АСИНДР
МИРЭА (ТУ)Безопасность жизнедеятельности
(раздел гражданская оборона)
ОТЧЕТ
по теме 4.4
Особенности ведения АСИДНР на промышленном объекте в чрезвычайных ситуациях мирного времени.
Практическая работа
Вариант № 1
Взвод: 20
Работу выполнили:
Забненков Д.В.
Семенов Д.А.
Ховавко Д.Ю.
Смирнов Д.А.
Евдокимов А.
Руководитель: Острейко В.И.
Москва 2000.
1. ВОЗМОЖНЫЕ РАЗРУШЕНИЯ И ПОВРЕЖДЕНИЯ ЗДАНИЙ И СООРУЖЕНИЙ ЗАВОДА "ЭЛЕКТРОН" ПРИ ИНТЕНСИВНОСТИ ЗЕМЛЕТРЯСЕНИЯ 7 БАЛЛОВ
Здание цеха № 19 получит умеренные и тяжелые повреждения. Здания цехов № 17, 18 получат легкие и умеренные повреждения.
На электрических подстанциях будет наблюдаться повреждения 25% изоляторов, автоматики, пультов, выключателей. На электрических подстанциях будет на 20% разрыв шин и обрыв проводов. В воздушных линиях на 15% разрушаться опоры и будет обрыв проводов. Подземный кабель разрывов не получит
При повреждении городской сети здание цеха № 19 на нижних этажах будет загазовано на 9%, а на верхних - на 5%. Здания цехов №17, 18 на нижних этажах будут загазованы на 5%, на верхних этажах загазованности наблюдаться не будет.
Система водоснабжения будет готова функционировать на 53%, система электроснабжения - на 75%, система газоснабжения - на 85%, система теплоснабжения - на 77%, транспортная система - на 85%, канализационная система - на 90%, система связи - на 90%.
После восстановительных работ в течении суток система водоснабжения будет функционировать на 80%, система электроснабжения - на 85%, система газоснабжения -на 90%, система теплоснабжения - на 85%, транспортная система - на 90%, канализационная система - на 100%, система связи - на 100%.
№ п/п |
Элемент объекта и его наименование |
Степень повреждения |
Вторичные поражающие факторы |
Выводы |
1 |
7-Б печатных плат |
2-3 |
загазов-ть, пожар |
тек. ремонт |
2 |
5-Б пластмассовый |
2-3 |
загазов-ть, пожар, хим. заражение |
тек. ремонт с примен. СИЗ |
3 |
6-Б гальвано- химический |
1-2 |
загазов-ть, пожар, хим. Заражение |
текущий ремонт |
4 |
11-В сборки узлов |
1-2 |
опасность поражения током |
применение СИЗ ремонт |
5 |
15-Б литейный |
2-3 |
пожар, большие температуры |
тек.ремонт в ср-х инд. защиты |
6 |
18-В термический |
1-2 |
пожар, загазованность |
тек. ремонт с использ. СИЗ |
2. ОЦЕНКА ВОЗНИКНОВЕНИЯ И РАЗВИТИЯ ПОЖАРОВ
2.1. Вероятность возникновения и распространения пожаров
Под плотностью застройки П понимают отношение суммарной площади Sп занимаемой всеми зданиями, к площади территории объекта Sт

№ п/п |
Элемент объекта |
категория пожаро- опасности |
Степень огнестойкости |
n,% |
l,m |
В, |
%при |
L,м |
П,% |
||||||
1 |
10-Б энергетический |
А |
III |
31 % |
29,17 |
23 |
63 |
2 |
11-В сборки у злов |
д |
II |
31 % |
12,5 |
57 |
63 |
3 |
14-Б намоточный |
Г |
III |
31% |
25 |
25 |
63 |
4 |
15-Б литейный |
Г |
III |
31 % |
12,5 |
57 |
63 |
5 |
16-Б элеетроремонтный |
г |
III |
31% |
25 |
25 |
63 |
6 |
18-В термический |
г |
II |
31 % |
20,83 |
27 |
63 |
7 |
20-Б транспортный |
г |
III |
31% |
62,5 |
2 |
63 |
Вероятность распространения пожара - 63%, т.е. будет гореть большинство сохранившихся зданий. Чтобы находиться на территории завода нужно использовать средства защиты от теплового излучения и проводить специальные противопожарные мероприятия по локализации и тушению пожара.
2.2. Оценка пожарной обстановки при разрушении емкостей с пропаном.
2.2.1. Определение величины теплового потока от огненного шара.
Радиус огненного шара
![]()
время его существования
![]()
где М - половина массы сжиженного топлива, т.
Поток излучения q, кВт/м2, от огненного шара, падающей на элемент объекта, определяется по формуле:
q= Е х F x T ,кВт/м2, где Е = 270 кВт/м2 - мощность поверхностной эмиссии огненного шара,
F - коэффициент, учитывающий фактор угла падения
Коэффициент F и проводимость Т определяются по формулам:
![]()
Импульс теплового потока излучения Q, кДж/м2, определяется по формуле: Q = qxt.

r1=390m,
r2=100m,

T1 = 1 - 0,058 ln390 = 0,69,
Т2= 1-0,058 ln100= 0,73,
q1 = 270х0,69х0,0933= 17,4кВт/м2,
q2 = 270х0,73х0,38 = 74,89 кВт/м2,
Q1 = 17,64 х 19,98 = 347,65кДж/м2,
Q2= 74,89 х 19,98 = 1496,4 кДж/м2.
При разрушении емкостей с пропаном люди, находящиеся на расстоянии, меньшем предельного безопасного радиуса, получат ожоги третьей степени.
В здании КБ будет наблюдаться воспламенение бумаги и изоляции.
Штабеля пиломатериалов у цеха 19 могут воспламениться и обуглиться.
2.2.2. Безопасное расстояние от огненного шара для персонала завода.
R - предельно безопасный радиус (радиус эвакуации) для человека
R=3,5xRo, м,
R= 3,5х128,75= 450,625м.
3. ОЦЕНКА ВОЗДЕЙСТВИЯ ВЗРЫВА ГВПС НА ЭЛЕМЕНТЫ ОБЪЕКТА
Радиус зоны детонационной волны рассчитывается по формуле:
![]()
где Q - масса сжиженного газа, т.
Избыточное давление в зоне детонации принимается постоянным и равным а Р = 1700 кПа.
Радиус зоны поражения продуктами взрыва:
R2 = 1,7xR1.
Избыточное давление в зоне действия продуктов взрыва изменяется от 1350 до 300 кПа и определяется по формуле:
![]()
где R - расстояние от центра взрыва до рассматриваемой точки (элемента объекта), м.
Для расчета избыточного давления в зоне действия воздушной ударной волны предварительно определяется
относительная величина:
![]()

При взрыве ГВПС незащищенные люди, находящиеся в зоне действия воздушной ударной волны, получат тяжелые контузии и травмы.
У зданий цехов завода будет сильная и средняя степень разрушения. Оборудование завода также будет с сильной степенью повреждения. Система газо- и водоснабжения, а также канализационная система не будет повреждена. Транспорт, линии связи и ЛЭП будут сильно разрушены. Подземный кабель повреждений не получит.
4. ХИМИЧЕСКАЯ ОБСТАНОВКА НА ЗАВОДЕ В СЛУЧАЕ РАЗРУШЕНИЯ ЕМКОСТЕЙ СО СДЯВ НА ВПС
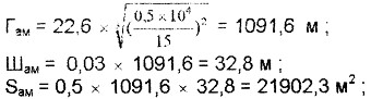
4.1. Глубина, ширина и площадь заражения СДЯВ
Вертикальная устойчивость атмосферы - инверсия.




4.2. Время подхода зараженного облака к объекту

4.3. Продолжительность продолжающего действия СДЯВ

4.4. Граница возможных ОХП
В случае разрушения емкостей с хлором на ВПС завод попадает в зону заражения хлором.
При разрушении емкостей с аммиаком химического заражения на заводе не произойдет.
4.5. Возможные потери людей в ОХП
Возможные потери рабочих, служащих и населения от СДЯВ в очаге поражения будут составлять 10% при условии нахождения на открытой местности и 4%, если люди будут находиться в простейших укрытиях или зданиях.
Выводы: при ликвидации аварии необходимо ограничить выход жидкой фазы, ограничить растекание СДЯВ, снизить скорость испарения, разбавив хлор и аммиак водой. Заблаговременно следует провести следующие мероприятия:
1. Усиление защитных свойств емкости.
2. Поддержание в готовности СИЗ.
3. Обучение.
4.0повещение.
При ликвидации последствий аварии нужно принять меры:
1. Прогнозирование химической обстановки.
2. Разведка и определение очага ОХП.
3. Оценка химической обстановки.
4. Проведение спасательных работ: спасение пострадавших и дегазация.
5. РАДИАЦИОННАЯ ОБСТАНОВКА ПРИ АВАРИИ НА АЭС 5.1. Время подхода радиоактивного облака к заводу

5.2. Возможный уровень радиации на время выпадения радиоактивных веществ на территорию завода

5.3. Возможная доза облучение людей за первые 12 часов после аварии на АЭС

Вывод; Объект попадет в зону загрязнения . Нужно произвести дезактивацию и дегазацию. Для людей, находящихся в укрытиях, доза облучения не опасна.
- МЕРЫ ЗАЩИТЫ ПЕРСОНАЛА ЗАВОДА ОТ СДЯВ И РАДИАЦИОННОГО ЗАРАЖЕНИЯ
Среди защитных мероприятий гражданской обороны, осуществляемых заблаговременно, особо важное место занимает организация оповещение органов гражданской обороны, формирований и населения об угрозе химического и радиоактивного заражений.
Оповещение для своевременного доведения до органов гражданской обороны, формирований населения сигналов, распоряжения и информации гражданской обороны о эвакуации, радиационной опасности, химическом и бактериологическом (биологическом) заражении, угрозе затопления, начале рассредоточения и др.
Эти сигналы и распоряжения доводятся до штабов гражданской обороны объектов централизованно.
Сокращение сроков оповещения достигается внеочередным использованием всех видов связи, телевидения и радиовещания, применением специальной аппаратуры и средств для подачи звуковых и световых сигналов.
Все сигналы передаются по каналам связи и радиотрансляционным сетям, а также через местные радиовещательные станции. Одновременно передаются указания о порядке действий населения и формирований, указываются ориентировочное время начала выпадения радиоактивных осадков, время подхода зараженного воздуха и вид отравляющих веществ.
Сигналы, поданные вышестоящим штабом, дублируются всеми подчиненными штабами.
С целью своевременного предупреждения населения городов и сельских населенных пунктов о возникновении непосредственной опасности радиоактивного и химического заражения и необходимости применения мер защиты установлены следующие сигналы оповещения гражданской обороны: "Воздушная тревога"; "Отбой воздушной тревоги";
"Радиационная опасность"; "Химическая тревога".
При угрозе заражения хлором следует надеть промышленные противогазы марки "В", "М" или гражданские ГП-5, при концентрациях свыше 8,6 мг/л - изолирующие противогазы.
При отравлении хлором пострадавшему следует надеть противогаз и вывести на свежий воздух, сделать ему ингаляцию кислородом, дать подышать нашатырным спиртом. Затем промыть глаза, нос и рот 2%-м раствором соды.
После можно дать теплое молоко с боржоми или содой, кофе. 12
- подготовка к строительству ПВУ
- планирование мероприятий по эвакуации
- накопление СИЗ
- обучение населения
- медицинское обеспечение
- жизнеобеспечение
2. Повышение прочности и устойчивости важнейших элементов объекта и совершенствование технологического процесса.
- заглубленное размещение элементов производства
3. Повышение устойчивости материально-технического снабжения.
- создание филиалов
- разбиение территории на зоны
4. Повышение устойчивости управления объектом.
5. Разработка мероприятий по уменьшению вероятности возникновения вторичных факторов поражения и ущерба от них.
6. Подготовка к восстановлению производства после поражения объекта.
- прогнозирование характера разрушения
8. ПРЕДЛОЖЕНИЯ НШ ГО ПО ОРГАНИЗАЦИИ АСИДНР ПРИ ЛИКВИДАЦИИ ПОСЛЕДСТВИЙ ЗЕМЛЕТРЯСЕНИЯ
При проведении АСИДНР в очаге землетрясения необходимо, прежде всего извлечь из-под завалов, из полуразрушенных и горящих зданий людей, которым оказывают первую медицинскую помощь; устроить в завалах проезды; локализовать и устранить аварии на инженерных сетях, которые угрожают жизни людей или препятствуют проведению спасательных работ; обрушить или укрепить конструкции зданий и сооружений, находящихся в аварийном состоянии; оборудовать пункты сбора пострадавших и медицинские пункты; организуют водоснабжение.
При землетрясениях для проведения АСИНДР привлекаются спасательные команды, отряды механизации работ, аварийно-технические команды, другие Формирования, которые имеют на оснащении бульдозеры, экскаваторы, краны и другие средства механизации.
Вместе с этим смотрят:
Бактериологическое (биологическое) оружиеБезопасность жизнедеятельности
Безопасность жизнедеятельности на ЖД транспорте
Введение в информационную безопасность