Виды запасов и их назначение
1. Понятие материального запаса, причины их создания
1.1 Понятие материального запаса
1.2 Причины создания материальных запасов
2. Виды материальных запасов
2.1 Виды запасов по отношению к логистическим функциям
2.2 Виды запасов по функциональному назначению
2.3 Виды запасов по структурной роли в системе управления запасами
3. Нормирование производственных запасов
4. Основные системы управления запасами
4.1 Система с фиксированным размером заказа
4.3 Система с фиксированным интервалом времени между заказами
4.4 Сравнение основных систем управления запасами
Заключение
Список использованной литературы
Приложения
ВведениеЗапасы представляют собой один из важнейших факторов обеспечения постоянства и непрерывности воспроизводства. Эту важную роль играют все составные части совокупного материального запаса, в том числе товарно-материальные запасы, находящиеся у предприятия отраслей обращения. Общепринятым является отнесение продуктов труда к товарным запасам у предприятий отраслей обращения от момента их поступления на эти предприятия до момента погрузки на транспортные средства для отправки или непосредственной передачи потребителям. Непрерывность производства требует, чтобы постоянно находилось достаточное количество сырья и материалов, для полного удовлетворения потребностей производства в любой момент их использования. Поэтому необходимость бесперебойного снабжения производства в условиях непрерывности спроса и дискретности поставок, обуславливает создание на предприятиях материальных запасов. Несмотря на то, что сейчас идет тенденция ускорения оборачиваемости запасов на предприятие, а следовательно и снижение размеров запасов, вплоть до работы с колес, запасы по-прежнему занимают главную роль в обеспечении предприятия нормальными ритмичными условиями работы. Их всестороннее изучение и правильное понимание сущности товароматериальных запасов, их значения и роли в экономике предприятий и объединений, стоит в ряду важнейших проблем по экономии и рациональному использованию материальных ресурсов страны и задач по совершенствованию материально-технического снабжения народного хозяйства.
1. Понятие материального запаса, причины их создания
1.1 Понятие материального запаса
Понятие материального запаса является одним из ключевых в логистике. Взятое из природы сырье, прежде чем в виде готового изделия попасть к конечному потребителю, перемещается, соединяется с другими материалами, подвергается производственной обработке. Продвигаясь по материало-проводящей цепи сырье (а впоследствии полуфабрикат и готовый продукт) периодически задерживается, ожидая своей очереди вступления в ту или иную производственную операцию.
Общепринятая формулировка гласит: материальные запасы - это находящиеся на разных стадиях производства и обращения продукция производственно-технического назначения, изделия народного потребления и другие товары, ожидающие вступления в процесс производственного или личного потребления.
Если бы вся цепь участников, обеспечивающих превращение первичного сырья в изделия народного потребления и продвижения этих изделий, работала как единый механический конвейер, время ожидания можно было бы практически свести к нулю. Однако в реальной жизни обойтись без такого ожидания нельзя. Создание запасов всегда сопряжено с расходами. Вот основные виды затрат, связанных с созданием и содержанием запасов:
замороженные финансовые средства;
расходы на содержание специально оборудованных помещении;
оплата труда специального персонала;
постоянный риск порчи, хищения.
Наличие запасов - это расходы. Однако отсутствие запасов - это тоже расходы, только выраженные в форме разнообразных потерь. К основным видам потерь, связанных с отсутствием запасов, относят:
потери от простоя производства;
потери от отсутствия товара на складе в момент предъявления спроса;
потери от закупки мелких партий товаров по более высоким ценам и др.
Несмотря на то, что содержание запасов сопряжено с определенными затратами, предприниматели вынуждены их создавать, т.к. отсутствие запасов может привести к еще большей потери прибыли.
1.2 Причины создания материальных запасовОсновные мотивы создания материальных запасов это:
Вероятность нарушения установленного графика поставок (непредсказуемое снижение интенсивности входного материального потока). В этом случае запас необходим для того, чтобы не остановился производственный процесс, что особенно важно для предприятий с непрерывным циклом производства.
Возможность колебания спроса (непредсказуемое увеличение интенсивности выходного потока). Спрос на какую-либо группу товаров можно предсказать с большой долей вероятности. Однако прогнозировать спрос на конкретный товар гораздо сложнее. Поэтому, если не иметь достаточного запаса этого товара, не исключена ситуация, когда платежеспособный спрос не будет удовлетворен, то есть клиент уйдет с деньгами и без покупки.
Сезонные колебания производства некоторых видов товаров. В основном это касается продукции сельского хозяйства. Например, урожай картофеля в России убирается в начале осени. Потоки же этого клубнеплода идут по товаропроводящим цепям круглый год. Следовательно, где - то должен накапливаться запас.
материальный запас управление логистический
Скидки за покупку крупной партии товаров также могут стать причиной создания запасов (некоторые наши соотечественники хранят дома сравнительно большие запасы продовольствия именно по этой причине).
Спекуляция. Цена на некоторые товары может резко возрасти. Предприятие, сумевшее предвидеть этот рост, создаст запас с целью получения прибыли за счет повышения рыночной цены.
Издержки, связанные с оформлением заказа. Процесс оформления каждого новою заказа сопровождается рядом издержек административного характера (поиск поставщика, проведение переговоров с ним, командировки, междугородние переговоры и т.п.). Снизить эти затраты можно сократив количество заказов, что равносильно увеличению объема заказываемой партии и, соответственно, повышению размера запаса.
Возможность равномерного осуществления операций по производству и распределению. Эти два вида деятельности тесно взаимосвязаны между собой: распределяется то, что производится. При отсутствии запасов интенсивность материальных потоков в системе распределения колеблется в соответствии с изменениями интенсивности производства. Наличие запасов в системе распределения позволяет осуществлять процесс реализации более равномерно, вне зависимости от ситуации в производстве. В свою очередь, наличие производственных запасов сглаживает колебания в поставках сырья и полуфабрикатов, обеспечивает равномерность процесса производства.
Возможность немедленного обслуживания покупателей. Выполнить заказ покупателей можно одним из следующих способов:
произвести заказанный товар;
закупить заказанный товар;
выдать заказанный товар немедленно из имеющегося запаса.
Последний способ является, как правило, наиболее дорогим, так как требует содержания запаса. Однако в условиях конкуренции возможность немедленного удовлетворения заказа может оказаться решающей в борьбе за потребителя.
Сведение к минимуму простоев производства из-за отсутствия запасных частей. Поломки оборудования, разнообразные аварии могут привести при отсутствии запасов деталей к остановке производственного процесса. Особенно это важно для предприятий с непрерывным процессом производства, так как в этом случае остановка производства может обойтись слишком дорого.
Упрощение процесса управления производством. Речь идет о создании запасов полуфабрикатов на различных стадиях производственного процесса внутри предприятия. Наличие этих запасов позволяет снизить требования к степени согласованности производственных процессов на различных участках, а, следовательно, и соответствующие издержки на организацию управления этими процессами.
Перечисленные причины свидетельствуют о том, что предприниматели, как в торговле, так и в промышленности вынуждены создавать запасы, так как в противном случае увеличиваются издержки обращения, то есть уменьшается прибыль.
2. Виды материальных запасов
2.1 Виды запасов по отношению к логистическим функциям
Понятие запаса пронизывает все области материального производства, так как материальный поток на пути движения от первичного источника сырья до конечного потребителя может накапливаться в виде запаса на любом участке. Причем, управление запасами на каждом из участков имеет свою специфику.
Запасы в снабжении - это материальные ресурсы, находящиеся в логистических каналах (цепях) от поставщиков до складов материальных ресурсов товаропроизводителя, предназначенные для обеспечения производства готовой продукции.
Производственные запасы - формируются в организациях-потребителях, это запасы материальных ресурсов и незавершенного производства, поступившие к потребителям и не подвергнутые переработке, находящиеся на предприятиях сферы материального производства, предназначенные для производственного потребления и позволяющие обеспечить бесперебойность производственного процесса.
Сбытовые (товарные) запасы находятся у организаций-изготовителей на складах готовой продукции, а также в каналах сферы обращения, это запасы готовой продукции, транспортные запасы, находящиеся на складах ГП фирмы производителя и в дистрибутивной сети и предназначенные для продажи.
Складские запасы - запасы продукции, находящиеся на складах различного типа и уровня определенных звеньев логистической системы, как внутрифирменных, так и логистических посредников.
Транспортные запасы (запасы в пути, транзитные запасы) - это запасы материальных ресурсов, незавершенного производства или готовой продукции, находящиеся в процессе транспортировки от одного ЗЛС к другому или в пределах одного ЗЛС.
Грузопереработка - это специфический складской запас, формирующийся без логистической операции хранения (например, перегрузка в одном транспортном узле с одного вида транспорта на другой, консолидация, сортировка и т.д.).
2.2 Виды запасов по функциональному назначениюТекущие запасы - соответствуют уровню запаса в любой момент учета. Он может совпасть с максимальным желательным запасом, пороговым уровнем или гарантийным запасом. Предназначен для обеспечения непрерывности процесса производства или сбыта между двумя очередными поставками.
Страховой (гарантийный запас) - предназначен для сокращения логистических и финансовых рисков, связанных с непредвиденными колебаниями спроса на готовую продукцию, невыполнением договорных обязательств по поставкам материальных ресурсов (нарушением сроков, объемов поставок, качества поставляемых МР и т.п.), сбоями в производственно-технологических циклах и другими непредвиденными обстоятельствами. Страховой запас является величиной постоянной и в нормальных условиях - неприкосновенной.
Подготовительный запас - часть производственного (сбытового) запаса, предназначенная для подготовки материальных ресурсов и готовой продукции к производственному или личному потреблению. Наличие данного вида запаса вызвано необходимостью выполнения определенных логистических операций по приемке, оформлению, погрузке-разгрузке, дополнительной подготовке (растариванию, чистке, сушке, рихтовке и т.п.) к потреблению.
Сезонные запасы - это запасы материальных ресурсов и готовой продукции, создаваемые и поддерживаемые при явно выраженных сезонных колебаниях спроса или характера производства, транспортировки. Сезонные запасы должны обеспечить нормальную работу организаций и бесперебойность производственного потребления на время сезонного перерыва в производстве, потреблении и транспортировки.
Запасы продвижения - готовой продукции формируются и поддерживаются в дистрибутивных каналах для быстрой реакции на проводимую фирмой маркетинговую политику продвижения товара на рынок, обычно сопровождаемую широкомасштабной рекламой в средствах массовой информации. Эти запасы (чаще всего для товаров широкого потребления: аудио - и видеотехники, табачных изделий и т.п.) должны удовлетворять возможное резкое увеличение спроса на ГП фирмы.
Спекулятивные запасы - обычно создаются фирмами для материальных ресурсов (компонентов, полуфабрикатов) в целях защиты от возможного повышения цен на них или введения протекционистских квот или тарифов.
Устаревшие (неликвидные) запасы - образуются вследствие ухудшения качества товаров во время хранения, а также морального износа, вследствие несовпадения логистических циклов в производстве и дистрибьюции с жизненным циклом товара. В этом случае морально устаревшие товары не находят сбыта.
2.3 Виды запасов по структурной роли в системе управления запасамиМаксимальный запас - нормативный уровень запаса, экономически обоснованный как верхний показатель объема запаса.
Граничный запас - минимальный (контрольный) уровень запасов, при достижении которого необходимо их пополнение, так называемая точка заказа или уровень выдачи заказа.
Гарантированный запас - запас, который постоянно поддерживается на случай непредвиденных заказов тАжтАжтАж
Поточный запас - фактический уровень запаса в любой момент времени.
Классификация запасов производства достаточно условная и предназначена в основном для их контроля и пополнения.
3. Нормирование производственных запасов
Управление запасами заключается в решении двух основных задач:
определение размера необходимого запаса, то есть нормы запаса;
создание системы контроля за фактическим размером запаса и своевременным его пополнением в соответствии с установленной нормой.
В данном параграфе рассмотрим вопросы нормирования запасов.
Нормой запаса называется расчетное минимальное количество предметов труда, которое должно находиться у производственных или торговых предприятий для обеспечения бесперебойного снабжения производства продукции или реализации товаров.
При определении норм товарных запасов используют три группы методов: эвристические, методы технико-экономических расчетов и экономико-математические методы.
Эвристические методы предполагают использование опыта специалистов, которые изучают отчетность за предыдущий период, анализируют рынок и принимают решения о минимально необходимых запасах, основанные, в значительной степени, на субъективном понимании тенденций развития спроса. В качестве специалиста может выступать работник предприятия, постоянно решающий задачу нормирования запасов. Используемый в этом случае метод решения задачи (из группы эвристических) называется опытно-статистическим.
В том числе, если поставленная задача в области управления запасами достаточно сложна, может использоваться опыт не одного, а нескольких специалистов. Анализируя затем по специальному алгоритму их субъективные оценки ситуации и предлагаемые решения, можно получить достаточно хорошее решение, мало чем отличающееся от оптимального. Этот метод также относится к группе эвристических и носит название метода экспертных оценок.
Метод технико-экономических расчетов. Сущность метода заключается в разделении совокупного запаса в зависимости от целевого назначения на отдельные группы, например, номенклатурные позиции (или ассортиментные позиции - в торговле). Далее для выделенных групп отдельно рассчитывается страховой, текущий и сезонный запасы, каждый из которых, в свою очередь, может быть разделен на некоторые элементы. Например, страховой запас на случай повышения спроса или нарушения сроков завоза материалов (товаров) от поставщиков. Метод технико-экономических расчетов позволяет достаточно точно определять необходимый размер запасов, однако трудоемкость его велика.
Экономико-математические методы. Спрос на товары или продукцию чаще всего представляет собой случайный процесс, который может быть описан методами математической статистики. Одним из наиболее простых экономико-математических методов определения размера запаса является метод экстраполяции (сглаживания), который позволяет перенести темпы, сложившиеся в образовании запасов в прошлом, на будущее. Например, имея информацию о размере запасов за прошедшие четыре периода, на основе метода экстраполяции можно определить размер запасов на предстоящий период по формуле:
Y5 =0,5 (2Y4+Yз-Y1),
где Y1, Y3, Y4 - уровни запаса (в сумме, днях или процентах к обороту), соответственно, за первый, третий и четвертый периоды;
Y5 - нормативный уровень запаса на предстоящий, пятый период.
Прогноз уровня запасов для шестого периода (Y6) можно сделать, используя формулу
Y6 =0,5 (2Y5+Y4-Y2).
Международная практика управления запасами свидетельствует, что темп роста запасов должен несколько отставать от темпа роста спроса.
Такое соотношение между запасами и спросом обеспечивает возможность ускорения оборачиваемости оборотных средств.
4. Основные системы управления запасами
Логистическая система управления запасами проектируется с целью непрерывного обеспечения потребителя каким-либо видом материального ресурса. Реализация этой цели достигается решением следующих задач:
учет текущего уровня запаса на складах различных уровней,
определение размера гарантийного (страхового) запаса,
расчет размера заказа,
определение интервала времени между заказами.
Когда отсутствуют отклонения от запланированных показателей и запасы потребляются равномерно, в теории управления запасами разработаны 2 основные системы управления, которые решают поставленные задачи, соответствуя цели непрерывного обеспечения потребителя материальными ресурсами. Такими системами являются:
1) система управления запасами с фиксированным размером заказа;
2) система управления запасами с фиксированным интервалом времени между заказами.
4.1 Система с фиксированным размером заказаОсновополагающий параметр системы - размер заказа. Он зафиксирован и не меняется ни при каких условиях работы системы. Определение размера заказа является первой задачей, которая решается при работе с данной системой управления запасами.
В практике зачастую возникает ситуация, когда размер заказа определяется по каким-либо частным организационным соображениям. Например, удобство транспортировки или возможность загрузки складских помещений. Между тем в системе с фиксированным размером заказа объем закупки должен быть не только рациональным, но и оптимальным, т.е. самым лучшим. Поскольку мы рассматриваем проблему управления запасами в логистической системе отдельной организации или экономики в целом, то критерием оптимизации должен быть минимум совокупных затрат на хранение запасов и повторение заказа. Данный критерий учитывает три фактора, действующих на величину названных совокупных затрат:
используемая площадь складских помещений;
издержки на хранение запасов;
стоимость оформления заказа.
Эти факторы взаимосвязаны между собой, направление их взаимодействия неодинаково в разных случаях. Желание максимально сэкономить затраты на хранение запасов вызывает рост затрат на оформление заказов. Экономия затрат на повторение заказа приводит к потерям, связанным с содержанием излишних складских помещений, и снижает уровень обслуживания потребителя. При максимальной загрузке складских помещений увеличиваются затраты на хранение запасов, более вероятен риск появления неликвидных запасов.
Использование критерия минимизации совокупных затрат на хранение запасов и повторный заказ не имеют смысла, если время исполнения заказа чересчур продолжительно, спрос испытывает существенные колебания, а цены на заказываемые сырье, материалы, полуфабрикаты сильно колеблются. В таком случае нецелесообразно экономить на содержании запасов. Это приведет к невозможности непрерывного обслуживания потребителя, что не соответствует цели функционирования логистической системы управления запасами. Во всех других ситуациях определение оптимального размера заказа обеспечивает уменьшение издержек на хранение запасов без потери качества обслуживания.
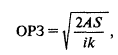
4.2 Оптимальный размер заказа
затраты на разработку Оптимальный размер заказа по критерию минимизации совокупных затрат на хранение запаса и повторение заказа рассчитывается по формуле Вильсона:
![]()
ОРЗ - оптимальный размер заказа, шт.;
А - затраты на поставку единицы заказываемого продукта, руб.;
S - потребность в заказываемом продукте, шт;
i - затраты на хранение единицы заказываемого продукта, руб. /шт.
Затраты на поставку единицы заказываемого продукта включают элементы:
стоимость транспортировки заказа;
условий поставки;
стоимость контроля исполнения заказа;
затраты на выпуск каталогов;
стоимость форм документов.
Формула представляет собой первый вариант формулы Вильсона. Он ориентирован на мгновенное пополнение запаса на складе. В случае если пополнение запаса на складе производится за некоторый промежуток времени, то формула корректируется на коэффициент, учитывающий скорость этого пополнения:

k - коэффициент, учитывающий скорость пополнения запаса на складе.
Исходные данные для расчета параметров системы следующие:
потребность в заказываемом продукте, шт.;
оптимальный размер заказа, шт.;
возможная задержка поставки, дни.
время поставки, дни.
Гарантийный (страховой) запас позволяет обеспечивать потребность на время предполагаемой задержки поставки. При этом под возможной задержкой поставки подразумевается максимально возможная задержка. Восполнение гарантийного запаса производится в ходе последующих поставок через использование второго расчетного параметра данной системы - порогового уровня запаса.
Пороговый уровень запаса определяет уровень запаса, при достижении которого производится очередной заказ. Величина порогового уровня рассчитывается таким образом, что поступление заказа на склад происходит в момент снижения текущего запаса до гарантийного уровня. При расчете порогового уровня задержка поставки не учитывается.
Третий основной параметр системы управления запасами с фиксированным размером заказа - максимальный желательный запас. В отличие от предыдущих параметров он не оказывает непосредственного воздействия на функционирование системы в целом. Этот уровень запаса определяется для отслеживания целесообразной загрузки площадей с точки зрения критерия минимизации совокупных затрат.
4.3 Система с фиксированным интервалом времени между заказамиВ системе фиксированным интервалом времени между заказами заказы делаются в строго определенные моменты времени, которые отстоят друг от друга на равные интервалы, например один раз в месяц, один раз в неделю.
Определить интервал времени между заказами можно с учетом оптимального размера заказа. Оптимальный размер заказа позволяет минимизировать совокупные затраты на хранение запаса и повторение заказа, а также достичь наилучшего сочетания взаимодействующих факторов, таких, как используемая площадь складских помещений, издержки на хранение запасов и стоимость заказа. Расчет интервала времени между заказами можно производить следующим образом:
![]()
N - количество рабочих дней в году, дни;
S - потребность в заказываемом продукте, шт.;
ОРЗ - оптимальный размер заказа, шт.
Полученный с помощью формулы интервал времени между заказами не может рассматриваться как обязательный к применено. Он может быть скорректирован на основе экспертных оценок. Например, при полученном расчетном результате (4 дня), возможно, использовать интервал в 5 дней, чтобы производить заказы один раз в неделю.
Исходные данные для расчета параметров системы следующие:
потребность в заказываемом продукте, шт.;
интервал времени между заказами, дни;
время поставки, дни;
возможная задержка поставки, дни.
Гарантийный (страховой) запас, позволяет обеспечивать потребность на время предполагаемой задержки поставки (под возможной задержкой поставки также подразумевается максимально возможная задержка). Восполнение гарантийного запаса производится в ходе последующих поставок через пересчет размера заказа таким образом, чтобы его поставка увеличила запас до максимального желательного уровня.
Так как в рассматриваемой системе момент заказа заранее определен и не меняется ни при каких обстоятельствах, постоянно пересчитываемым параметром является именно размер заказа. Его вычисление основывается на прогнозируемом уровне потребления до момента поступления заказа на склад организации. Расчет размера заказа в системе с фиксированным интервалом времени между заказами производится по формуле:
РЗ = МЖЗ - ТЗ + ОП,
РЗ - размер заказа, шт.;
МЖЗ - максимальный желательный запас, шт.;
ТЗ - текущий запас, шт.;
ОП - ожидаемое потребление за время поставки, шт.
Как видно из формулы, размер заказа рассчитывается таким образом, что при условии точного соответствия фактического потребления за время поставки ожидаемому поставка пополняет запас на складе до максимального желательного уровня. Разница между максимальным желательным и текущим запасом определяет величину заказа, необходимую для восполнения запаса до максимального желательного уровня на момент расчета, а ожидаемое потребление за время поставки обеспечивает это восполнение в момент осуществления поставки.
4.4 Сравнение основных систем управления запасамиМожно предположить идеальную ситуацию, в которой исполнение заказа происходит мгновенно (другими словами, время поставки равно нулю). Тогда заказ можно производить в момент, когда запасы материальных ресурсов на складе равны нулю. При постоянной скорости потребления обе рассмотренные системы управления запасами (с фиксированным размером заказа и фиксированным интервалом времени между заказами) становятся одинаковыми, так как заказы будут производиться через равные интервалы времени, а размеры заказов всегда будут равны друг другу. Гарантийные запасы каждой из 2 систем сведутся к нулю.
Сравнение рассмотренных систем управления запасами приводит к выводу о наличии у них взаимных недостатков и преимуществ. Система с фиксированным размером заказа требует непрерывного учета текущего запаса на складе. Напротив, система с фиксированным интервалом времени между заказами требует лишь периодического контроля количества запаса. Необходимость постоянного учета запаса в системе с фиксированным размером заказа можно рассматривать как основной ее недостаток. Напротив, отсутствие постоянного контроля за текущим запасом в системе с фиксированным интервалом времени между заказами является ее основным преимуществом перед первой системой.
Следствием преимущества системы с фиксированным интервалом времени между заказами является то, что в системе с фиксированным размером заказа максимальный желательный запас всегда имеет меньший размер, чем в первой системе. Это приводит к экономии на затратах по содержанию запасов на складе за счет сокращения площадей, занимаемых запасами, что составляет преимущество системы с фиксированным размером заказа перед системой с фиксированным интервалом времени между заказами Преимущества и недостатки рассмотренных систем управления запасами сведены в табл.1.
Использование той или иной системы зависит от следующих обстоятельств:
Если издержки управления запасами значительные и их можно вычислить, то следует применять систему с фиксированным размером заказа.
Если издержки управления запасами незначительные, то более предпочтительной оказывается система с постоянным уровнем запасов.
При заказе товаров поставщик налагает ограничения на минимальный размер партии. В этом случае желательно использовать систему с фиксированным размером заказа, поскольку легче один раз скорректировать фиксированный размер партии, чем непрерывно регулировать его переменный заказ.
Однако если налагаются ограничения, связанные с грузоподъемностью транспортных средств, то более предпочтительной является система с постоянным уровнем запасов.
Система с постоянным уровнем запасов более предпочтительна и в том случае, когда поставка товаров происходит в установленные сроки.
Система с постоянным уровнем и система с двумя уровнями часто выбирается тогда, когда необходимо быстро реагировать на изменение сбыта.
Заключение
Запасы служат для того, чтобы ослабить непосредственные зависимости между поставщиком, производителем и потребителем. Наличие запасов позволяет обеспечить производство сырьем, поставляемым оптимальными по размеру партиями, а также производить переработку сырья в готовую продукцию партиями оптимального размера. Запасы сырья ослабляют зависимость поставщика сырья от производителя продукции, запасы готовой продукции ослабляют зависимость производителя этой продукции от ее потребителя, а запасы полуфабрикатов, находящихся в процессе производства, снижают зависимость друг от друга отдельных цехов.
При глубоком понимании сущности производственных запасов, являющихся частью совокупного продукта, несомненно возникает интерес к ним, как к экономическому фактору, в котором заложены важные элементы достижения высоких конечных результатов деятельности не только отдельных предприятий, но и целых отраслей народного хозяйства.
Список использованной литературы
1. Волгин В.В. Склад: организация, управление, логистика.5-е изд., перераб. и доп. - М., 2004. - 736 с.
2. Гаджинский А.М. Логистика: Учебник для высших и средних специальных учебных заведений. - 2-е изд. - М., 1999. - 228 с.
3. Крушельницкая О.В. Управление материальными ресурсами: Учебное пособие. - К., 2007. - 162 с.
4. Ланкина В.Е. Менеджмент организации: учебное пособие. - Т., 2006. - 304 с.
5. Пономарёва Ю.В. Логистика: Научное пособие: Издание 2-е; перед. и дополненное - К., 2005. - 328 с.
Приложения
А) Таблица 1
Сравнение основных систем управления запасами.
| ВаСистема | ВаПреимущества | ВаНедостатки |
| С фиксированным размером заказа | Меньший уровень максимального желательного запаса Экономия затрат на содержание запасов на складе за счет сокращения площадей под запасы | Ведение постоянного контроля наличия запасов на складе |
| С фиксированным интервалом времени между заказами | Отсутствие постоянного контроля наличия запасов на складе | Высокий уровень максимального желательного запаса Повышение затрат на содержание запасов на складе за счет увеличения площадей под запасы |
Вместе с этим смотрят:
РЖдентифiкацiя водо-дисперсiйних фарб
РЖмiджмэйкiнг у дыскрэдытацыйных тэхналогiй
РЖнформацiйнi системи в маркетингу
РЖнформацiйне i програмне забезпечення контАЩюнктурних дослiджень