, пiд вiдмовою слiд розумiти не тiльки повну втрату працездатностi, але й ii погiршення внаслiдок змiни значення параметрiв.
Вiдмови пiдроздiляють:
- за характером змiни параметрiв до моменту виникнення вiдмови тАУ на раптовi та поступовi.
Раптовими називають вiдмови, якi характеризуються стрибкоподiбною змiною одного або декiлькох заданих параметрiв. Поступовою називають вiдмову, яка характеризуiться поступовою змiною значення одного або декiлькох заданих параметрiв;
- за взаiмозвтАЩязком мiж собою тАУ на залежнi та незалежнi.
Залежною називають вiдмову одного елемента пристрою, обумовлену вiдмовою другого елемента.
Незалежною називають вiдмову елемента пристрою, не обумовлену вiдмовою iнших елементiв;
- за характером часу порушення працездатностi тАУ на збоi та перемежовуючi вiдмови.
Збоiм називають вiдмови, якi самолiквiдуються та призводять до короткочасного порушення працездатностi.
Перемежовуючою вiдмовою називають багаторазове виникнення збою одного й того самого характер;
- за наявностi зовнiшньоi ознаки тАУ на явнi та неявнi.
Явна тАУ це вiдмова, яка виявляiться вiдразу пiсля ii появи без застосування вимiрювальних приладiв.
Неявна (прихована) тАУ це вiдмова, яка не маi зовнiшнiх ознак прояву та може бути виявлена тiльки за допомогою вимiрювальних приладiв;
- за причиною виникнення тАУ на конструкцiйну, виробничу, експлуатацiйну.
Конструкцiйною називають вiдмову, яка виникаi в результатi порушення правил або норм конструювання апаратури.
Виробничою називають вiдмову, яка виникаi в результатi порушення встановленого технологiчного процесу виготовлення або ремонту апаратури.
Експлуатацiйною називають вiдмову, яка виникаi в результатi порушення встановлених правил або умов експлуатацii апаратури.
Наведемо у виглядi структурноi схеми класифiкацiю видiв вiдмов радiоелектронноi апаратури.
експлуатацiя побутова апаратура технiчний

Рисунок 1 тАУ Класифiкацiя видiв вiдмов
Крiм того, вся електронна апаратура, ii складовi частини подiляються на тi, що пiдлягають ремонту, i тi, що не пiдлягають ремонту.
Апаратура, яка пiдлягаi ремонту тАУ це така, справнiсть i працездатнiсть якоi у випадку виникнення вiдмови або пошкодження пiдлягаi поновленню.
Апаратура, у якоi справнiсть та працездатнiсть не пiдлягаi поновленню, називаiться такою, що не пiдлягаi ремонту.
Пiд ремонтопридатнiстю розумiють властивiсть ЕА, що полягаi в пристосуваннi до попередження та виявлення причин виникнення ii вiдмов, пошкодження i поновлення працездатного стану шляхом проведення технiчного обслуговування та ремонту.
2. Експлуатацiйно-технiчнi показники
Розглянутi ранiше поняття та визначення i якiсними характеристиками. Для кiлькiсного виразу надiйностi, готовностi та економiчностi використовуються експлуатацiйно-технiчнi показники.
Вибiр можливого перелiку показникiв проводять з урахуванням певних вимог. Це такi вимоги:
- можливiсть оцiнювати вiдповiднi характеристики в рiзних умовах i на рiзних етапах експлуатацii;
- можливiсть iх числового визначення або завдання;
- можливiсть iх розрахунку за даними експлуатацii i проектування;
- достатня унiверсальнiсть;
- простота та зручнiсть застосування.
У залежностi вiд умов отримання потрiбних для розрахунку даних показники називають: оцiночними, експериментальними, прогнозованими екстрополiрованими.
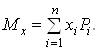
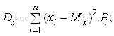
Щоб оцiнити експлуатацiйнi властивостi ЕА, застосовують показники безвiдмовностi, ремонтопридатностi, довговiчностi, готовностi, здатностi до зберiгання та експлуатацiйно-економiчнi.
1. Показники безвiдмовностi для неремонтованоi апаратури:
- ймовiрнiсть безвiдмовноi роботи тАУ ![]()
- частота вiдмов тАУ ![]()
- iнтенсивнiсть вiдмов тАУ ![]()
- середнi напрацювання до вiдмови тАУ
.
1 Показники безвiдмовностi для ремонтованоi апаратури:
- ймовiрнiсть безвiдмовноi роботи тАУ ![]()
- параметр потоку вiдмов тАУ ![]()
- iнтенсивнiсть вiдмов тАУ ![]()
- середнi напрацювання на вiдмову тАУ
.
2. Показники ремонтопридатностi:
- середня тривалiсть поточного ремонту тАУ ![]()
- середня тривалiсть технiчного обслуговування тАУ
.
3. Показники довговiчностi для неремонтованоi апаратури:
- середнiй термiн (строк) служби тАУ ![]()
- середнiй термiн служби до списування тАУ ![]()
- гамма-вiдсотковий термiн служби тАУ ![]()
- середнiй ресурс тАУ ![]()
- призначений ресурс тАУ ![]()
- гамма-вiдсотковий ресурс тАУ ![]()
3.1 Показники довговiчностi для ремонтованоi апаратури:
- середнiй термiн служби тАУ ![]()
- середнiй термiн служби до списування тАУ ![]()
- гамма-вiдсотковий термiн служби тАУ ![]()
- середнiй термiн служби до капiтального (середнього) ремонту тАУ ![]()
- середнiй термiн служби мiж капiтальними (середнiми) ремонтами тАУ ![]()
- середнiй ресурс тАУ ![]()
- призначений ресурс тАУ ![]()
- гамма-вiдсотковий ресурс тАУ
;
- середнiй ресурс до капiтального (середнього) ремонту тАУ ![]()
- середнiй ресурс мiж капiтальними (середнiми) ремонтами тАУ ![]()
- середнiй ресурс до списання тАУ ![]()
4. Показники здатностi до зберiгання:
- середнiй термiн зберiгання тАУ ![]()
- гамма-вiдсотковий термiн зберiгання тАУ ![]()
5. Показники готовностi:
- коефiцiiнт готовностi тАУ ![]()
- коефiцiiнт оперативноi готовностi тАУ ![]()
- коефiцiiнт технiчного використання тАУ ![]()
6. Експлуатацiйно-технiчнi показники:
- середня трудомiсткiсть поточного ремонту тАУ ![]()
- середня трудомiсткiсть технiчного обслуговування тАУ ![]()
- коефiцiiнт вартостi експлуатацii тАУ ![]()
3. Основнi поняття теорii ймовiрностi
Виникнення вiдмов в ЕА залежить вiд рiзних факторiв, якi визначаються як внутрiшнiми властивостями апаратури, так i дiями зовнiшнiх умов. Це призводить до того, що процес виникнення вiдмов, а також iншi характеристики ЕА у процесi експлуатацii носять випадковий характер. Тому для кiлькiсноi оцiнки рiзних характеристик ЕА широко використовуються iмовiрнiснi методи.
У теорii ймовiрностi випадковою називаiться величина, яка в результатi експерименту може прийняти те або iнше значення, передбачити яке заздалегiдь вiрогiдно неможливо. Всi випадковi величини подiляються на безперервнi та дискретнi. Прикладами безперервних випадкових величин i час безвiдмовноi роботи пристрою, значення того або iншого технiчного параметра тощо.
Дискретними випадковими величинами i кiлькiсть вiдмов, якi виникають за деякий перiод роботи пристрою, кiлькiсть несправних елементiв, пристроiв тощо.
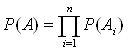
Подiiю в теорii ймовiрностi визначаiться будь-який факт, який у результатi експерименту може статися або не статися. Для кiлькiсного порiвняння подiй мiж собою за ступенем iх можливостi використовують визначене число, яке тим бiльше, чим бiльш можлива подiя. Таке число називають ймовiрнiстю подii.
Якщо ймовiрнiсть однiii подii не змiнюiться вiд того, вiдбулась чи нi друга подiя, то така подiя називаiться незалежною. Якщо ж можливiсть появи однiii подii залежить вiд того, вiдбулась чи нi друга подiя, то такi подii називають залежними. Подii називаються несумiсними, якщо нiякi двi з них не можуть зтАЩявитися разом.
Подiю, ймовiрнiсть якоi дорiвнюi одиницi, називають вiрогiдною подiiю. Подiю, ймовiрнiсть якоi близька до одиницi, називають практично ймовiрною.
На основi введеного поняття розглянемо основнi теореми теорii ймовiрностi, якi широко застосовуються пiд час вирiшення багатьох задач надiйностi.
3.1 Теореми додавання та множення ймовiрностей
Ймовiрнiсть суми n несумiсних подiй дорiвнюi сумi ймовiрностей цих подiй:
. Ва(1)
Ймовiрнiсть добутку незалежних подiй дорiвнюi добутку ймовiрностей цих подiй:
. (2)
На практицi рiдко зустрiчаються задачi, в яких потрiбно застосовувати тiльки теорему додавання або тiльки теорему множення ймовiрностей. Як правило, цi теореми застосовують спiльно.
3.2 Теорема повноi ймовiрностi
На основi теореми додавання та множення формулюiться теорема повноi ймовiрностi.
Нехай потрiбно визначити ймовiрнiсть деякоi подii А, яка може вiдбутися разом з однiiю з подiй
, що утворюють групу несумiсних подiй, якi називаються гiпотезами:
,(3)
тобто ймовiрнiсть подii А знаходиться як сума добуткiв ймовiрностей кожноi гiпотези на ймовiрнiсть подii при цiй гiпотезi.
3.3 Закони розподiлу випадковоi величини
Законом розподiлу випадковоi величини називають спiввiдношення, яке встановлюi звтАЩязок мiж можливим значенням випадковоi величини та вiдповiдними iм ймовiрностями. Вважають, що випадкова величина в цьому випадку пiдпорядкована даному закону розподiлу.
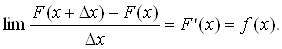
РЖнтегральним законом розподiлу або функцiiю розподiлу називаiться функцiя виду:
Ва(4)
де x тАУ деяка поточна змiнна.
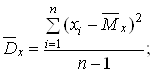
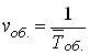
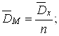
Функцiя розподiлу тАУ унiверсальна характеристика випадковоi величини. Вона iснуi як для перервних, так i безперервних величин i характеризуi ймовiрнiсть подii Х - функцiя розподiлу F(x) i функцiя, яка не зменшуiться вiд свого аргументу, тобто при х2>x1, F(x2)≥F(x1); - на мiнус нескiнченностi функцiя розподiлу дорiвнюi нулю F(-∞)=0; - на плюс нескiнченностi функцiя розподiлу дорiвнюi одиницi F(∞)= Нехай маiмо випадкову величину Х з функцiiю розподiлу F(x), яку припускаiмо безперервною та диференцiйованою. Обрахуiмо ймовiрнiсть натрапляння цiii випадковоi величини у вiдрiзок вiд х до х+Δх. Умовимося лiвий кiнець вiдрiзку х включати в iнтервал х, х+Δх, а правий тАУ не включати. Тодi потрапляння випадковоi величини Х у вiдрiзок х, х+Δх рiвносильне виконанню нерiвностi: Виразимо ймовiрнiсть цiii подii через F(x). Для цього розглянемо три подii: - подiя А полягаi в тому, що Х - подiя В полягаi в тому, що Х - подiя С полягаi в тому, що х≤ Х Враховуючи, що А=В+С, згiдно з теоремою додавання ймовiрностей отримаiмо: тобто отримати прирiст функцii розподiлу на цьому вiдрiзку. Отже, ймовiрнiсть потрапляння випадковоi величини у заданий iнтервал дорiвнюi приросту функцii розподiлу на цьому iнтервалi. Розглянемо вiдношення (частку) цiii ймовiрностi до довжини iнтервалу та наближатимемо Δx до нуля. На границi ми отримаiмо похiдну вiд функцii розподiлу: Функцiя f(x) тАУ похiдна функцii розподiлу, характеризуi щiльнiсть, з якою розподiляiться значення випадковоi величини у данiй точцi. Ця функцiя називаiться щiльнiстю розподiлу або диференцiальним законом розподiлу величини Х. Щiльнiсть розподiлу i однiiю з форм закону розподiлу. На противагу функцii розподiлу щiльнiсть iснуi тiльки для безперервних випадкових величин. Кожен закон розподiлу являi собою деяку функцiю, яка повнiстю описуi випадкову величину з iмовiрнiсноi точки зору. Проте часто на практицi немаi необхiдностi характеризувати випадкову величину повнiстю, буваi достатньо лише знати окремi числовi параметри. Такi параметри, якi характеризують у стислiй формi iстотнi особливостi розподiлу, називаються числовими характеристиками випадковоi величини. Основними числовими характеристиками випадкових величин, якi вивчають у надiйностi, i математичне сподiвання або середнi значення та дисперсiя. Для перервноi величини Х математичним сподiванням називаiться сума добуткiв усiх можливих значень випадковоi величини на ймовiрнiсть цих значень: Для безперервноi величини Х математичне сподiвання виражаiться вже не сумою, а iнтегралом: де f(x) тАУ щiльнiсть розподiлу величини Х. Дисперсiя випадковоi величини Х i характеристика розсiяностi, тобто розкидання значень випадковоi величини бiля ii математичного сподiвання. Вiдповiдно для перервних i безперервних випадкових величин маiмо: Величина, отримана добуванням квадратного кореня з дисперсii, називаiться середньоквадратичним вiдхилом випадковоi величини Х вiд математичного сподiвання: На практицi часто доводиться визначати числовi характеристики випадковоi величини за обмеженим обтАЩiмом статистичних даних про вiдмови, яких замало, щоб судити про закон розподiлу випадковоi величини. У цьому випадку знаходять статистичнi характеристики (оцiнки): - статистичне математичне сподiвання (середнi значення): - статистичну дисперсiю: - дисперсiю математичного сподiвання: - дисперсiю дисперсii: 4. Елементи теорii масового обслуговування Процес виникнення вiдмов у роботi ЕА, органiзацiя та проведення ii ремонту, постачання запасними елементами, матерiалами та iншi ситуацii в теорii та практицi експлуатацii ЕА можуть бути описанi методами теорii масового обслуговування. Системою масового обслуговування називаiться система, яка складаiться з деякого числа обслуговуючих одиниць, якi називаються каналами обслуговування. Системи масового обслуговування можуть бути одноканальними та багатоканальними. Основними елементами системи масового обслуговування i: потiк подiй, кiлькiсть каналiв та швидкодiя кожного каналу. Пiд потоком подiй розумiють послiдовнiсть подiй, якi проходять одна за одною в деякi моменти часу. Потiк подiй називаiться найпростiшим, якщо вiн маi властивiсть ординарностi, стацiонарностi та вiдсутнiсть пiслядii. Ординарнiсть потоку означаi, що ймовiрнiсть появи двох i бiльше подiй за один i той самий момент часу практично вiдсутня. Стацiонарнiсть потоку означаi, що ймовiрнiсть тiii або iншоi кiлькостi подiй на вiдрiзок часу довжиною t=Δt не залежить вiд t i залежить тiльки вiд довжини вiдрiзку Δt. Вiдсутнiсть пiслядii полягаi в тому, що для двох вiдрiзкiв часу Δt1 i Δt2 кiлькiсть подiй, якi потрапляють в один з них, не залежить вiд кiлькостi подiй, якi потрапляють в другий. У практицi найбiльшого поширення набув випадок, коли величина де Системи масового обслуговування подiляються на два основних типи: системи з вiдмовами та системи з очiкуванням. У системах з вiдмовами заявка, яка надiйшла в момент, коли всi канали обслуговування зайнятi, негайно отримуi вiдмову, залишаi систему i в подальшому процесi обслуговування не бере участi. У системах з очiкуванням заявка, яка застала всi канали зайнятими, не залишаi системи, а стаi в чергу i очiкуi, поки не звiльниться який-небудь канал. Процес експлуатацii електронноi побутовоi апаратури (заявки на ремонт, постачання запасних елементiв тощо) може бути найбiльш повно описаний тiльки з використанням теорii масового обслуговування з очiкуванням. Нехай у системi i n каналiв. На вхiд системи надходить найпростiший потiк заявок з iнтенсивнiстю (щiльнiстю) λ. Середнiй час обслуговування однiii заявки Стан системи масового обслуговування нумеруватимемо за кiлькiстю заявок: S0 тАУ CMO вiльна; S1 тАУ зайнятий один канал; S2 тАУ зайнятi два канали; - - - - - - - - - - - - - - - - - черги немаi Sn тАУ зайнятi всi канали; Sn+1 тАУ зайнятi всi n каналiв, одна заявка знаходиться у черзi; Sn+r тАУ зайнятi всi n каналiв, r заявок знаходяться у черзi. Тодi для розрахунку ймовiрностi стану системи при встановленому режимi обслуговування (тобто де кiлькiсть заявок α3 менше кiлькостi каналiв n, α3 де к тАУ число станiв системи (0≤к≤n). Ймовiрнiсть наявностi черги: Середнi число заявок, якi знаходяться в черзi: Тепер можна знайти середнiй час перебування заявки в черзi: де λ тАУ iнтенсивнiсть заявок за годину. Вместе с этим смотрят: IP-телефония. Особенности цифровой офисной связи РЖсторiя звтАЩязку та його розвиток Автоматика, телемеханика и связь Анализ режимов автоматического управления![]()
Ваабо
Вазвiдки![]()
Ва(5)
Ва(6)
(7)
ВаВа(8)
Ва(9)
Ва(10)
Ва(11)
Ва(12)
ВаВа(13)
Ва(14)
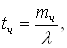
Режим роботи системи масового обслуговування залежить також вiд характеристик продуктивностi самоi системи: кiлькостi каналiв i продуктивностi кожного каналу. Однiiю iз найважливiших величин, повтАЩязаних з системою, i середнiй час обслуговування однiii заявки ![]()
Вамаi експоненцiальний розподiл:
Ва (15)
ВатАУ величина, зворотна середньому часу обслуговування однiii заявки.
ВатАУ експоненцiальний з параметром
. Середня кiлькiсть заявок α3=λ
ВаЧас очiкування не обмежений.
Ва(16)
Ва(17)
(18)
Ва(19)