Проектування радiомовного приймача дiапазону КВтАУ1
Вступ
Радiоприймальний пристрiй складаiться iз прийомноi антени, радiоприймача й кiнцевого пристрою, призначеного для вiдтворення сигналiв.
Для усунення недолiкiв приймачiв прямого посилення була запропонована схема приймача з перетворенням частоти. При цьому основне посилення сигналу здiйснюiться на промiжнiй частотi. Пiдсилювач промiжноi частоти забезпечуi високу вибiрковiсть по сусiдньому каналу. Перебудова по дiапазону здiйснюiться за рахунок простих систем перебудови частоти гетеродину й частоти настроювання вхiдного ланцюга. У цьому випадку частотно тАУ вибiрковi ланцюги, включенi до перетворювача частоти, здiйснюють вибiрковiсть по дзеркальному каналу
Усi супергетеродиннi приймачi складаються iз трьох основних частин: лiнiйного тракту, демодулятора й пристроiв регулювань (керування). Лiнiйний тракт однаковий для приймачiв рiзних типiв. Вiн складаiться iз вхiдного ланцюга (ОЦ), пiдсилювача радiочастоти (ПРЧ), змiшувача (З) i гетеродину (Г) перетворювача частоти, а також пiдсилювача промiжноi частоти (ППЧ).
Гiдностi:
- полiпшуiться вибiрковiсть по сусiдньому каналу;
- спрощуiться перебудова частоти приймача;
- при перебудовi не змiнюються основнi характеристики приймача;
- висока чутливiсть супергетеродинних приймачiв обумовлена високим коефiцiiнтом передачi амплiтудного детектора, пов'язана з тим, що амплiтудний детектор працюi в режимiдетектирования сильних сигналiв.
Недолiком супергетеродинних приймачiв i наявнiсть побiчних каналiв приймання.
1. Основна частина
1.1 Радiохвилi. РЗх вiдкриття
Вiдкриття радiохвиль дало людству масу можливостей. Серед них: радiо, телебачення, радари, радiотелескопи й бездротовi засоби зв'язку. Усе це полегшуi нам життя. За допомогою радiо люди завжди можуть попросити допомоги в рятувальникiв, кораблi й лiтаки подати сигнал нещастя, i можна довiдатися, подii вiдбуваються у свiтi.
Гiпотезу про iснування радiохвиль висунув англiйський учений Джеймс Максвелл на пiдставi вивчення робiт Фарадея по електрицi. Для висування гiпотези про можливiсть виникнення електромагнiтних хвиль Максвелл спирався на вiдкриття iндукцiйного струму Фарадеiм. Максвелл пояснив появу iндукцiйного струму виникненням вихрового електричного поля при будь-якiй змiнi магнiтного поля. Далi вiн допустив, що електричне поле маi такi ж властивостi: при будь-якiй змiнi електричного поля в навколишньому просторi виникаi вихровеВаВа електричне поле.

Рисунок 1 тАУ Схема радiохвилi
Процес взаiмного породження магнiтного й електричного поля повинен безупинно тривати й захоплювати усi новi й новi областi в навколишньому просторi. Процес взаiмного опородження електричних i магнiтних полiв вiдбуваiться у взаiмно перпендикулярних площинах. Електричнi й магнiтнi поля можуть iснувати в речовинi й у вакуумi, i можутьВа поширюватися у вакуумi. Умовою виникнення електромагнiтних хвиль i прискорений рух електричних зарядiв. Так, змiна магнiтного поля вiдбуваiться при змiнi струму в провiднику, а змiна струму вiдбуваiться при змiнi швидкостi зарядiв. Отже, електромагнiтнi хвилi повиннi виникати при прискореному русi електромагнiтних зарядiв.
![]() |
Але от створення електромагнiтних хвиль дослiдним шляхом належить фiзиковi Герцу. Для цього Герцiв використовував високочастотний iскровий розрядник (Вiбратор).
Рисунок 2 тАУ Схема найпростiшого iскрового розрядника
Зробив цей досвiд Герцiв в 1888 г. Полягав вiбратор iз двох стрижнiв, роздiлених iскровим промiжком. Експериментував Герцiв iз хвилями частотою 100000000 Гц. Обчисливши власну частоту електромагнiтних коливань вiбратора, Герц змiг визначити швидкiсть електромагнiтноi хвилi по формулi υ=λν.Вона виявилася приблизно дорiвнюi швидкостi свiтла:Ва з=300000 км/с. Досвiд Герца блискуче пiдтвердили пророкування Максвелла. Для порушення коливань вiбратор пiдключався до iндуктора. Коли напруга на iскровому промiжку досягало пробивного значення, виникла iскра, яка закорочувала обидвi половинки вiбратора. У результатi виникали вiльнi загасаючi коливання, якiВа тривали доти, поки iскра не гаснула. А для того щоб виникаючий при коливаннях високочастотний струм не вiдгалужувався в обмотки iндуктора, мiж вiбратором i iндуктором включалися дроселi (котушки з великою iндуктивнiстю). Пiсля загасання iскри вiбратор знову заряджався вiд iндуктора, i весь процес повторювався знову. Таким чином, вiбратор Герца збуджував ряд цугiв слабко загасаючих хвиль.
![]() |
РЖ пiд час цих коливань встановлювалася стояча хвиля струму й напруги. Сила струму I була максимальною (пучнiсть) у серединi вiбратора й зверталася в нуль на його кiнцях. Напруга U у серединi вiбратора мала вузол, на кiнцях тАУ пучностi. Досвiди Герца були продовженi П.Н. Лебедiвим в 1894 г. П.Н. Лебедiв вiдкрив подвiйне переломлення хвиль у кристалi. Також радiохвилi мають усi основнi властивостi хвиль.
Рисунок 3 тАУ Зображення стоячих хвиль струму i напруги
Електромагнiтнi хвилi залежно вiд довжини хвилi
Ва(або частоти коливань
) роздiленi умовно на наступнi основнi дiапазони: радiохвилi, iнфрачервонi хвилi, рентгенiвськi променi, видимий спектр, ультрафiолетовi хвилi й гама - променi. Такий подiл електромагнiтних хвиль засноване на вiдмiнностi iх властивостей при випромiнюваннi, поширеннi й взаiмодii з речовиною.
2. Спецiальна частина
2.1 Вхiднi данi
ДiапазонВа частот 11 ÷ 13 МГц
Частотна характеристика 0,1 тАУ 8,0 кГц
Чутливiсть приймача U
Ва=5мкВ
Вибiрковiсть по дзеркальному каналу Sз.к.=34дБ
Вибiрковiсть по сусiдньому каналу Sс.к.=30дБ
Вiдношення сигнал/шум на виходi приймача γ=25
Вихiдна потужнiсть: P
Ва=350 мВт
Напруга живлення: 15 В.
2.2 Розрахунки смуги пропускання приймача
Смуга пропущення приймача П складаiться iз ширини спектра сигналу Пс i нестабiльностей у трактi й неточностi настроювань Пн:
П=Пс+Пн
Ширина спектра сигналу визначаiться типом використовуваного сигналу в лiнii зв'язку. Для безперервного ЧМ модульованого сигналу:
.
Нестабiльнiсть ураховуiться в такий спосiб:
,
де Dfс - нестабiльнiсть частоти сигналу,
Dfг - нестабiльнiсть частоти гетеродину приймача,
Dfнач - початкова неточнiсть установки частоти гетеродину,
Dfпч - неточнiсть настроювання контурiв ППЧ.
Тому що дiапазон частот рiвний
,
те в подальших розрахунках ми будемо використовувати середнi значення цього дiапазону, тобто fc.=12 Мгц.
Задамося нестабiльнiстю частоти сигналу Δf/fс=В±1В·10-6,
звiдки Dfc=fcВ·10-6=12В·106В·10-6=12 Гц.
У супергетеродинних приймачах частотна вибiрковiсть визначаiться в основномуослабленнямиВа дзеркального Sезк i сусiднього (або сусiднiх) Sеск каналiв. У приймачах з одинарним перетворенням частоти ослаблення дзеркального каналу забезпечуi преселектор, ослаблення сусiднього каналу - в основномуППЧ i частково преселектор. Резонанснi характеристики преселектора йВа ППЧ повиннi бути такими, щоб лiнiйний тракт мав смугу пропущення не менше заданоi П.
Промiжна частота fп повинна лежати поза дiапазоном прийнятихВа частотВа fе й забезпечувати:
1) Задану вибiрковiсть по дзеркальному каналу Sезк.
2) Задану вибiрковiсть по сусiдньому каналу Sеск .
3) Задану смугу пропущення лiнiйного тракту П.
4) Можливiсть застосування контурiв з реалiзованою добротнiстю.
Для наших розрахункiв вибираiмо значення промiжноi частоти fп= 6,5 Мгц.
Нехай
, тодi для транзисторного гетеродину iз кварцовою стабiлiзацiiю
.
Початкова неточнiсть установки частоти гетеродину становить
![]()
Нестабiльнiсть промiжноi частоти ПЧ становить
![]()

![]()
![]()
Смуга пропущення лiнiйного тракту приймача П повинна бути не ширше дiапазону частот
, тобто![]()
Тому що наша вiдповiдь задовольняi умову, то розв'язки виконанi вiрно.
2.3 Забезпечення припустимого коефiцiiнта шуму
Визначивши смугу лiнiйного тракту, перейдемо до вибору перших каскадiв приймача, що забезпечують необхiдну чутливiсть. Цей параметр характеризуiться припустимим коефiцiiнтом шуму Nд.
Шумова смуга тракту:
Пш=1.1В·П=1.1В·201,76кГц=221,936кГц.
Допустимыйкоэффициентшумасоставляет
,
де U тАУ задана чутливiсть,
Uп тАУ напруженiсть поля зовнiшнiх перешкод
γ - спiввiдношення ефективних напруг сигнал/шум,
Т0=290 ДО - стандартна температура приймача,Ва
Пш - шумова смуга лiнiйного тракту,
k=1,38×10-23Дж/гради -постiйнаБольцмана.
Припустимий коефiцiiнт шуму складе
= 16,4.
Визначимо реальний коефiцiiнт шуму приймача:
,ВаВа
де Nвц - коефiцiiнт шуму вхiдномуланцюга,
NУРЧ - коефiцiiнт шуму ПРЧ;
NПЧ - коефiцiiнт шуму ПЧ;
NУПЧ - коефiцiiнт шуму ППЧ;
KPвц - коефiцiiнт передачi потужностi вхiдномуланцюга;
KPУРЧ - коефiцiiнт передачi потужностi ПРЧ;
KPПЧ - коефiцiiнт передачi потужностi ПЧ;
LФ - коефiцiiнт передачi потужностi антенного фiдера.
Коефiцiiнт передачi потужностi антенного фiдера визначаiться по формулi.
,
де βФ - погонне загасання, lФ - довжина фiдера.
З таблицi [3] вибираiмо тип фiдера: прямокутний мiдний посрiблений хвилевiд.
βФ=0.015.0.022
Антена зовнiшня:Ва lФ=2м
Визначимо коефiцiiнт передачi антенного фiдера: LФ=0.993.
Коефiцiiнт передачi вхiдномуланцюгастановитьKPвц= 0.5.0.7.
Коефiцiiнт шуму вхiдномуланцюгастановитьNвц=1/KPвц.
Коефiцiiнт шуму ПЧNПЧ=5.12.
Коефiцiiнт передачi потужностi ПЧKPПЧ =0,2
Коефiцiiнт шуму УПЧNУПЧ=4.10.
По формулi визначимо очiкуваний коефiцiiнт шуму приймача:
N = 8,22ВаВаВаВа
![]()
Далi порахуiмо коефiцiiнт пiдсилення преселектора:
![]()
Коефiцiiнт пiдсилення, який нам треба одержати вiд УПЧстановить:
![]()
2.4 Розрахунки вхiдного ланцюга
У вхiдному ланцюзi застосуiмо iндуктивний зв'язок контуру вхiдномуланцюга iз входом першого активного елемента приймача.
Для цього виберемо як вхiдного ланцюга схему на рис. 4.

Рисунок 4 тАУ Схема вхiдного ланцюга з iндуктивним зв'язком з антеною й транзистором
У якостi елемента настроювання будемо використовувати конденсатори змiнноiiмностi.
Коефiцiiнт перекриття по частотi в заданомудiапазонi:
![]()
Вибираiмо двосекцiйний блок конденсаторiв КПЕ-3 з параметрами
,
.
Перевiримо спiввiдношення:
; де
- це сумарна паразитна iмнiсть, у реальномуконтурi включена паралельно
Вай мiнiмальне значення
Вана коротких i метрових хвилях. Пiдставивши значення, одержуiмо:
.
Нерiвнiсть виконуiться й значить застосування цього елемента настроювання можливо.
Загасання еквiвалентного контуру приймемо
.
Обчислюiмо максимально припустиму iмнiсть вхiдного ланцюга:
.
Обчислимо iндуктивнiсть:
.
Знаходимо iндуктивнiсть котушки зв'язки з антеною:
,
де
Ва- мiнiмальна iмнiсть антени,
- коефiцiiнт подовження.
Визначаiмо коефiцiiнт зв'язку з антеною й коефiцiiнт включеннявхiдномуланцюга до входу ПРЧ для одержання необхiдноi вибiрковостi по дзеркальному каналу
Ватак, щоб на
Вай
Ваминулому рiвнi суми загасань, внесених антеною й входом ПРЧ.
, де
;

.
;
.
Обчислюiмо коефiцiiнт зв'язку з антеною, що забезпечуi припустиму розлагодження контуру вхiдного ланцюга. При цьому вважаiмо, що антена i вхiдна iмнiстьПРЧ вносять однакове розлагодження, причому сумарне розлагодження не перевищуi
. Вважаiмо також, що при регулюваннi ми компенсуiмо середню змiну
Вапо дiапазону. Тодi нескомпенсованим залишаiться лише вплив випадкових вiдхилень
Вапри експлуатацii. Для цього беремо припустиме розлагодження контуру антеною:
;
![]()
![]()
Порiвнюiмо й вибираiмо
Ваз умов:
,
,
, де
- конструктивно здiйсненний коефiцiiнт зв'язку, рiвний 0,5÷0,6 для котушок з унiверсальним намотуванням i 0,4÷0,5 для котушок з одношаровим намотуванням. Отже,
,
,
. Вибираiмо коефiцiiнт зв'язку
.
Вибираiмо iндуктивнiсть зв'язку так, щоб вона разом з iмнiстю
Ваутворювала контур, настроiний на частоту вище
Вапри верхньомунастроюваннi гетеродину:
.Ва
Обчислюiмо коефiцiiнт зв'язку мiж котушками
Вай
, необхiдний для одержання
певного ранiше:
.
Знаходимо iмнiсть пiдстроювального конденсатора:
.
Визначаiмо коефiцiiнт передачi вхiдномго ланцюга на
Вай
:

де
- частота настроювання вхiдного ланцюга.
Для
:
Ва.
Для
:
.
Як видне вибiр
Вадав досить гарну рiвномiрнiсть
Вапо дiапазону.
Узагальнене розлагодження, на частотi дзеркального каналу
Вадорiвнюi:
.
2.5 Розрахунки пiдсилювача радiочастоти

Рисунок 5 тАУ Принципова схема ПРЧ
Узагальнене розлагодження, на частотi дзеркального каналу
, яку повинен забезпечити ПРЧ:
.
Отже, еквiвалентне загасання, яке повинен забезпечити ПРЧ:
.
Добротнiсть контуру:
.
Дана добротнiсть реалiзована.
У якостi активного елемента ПРЧ був обраний КТ313Д. Транзистор повинен задовольняти умовi:
, де
Ва- гранична частота крутостi характеристики в схемi з ЗЕ, при якiй
Вападаi до рiвня 0,7 вiд свого низькочастотного значення, а
Ва- максимальна частота прийнятих сигналiв.
Дана умова виконуiться:
.
Параметри робочоi крапки:
,
,
,
.
- параметри даного транзистора, включеного за схемою з ОЭ, можна розрахувати по наближених формулах таблицi 3.1[2]:
;
;
;
де
;
;
;
- гранична частота посилення струму в схемi з ЗЕ.
Розрахунки елементiв ланцюгиживлення
1.Припустимазмiнаструму колектора:
.
2.Опору в ланцюзi емiтера визначаiться наближеною формулою:
.
3.Змiна зворотного струму колектора:
.
4.Коефiцiiнт нестабiльностi для схеми температурноi стабiлiзацii:
.
5.Коефiцiiнт пiдсилення по струму в схемi iз загальною базою:
.
6.Розрахунки опорiв дiльника:
.
![]()

Вибираiмо R1 ≈ 2,4кому зi стандартно го ряду опорiв Е24.
.
Вибираiмо R2 ≈ 6,2кому зi стандартно го ряду опорiв Е24.
Визначаiмо речовинну складову вхiдноi провiдностi каскаду ПРЧ iз урахуванням опорiв дiльника:
.
Щоб уникнути зайвого негативного зворотного зв'язку по змiнномуструму вибираiмо значення iмностi в ланцюзi емiтера
, з умови:
.
Зi стандартного ряду вибираiмо номiнал
.
РДмнiсть блокувального конденсатора в ланцюзiживлення вибираiмо аналогiчно:
.
Зi стандартного ряду вибираiмо номiнал
.
Роздiловий конденсатор
.
РЖндуктивнiсть контуру вибираiмо аналогiчно вхiдномуланцюга:
.
Резонансна провiднiсть коливального контуру:
.
У данiй схемi
Вана верхнiй частотi дiапазону маi найбiльше значення. Вплив зовнiшнiх ланцюгiв на параметри коливального контуру буде найбiльшим також на верхнiй частотi, тому коефiцiiнти включення (трансформацii)
Ваi
вибирають, виходячи iз припустимого впливу зовнiшнiх ланцюгiв на параметри коливального контуру, саме на максимальнiй розрахунковiй частотi. У межах дiапазону, що
Варозраховуiться,
Ваi вiд частоти настроювання не залежать.
Розраховуiмо значення
:
- з умови припустимого коефiцiiнта подовження
:
;
- з умови припустимого впливу внутрiшньомузворотномузв'язка на стiйкiсть роботи ПРЧ:
;
- з умови розлагодження контуру не бiльш, нiж на половину смуги пропущення за рахунок пiдключення до нього
:
.
РЖз трьох отриманих значень вибираiмо менше
, яке використовуiмо при подальших розрахунках.
Розраховуiмо значення
:
- з умови припустимого коефiцiiнта подовження
:
;
- з умови припустимого розлагодження контуру:
;
РЖз двох значень вибираiмо менше
, яке використовуiмо в подальших розрахунках.
Розрахуiмо значення iндуктивностей котушок зв'язки:
;
;
де k - коефiцiiнт магнiтного зв'язку мiж котушками, при одношаровому намотуваннik = 0,2..0,3, при багатошаровому k = 0,4..0,5.
Резонансна провiднiсть коливального контуру на резонанснiй частотi й на крайнiх частотах дiапазону:
;
;
;
.
Резонансна провiднiсть еквiвалентного контуру на резонанснiй частотi й на крайнiх частотах дiапазону:
;
;
![]()
;
Еквiвалентна добротнiсть контуру на резонанснiй частотi:
.
Резонансний коефiцiiнт пiдсилення:
.
Узагальненерозлагодження, на частотi дзеркального каналу
дорiвнюi:
.
2.6 Розрахунки перетворювача частоти
Виберемо транзисторний перетворювач частоти iз зовнiшнiм гетеродином. У такомуперетворювачi сигнал вiд вхiдного ланцюга надходить до бази бiполярного транзистора змiшувача, включеного за схемою з ЗЕ. При такiмвключеннi вхiдна провiднiсть змiшувача для напруги сигналу виходитьменшоi, чому в схемi iз ПРО.
Розрахуiмо елементи живлення транзистора:
Параметри транзистора 2Т603И:
Ва- зворотний струм колектора
Ва- гранична частота
Ва- колекторний струм
- напруга в робочiй крапцi
Ва- напругаживлення
![]()
Визначимо змiну зворотного струму колектора:
![]()
Знаходимо тепловий зсув струму бази:
![]()
Де ![]()
Розраховуiмо необхiдну нестабiльнiсть колекторного струму:
![]()
Обчислюiмо опiр резисторiв

Далi пiдраховуiмо iмностi конденсаторiв:

Розрахуiмо параметри коливального контуру настроiного на промiжну частоту. Вибираiмо min iмнiсть контуру. Звичайно ii беруть у межах 40-60 пФ. Вибираiмо 40 пФ.
Сmin = 40 пФ
Визначаiмо iндуктивнiсть котушки контуру:
![]()
Визначаiмоiмнiсть:
![]()

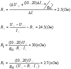
2.7 Розрахунки фiльтра зосередженоi селекцii
Вихiдними даними i наступнi характеристики:
Смугу пропущення 2
Ваf= 2МГц;
Вибiрковiсть по сусiдньому каналу приймання Sск= 30 дБ;
Сусiднiй канал вiдбудований вiд промiжноi частоти приймача на 10 МГц.
Навантаженнями фiльтра служать вихiдний опiр пiдсилювального каскаду ППЧ дорiвнюi 200 Ом тому й вхiдний опiр наступного каскаду рiвне 200 Ом.
Номiнал промiжноi частоти приймача fпч=6,5 Мгц.
Вихiдна iмнiсть пiдсилювального каскаду Свых=2 пФ, вхiдна iмнiсть наступного каскаду (навантаження) Свх=5 пФ. Втрати фiльтра в смузi пропущення повиннi бути мiнiмальнi.
Через високi вимоги до вибiрковостi фiльтра, доцiльно вибрати фiльтр iз чебишевською характеристикою загасання.
Визначимо нормовану частоту.
Вiдповiдно до вихiдних даних 2
МГц; f0 =fпч=6,5 МГц ; fн=7,5 МГц;
fтАУн=6,5 Мгц.
Звiдси знаходимо:
![]()
Перерахуiмо задане ослаблення Sск, вважаючи, що 1дБ=0,115неп;
неп.
Уважаючи припустиму нерiвномiрнiсть загасання в межах смуги пропущення не бiльш
0,1неп (0,8дБ) за графiком мал.1.5 [3] визначаiмо клас фiльтра, n=6.
Доцiльно вибрати наступну схему прототипу:

Навантаження фiльтра на клемах 2-2 R2=200Ом. Вхiд фiльтра (клеми 1-1) навантажено на бiльший опiр 200 Ом, тому можна вважати r1=
, i параметри фiльтра-прототипу знаходити з таблицi 1.10 [3].
Вибираiмо котушкиВа iндуктивностiВа з добротнiстю Q=100
![]()
1=0,48;
2=2,87;
3=1,85;
4=2,6;
5=1,6;
6=1,62,Ва
0,25неп
Користуючись формулами таблицi 1.13 [3] переходимо вiд елементiв прототипу
n до елементiв фiльтра
пФ;
мкГн;
Ва1/Ом;
мкГн;
пФ;
Ом;
пФ;
мкГн;
1/Ом;
мкГн;
пФ;
Ом;
пФ;
мкГн;
1/Ом;
мкГн;
пФ;
Ом
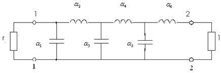
Електрична схема фiльтра без облiку втрат в елементах маi вигляд

Величина втрат у смузi пропущення фiльтра:
0,25неп=2,17дБ
Через те, що нормальний рядiмностей не мiстить конденсаторiв менш 1пФ, при виготовленнi фiльтра слiд реалiзувати iмностi З2, З4, З6 на конденсаторах З2=З4=З6=1пФ iз наступним пiдстроюванням контурiв фiльтра. Необхiдно врахувати також, що З1=Свых+З1тАЩ, тобто конденсатор
З1тАЩ = З1 - Свых= 38 пФ тАУ 2 пФ = 36 пФ.
2.8 Розрахунки УПЧ
у вхiдному каскадi й у якостi аперiодичних каскадiв використовуiмо транзистор КТ340А, який маi наступнi характеристики:
![]()
![]()
![]()
![]()
![]()
![]()
![]()
![]()
Визначаiмо допомiжнi параметри:
![]()
![]()
Визначаiмо g -, b -, c -, i |Y| - параметри:
,
,ВаВаВа ![]()
,
,ВаВаВаВаВа ![]()
,ВаВаВаВаВаВа ![]()
,
,
,ВаВаВаВа ![]()
Визначаiмо коефiцiiнт стiйкого посилення:

Розраховуiмо коефiцiiнт пiдсилення промiжного аперiодичного каскаду:

Обчислюiмо коефiцiiнт пiдсилення каскаду, навантаженого на ФСРЖ:
![]()
де m1 =1 тАУ коефiцiiнт включення контуру в колекторний ланцюг,
m2 тАУ коефiцiiнт включення контуру в ланцюг бази транзистора наступного каскаду:

Визначимо необхiдне число аперiодичних каскадiв:

Таким чином, число аперiодичних каскадiв рiвно
.
Здiйснюiмо розрахунки кiнцевого одноконтурного резонансного каскаду, настроiного на fПЧ., використовуiмо транзистор КТ340А.
Спочатку обчислюiмо критичнi значення еквiвалентного загасання контуру:

![]()
![]()
а тАУ мiнiмально припустиме з погляду стабiльностi форми частотноi характеристики, визначаiтьсявiдношенням еквiвалентноi iмностi контуру каскаду до iмностi внесеноi в контур транзистором.Ва
в = 0,1 тАж 0,3
м = 1,0 тАж 1,5
![]()
Задавшись числом виборчих систем, визначаiмо необхiдне еквiвалентне загасання контурiв пропущення, що забезпечують смугу:
![]()
φ(m) тАУ вибираiмо з табл. 6.1 [2, стор. 272]. Тодi:
![]()
Отриманi значення d ' i d" порiвнюiмоз еквiвалентним загасанням контуру dЭ.
Тому що dЭ< d ', те в цьомувипадку режим максимального посилення каскаду при заданiй смузi пропущення виявляiться реалiзованим без обмежень.
Максимальне посилення досягаiться при наступномувиборi параметрiв схеми:
m2 тАУ коефiцiiнт включення контуру в ланцюг бази транзистора наступного каскаду:

Еквiвалентна iмнiсть контуру рiвна
![]()
Щоб забезпечити потрiбне еквiвалентне загасання контуру, його шунтирують резистором iз провiднiстю:
![]()
Визначаiмо параметри елементiв контурiв (iндуктивностi й власноiiмностi контуру):
РЖндуктивнiсть котушки
![]()
РДмнiсть конденсатора контуру
![]()
де СМ тАУ iмнiсть монтажу.
Визначимо коефiцiiнт пiдсилення одноконтурного каскаду на частотi настроювання контуру по формулi:
![]()
Тому що Кoк< Кущ, то каскад iстiйким.
2.9 Розрахунок детектора

Рисунок 6 тАУ Схема дробового детектора
РДмностi зв'язаних контурiв
Ваi
Варiвнi й вибираються з дiапазону 200 тАУ 250 пФ.Вiзьмемо iхню iмнiсть 200 пФ. РЖндуктивностi контурiв також рiвнi й обчислюються по формулi:

Тепер визначимо коефiцiiнти зв'язку мiж
Ваi
,
Ваi
по вираженнях:


Вхiдний опiр детектора визначаiться по формулi:

Тепер визначаiмо навантаження детектора:

Постiйна часу ланцюга рiвна:
, звiдси

РЖндуктивнiсть котушки зв'язки визначаiться як:
![]()
Коефiцiiнт пiдключення транзистора К контуру визначаiться з умови рiвностi внесених опорiв з боку детектора й транзистора:

РДмностi, шунтувальнi навантаження детекторiв рiвнi:

Тепер можемо визначити коефiцiiнт передачi детектора. Для цього спочатку визначимо кут вiдсiчки струму дiодiв:

Тодi крутiсть характеристики детектування рiвна:

Коефiцiiнт передачi детектора рiвний:

Висновок
радiомовний приймач параметри
В даному курсовому проектi мною був розрахований радiомовний приймач дiапазону КВ тАУ 1 за заданими вхiдними даними. Мною були розрахованi деякi його параметри, такi як: смуга пропускання, припустимий коефiцiiнт шуму, вхiдний ланцюг, пiдсилювач радiочастоти, перетворювач радiочастоти, УПЧ та фiльтр зосередженоi селекцii. Провiвши розрахунки я закрiпив своi знання з радiоприймальноi технiки.
Вместе с этим смотрят:
IP-телефония. Особенности цифровой офисной связи
РЖсторiя звтАЩязку та його розвиток
Автоматика, телемеханика и связь
Анализ режимов автоматического управления

