Преобразование сигналов и помех радиотехническими цепями
Курсовая работа
"Преобразование сигналов и помех радиотехническими цепями"
Таганрог 2011 год
1. Отклик на выходе резонансного усилителя и детектора радиотехнического звена при воздействии радиоимпульса
При нахождении отклика на радиоимпульс

на выходе резонансного усилителя воспользуемся методом комплексной огибающей.
Коэффициент передачи резонансного усилителя можно записать в следующем виде
,
где Kmax = 10 тАУ коэффициент усиления при резонансе,
Ва- обобщенная расстройка контура.
Обозначим
, тогда 
- расстройка контура,
- постоянная времени контура.

Спектральная плотность комплексной огибающей на входе резонансного усилителя определяется как: [1.c]

На выходе:
.
Заменяя
Вана р определим комплексную огибающую сигнала на выходе резонансного усилителя с помощью обратного преобразования Лапласа
.
Изображение комплексной огибающей представлено двумя слагаемыми. Второе из них отличается знаком и множителем
, следовательно комплексная огибающая тоже может быть представлена двумя слагаемыми.
Второе слагаемое будет отличаться от первого знаком и сдвигом во времени на
. Первое слагаемое при t < 0 равно нулю, второе при t < tu также равно нулю.
В интервале
можно написать

Найдем оригинал, пользуясь теоремой разложения. Полюса подынтегральной функции равны
.
Производная знаменателя равна
.
Находя вычеты в точках
Ваможно определить
Вана интервале
:

Аналогичным способом можно получить выражение для
на интервале t > tu

или

Найдем модуль и аргумент комплексной огибающей напряжения
. Для этого сначала определим модуль и аргумент выражения ![]()
.

Таким образом, можно записать выражения для огибающей радиоимпульса на выходе резонансного усилителя

Выражение для начальной фазы
Ванапряжения на выходе резонансного усилителя выглядит так:

Радиоимпульс на выходе резонансного усилителя можно описать следующим образом:

На выходе амплитудного детектора в соответствии с заданной характеристикой детектирования имеем

![]()
Далее учитывая соотношения
,
,
Ваможно построить согласованные во времени временные диаграммы воздействующего радиоимпульса, радиоимпульса на выходе резонансного усилителя, отклик на радиоимпульс на выходе детектора, которые приведены на рисунках 2, 3 и 4 соответственно.
Рис. 2. Воздействующий радиоимпульс

Рис. 3. Радиоимпульс на выходе резонансного усилителя

Рис. 4. Отклик на радиоимпульс на выходе детектора
2. Спектральная плотность радиоимпульса на входе и выходе резонансного усилителя
Как известно, спектральная плотность прямоугольного импульса определяется выражением [1, с. 37]:
.
Пользуясь свойствами преобразования Фурье, определим спектральную плотность входного радиоимпульса
.
Рассматривая область только положительных частот, получим выражения для модуля и аргумента спектральной плотности радиоимпульса на входе усилителя:
.
Спектральная плотность импульса на выходе резонансного усилителя определяется следующим образом
,
где
ВатАУ комплексный коэффициент передачи линейной цепи, равный
.
Тогда спектральная плотность сигнала на выходе резонансного усилителя имеет вид:

Модули спектральной плотности радиоимпульсов на входе и выходе резонансного усилителя изображены на рисунках 5 и 6 соответственно, причем спектральная плотность рассчитана только для положительных частот. Она будет симметрична относительно нулевой частоты.

Рис. 5. Модуль спектральной плотности радиоимпульса на входе резонансного усилителя

Рис. 6. Модуль спектральной плотности радиоимпульса на выходе резонансного усилителя
3. Спектральная плотность мощности и корреляционная функция шума на выходе резонансного усилителя
Спектральную плотность мощности шума на выходе резонансного усилителя рассчитаем по следующей формуле:

спектральный мощность усилитель резонансный
График зависимости
приведен на рис. 7.
Для нахождения корреляционной функции необходимо применить обратное преобразование Фурье к спектральной плотности мощности
.
Вычислив интеграл, получим следующее выражение [1.]
. (9)
Подставив численные значения, получим следующее выражение
.
Корреляционная функция шума на выходе изображена на рисунке 8.

Рис. 7. Спектральная плотность мощности шума на выходе резонансного усилителя

Рис. 8. Корреляционная функция шума на выходе резонансного усилителя
4. Одномерная плотность вероятности шума на входе и выходе детектора при отсутствии сигнала
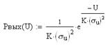
На выходе резонансного усилителя одномерная плотность вероятности шума подчиняется нормальному закону
,
Определим ![]()
![]()
Ввых(0)=![]()

или
В-1.
Соответствующий график приведен на рис. 9.
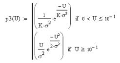
Для нахождения одномерной плотности вероятности на выходе воспользуемся формулой (11.17) и 11.26 из [1, с. 335,337]:
Формула для линейного детектора.

Формула для квадратичного детектора.

Подставляя соответствующее значение для дисперсии, получаем


Где К тАУ коэффициент учитывающий параметр вольтамперной характеристики диода, и сопротивление нагрузки на выходе детектора. Я предположил К=10. Соответствующий график зависимости
Ваприведен на рисунке 10.

Рис. 9. Одномерная плотность вероятности шума на входе детектора

Рис. 10. Одномерная плотность вероятности шума на выходе детектора
Реализации случайных процессов на входе и выходе детектора рассчитаны по методике, предложенной в указаниях к данной работе и приведены на рис. 11 и 12 соответственно.

Рис. 11. Реализация шума на входе детектора

Рис. 12. Реализация шума на выходе детектора
5. Вероятность превышения напряжением на выходе детектора значения сигнала, соответствующего концу импульса
Сигнал на выходе детектора в конце импульса (при
) имеет следующее значение:
.
Вероятность превышения напряжением на выходе детектора этого значения можно определить, вычислив площадь под кривой
Вав пределах от этого значения до бесконечности.
Таким образом

Итак, вероятность превышения напряжением на выходе детектора значения сигнала,соответствующего концу импульса составляет не более 50.1%.
6. Отношение мощности сигнала к мощности шума на входе и выходе детектора при амплитуде сигнала на выходе резонансного усилителя, соответствующей концу импульса
Отношение сигнал/шум на входе детектора определяется следующим образом [1, с. 341]:
.
Так как
,
, то
.
Отношение сигнал/шум на выходе детектора можно определить по формуле [1, с. 341]:
![]()
Таким образом
.
Заключение
При нахождении отклика на радиоимпульс на выходе резонансного усилителя мы воспользовались методом комплексной огибающей.
Вычисление комплексной огибающей значительно проще, чем непосредственное вычисление сигнала, т. к. изображение комплексной огибающей имеет вдвое меньше полюсов, чем изображение сигнала. Это облегчает вычисление оригинала и обосновывает целесообразность выбора данного метода. Отклик на радиоимпульс на выходе резонансного усилителя отличается от входного радиоимпульса. Искажения происходят очевидно из-за переходных процессов в резонансном усилителе. Длительность переходных процессов 3фк ≈ 23 мкс (фк =1/Дщ0.707), поэтому они не успевают закончиться к концу импульса.
Из анализа графиков для модуля спектральной плотности радиоимпульса на входе и выходе резонансного усилителя видно, что главный максимум сместился влево. Это объясняется расстройкой контура относительно несущей частоты.
При рассмотрении графиков спектральной плотности мощности шума и корреляционной функции шума на выходе резонансного усилителя видно, что удвоенная площадь под первой кривой равна значению дисперсии шума на выходе резонансного усилителя. Это подтверждает правильность произведенных расчетов и построенных графиков.
Из рассмотрения кривых одномерных плотностей вероятности шума, видно что площадь под кривыми близка к единице, т.е. выполняется условие нормировки, а вероятность превышения уровня 3уu не превосходит 1%.
Отношение сигнал шум на входе детектора получилось около 0.5, а на выходе ухудшилось стало 0.153.
Список литературы
1. Гоноровский И.С., Радиотехнические цепи и сигналы. Учебник для вузов. М.: Радио и связь, 1986.
2. Корн Г., Корн Т., Справочник по математике для научных работников и инженеров. М. 1968.
Вместе с этим смотрят:
IP-телефония. Особенности цифровой офисной связи
РЖсторiя звтАЩязку та його розвиток
Анализ режимов автоматического управления
Архитектуры реализации корпоративных информационных систем
