Рефрактометрический метод в экспресс-анализе лекарственных форм
ГОУ ВПО Первый Московский государственный медицинский университет имени И.М. Сеченова
Кафедра фармацевтической химии с курсом токсикологической химии
Курсовая работа на тему:
"Рефрактометрический метод в экспресс-анализе лекарственных форм"
Подготовил:
Студент 5 курса 17 группы дневного отделения Жуков А.М.
Проверила:
Щепочкина О.Ю.
Москва, 2011 год
Введени
е
Рефрактометрия, выполняющаяся с помощью рефрактометров, является одним из распространённых методов идентификации химических соединений, количественного и структурного анализа, определения физико-химических параметров веществ.
Области применения этого метода: в пищевой промышленности для измерения содержания спирта в алкогольных продуктах, установления качества пищевых продуктов, в медицине и фармакологии для определения количества глюкозы в биологических жидкостях и лекарственных средств в растворах. Газовые интерференционные рефрактометры применяются для определения состава газов, в частности, для определения содержания горючих газов в воздухе шахт, поиска утечек в сетях газоснабжения.
Выяснить актуальность данного метода анализа лекарственных веществ для среднестатистической аптеки.
Изучить рефрактометрический метод анализа лекарственных веществ;
Выяснить, какие на данный момент существуют рефрактометры;
Выяснить актуальность рефрактометрического метода анализа для аптеки.
Теоретическая част
ь
Рефрактометрия (от лат. refractus - преломленный и греч. metreo - измеряю) - метод анализа, основанный на явлении преломления света при прохождении из одной среды в другую. Преломление света, то есть изменение его первоначального направления, обусловлено различной скоростью распределения света в различных средах.
При этом отношение синуса угла падения луча (α) к синусу угла преломления (β) для двух соприкасающихся сред есть величина постоянная, называемая показателем преломления (n).
Показатель преломления также равен отношению скоростей распространения света в этих средах:

В лабораторных условиях обычно определяют так называемый относительный показатель преломления вещества по отношению к воздуху помещения, где ведется измерение. Показатель преломления измеряют на приборах рефрактометрах различных систем. Обычно измерение показателя преломления на рефрактометрах Аббе, в основу принципа, действия которого положено явление полного внутреннего отражения при прохождении светом границы раздела двух сред с различными показателями преломления.
Диапазон измеряемых показателей преломления при измерении в преходящем свете 1,3-1,7.
Точность измерения показателя преломления должна быть не ниже +2В·10-4.
Величина показателя преломления зависит от природы вещества, длины волны света, температуры, при которой проводится измерение и концентрации вещества в растворе. Измерение показателя преломления проводится при длине волны света 589,3 нм (линия D спектра натрия). Обязательным условием определения показателя преломления является соблюдение температурного режима. Обычно определение выполняется при 20В±0,30С. При повышении температуры величина показателя преломления уменьшается, при понижении - увеличивается. Поправку рассчитывают по следующей формуле:
n1=n20+ (20-t) В·0,0002
Показатель преломления, измеренный при 200С и длине волны света 589,3 нм, обозначается индексом n20.
Показатель преломления как константа может быть использован для идентификации тех лекарственных препаратов, которые по своей природе являются жидкостями. Согласно ФС определяют показатель преломления для идентификации галотана (фторотана), никетамида (диэтиламида кислоты никотиновой), токоферола ацетата, а также жирных и эфирных масел (персикового, касторового, эвкалиптового и др.). Рефрактометрия в фармацевтическом анализе широко используется для количественного определения веществ в растворе, особенно в практике внутриаптечного контроля. Примечание. При концентрации вещества менее 3 - 4% не рекомендуется использовать метод рефрактометрии.
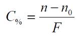
Зависимость показателя преломления от концентрации вещества в процентах выражается формулой:

где n и n0 - показатели преломления раствора и растворителя; С - концентрация вещества в растворе; F - фактор показателя преломления. Показатель преломления раствора складывается из показателя преломления растворителя и показателей преломления растворенных веществ.
Для растворов, содержащих два или более веществ, формула будет иметь следующий вид:
n=n0+n1+n2+тАж
Фактор показателя преломления (F) - это величина прироста показател
я преломления при увеличении концентрации на каждый процент. Значение факторов показателей преломления устанавливают экспериментально для каждого вещества и каждого процента концентрации. У некоторых веществ (калия йодид, магния сульфат, глюкоза безводная) величина фактора постоянная и не зависит от концентрации раствора. Факторы большинства веществ в растворах разных концентраций несколько отличаются друг от друга.
Значения показателей преломления и факторов для различных концентраций растворов лекарственных веществ приведены в рефрактометрических таблицах, которые имеются в руководстве по внутриаптечному контролю. Использование таблиц значительно упрощает расчеты.
Зависимость показателя преломления водных растворов некоторых веществ от концентрации:
рефрактометрия лекарственная форма аптека

Определение концентрации вещества в растворе.
В рефрактометрии используют два способа расчета концентрации вещества в растворе по измеренному показателю преломления.
1. Расчет концентрации по формуле:

Значение фактора показателя преломления берется из рефрактометрических таблиц.
Расчет концентрации по рефрактометрическим таблицам. Измерив показатель преломления, в таблице находят соответствующее ему значение концентрации. Если измеренный показатель преломления в таблице не приведен, проводится интерполирование.
Рефрактометрический метод используется для количественного определения концентрированных растворов.
Концентрированные растворы - это рабочие растворы ЛВ определенной, более высокой концентрации, чем эти растворы прописываются в аптеках.
При приготовлении концентрированных растворов следует избегать концентраций близких к насыщенным, т.к. при понижении температуры раствора возможна кристаллизация растворенного вещества.
Отклонения, допускаемые в концентратах:
при содержании ЛВ до 20% - не более В± 2% от обозначенного процента;
при содержании ЛВ свыше 20% - не более В± 1% от обозначенного процента (Пр. МЗ РФ от 16.10.97).
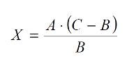
Формулы расчета для исправления концентрации растворов, изготовленных массообъемным способом.
1) Концентрация раствора оказалась выше требуемой.
Объем воды, необходимый для разбавления полученного раствора вычисляют по формуле:

где Х - количество воды, необходимое для разбавления изготовленного раствора (мл.);
А - объем изготовленного раствора (мл.);
В - требуемая концентрация раствора (%);
С - фактическая концентрация раствора (%).
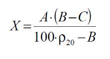
2) Концентрация раствора оказалась ниже требуемой.
Массу ЛВ для укрепления полученного раствора вычисляют по формуле:

где Х - масса вещества, которую следует добавить к раствору (г);
А - объем изготовленного раствора (мл.);
В - требуемая концентрация раствора (%);
С - фактическая концентрация раствора (%);
r20 - плотность раствора при 200С (г/мл, г/см3)
Рефрактометры, наиболее подходящие для аптек.
Рефрактометр ИРФ-454 Б2М
Рефрактометр ИРФ-454Б2М предназначен для измерения показателя преломления и средней дисперсии неагрессивных жидкостей и твердых тел.
Рефрактометр ИРФ-454 Б2М обладает рядом достоинств:
быстротой измерения;
простотой обслуживания;
минимальным расходом исследуемого вещества, что особенно важно при работе с дорогостоящими материалами.
Рефрактометр ИРФ-454 Б2М применяется:
1. В МЕДИЦИНСКИХ УЧРЕЖДЕНИЯХ для определения белка в моче, сыворотке крови, плотности мочи, анализ мозговой и суставной жидкости, плотности субретинальной и других жидкостей глаза. Использование рефрактометра позволяет значительно сократить затраты времени при массовых обследованиях пациентов.
2. В ФАРМАЦЕВТИЧЕСКОЙ ПРОМЫШЛЕННОСТИ рефрактометр ИРФ-454б2м может применяться для исследования водных растворов различных лекарственных препаратов: кальция хлорида (0% и 20%); новокаина (0,5%, 1%, 2%, 10%, 20%, 40%); эфедрина (5%); глюкозы (5%, 25%, 40%); магния сульфата (25%); натрия хлорида (10%); кордиамина и т.д.
3. В ПИЩЕВОЙ ПРОМЫШЛЕННОСТИ:
на сахарных и хлебных заводах, кондитерских фабриках для анализа продуктов и сырья, полуфабрикатов, кулинарных и мучных изделий рефрактометр ИРФ-454 б2м определяет влажность меда (до 20 %)
для определения доли сухих веществ в различных суслах (ГОСТ 5900-73), "промочке", сахароаграровом сиропе, сиропе для мармелада, зефира, кремов и пряников, "тиражки" для пряников;
для определение массовой доли растворимых сухих веществ по сахарозе (BRIX) в продуктах переработки плодов и овощей, для определения процентного содержания жира в твердых продуктах питания (пряники, вафли или хлебобулочных изделий) концентрации солей.
4. ПРИ ОБСЛУЖИВАНИИ ТЕХНИКИ рефрактометр ИРФ-454 Б2М применяется для определения с большей точностью объемной концентрации противокристаллизационной жидкости "ИМ", которая добавляется в авиационное топливо в количестве от 0,1 до 0,3%. Дальнейшая обработка результатов ведется согласно "Методическим рекомендациям по анализу качества ГСМ в гражданской авиации" Ч. II стр.159. Опыт использования рефрактометров показал, что эти приборы значительно сокращаются время и повышают достоверность получения анализов по процентному содержанию жидкости "ИМ" в авиационном топливе.
Технические характеристики:
| Диапазон измерения показателей преломления | от 1,2 до 1,7 |
| Диапазон измерений массовой доли сухих веществ (сахарозы) в растворе | от 0 до 100% |
| Цена деления шкалы показателя преломления | 5х10-4 |
| Предел допускаемой основной погрешности по показателю преломления nD | В±1В·10-4 |
| Габаритные размеры рефрактометра, мм, не более | 170×115×270 |
| Масса рефрактометра, кг, не более | 3,5 |
| Масса рефрактометра с принадлежностями и упаковкой, кг, не более | 4,5 |
| Источник питания | Ва(220В±22) В, 50 или 60 Гц. |
| Диапазон рабочих температур | +10. +40В°С |
Вместе с этим смотрят:
Анализ медицинских информационных систем для лечебно-профилактических учреждений санаторного типа
Ассортимент лекарственных средств для лечения аллергии
Взаимосвязь нарушения осанки в следствии плоскостопия
Возникновение, лечение и профилактика нозокомиальных инфекций, вызванных грибами рода Candida