Режим труда и отдыха

# 1. Введение.

Совместный труд требует единства при распределении труда по времени - по часам суток, дням недели и более длительными отрезками времени.

В процессе труда работоспособность, т.е. споВнсобВнность чеВнлоВнвека к трудовой деятельности опредеВнленВнного рода, а соответВнственно, и функВнциональное состояВнние орВнгаВннизма подвергаются изВнменениям. ПодВндерВнжаВнние раВнботоспоВнсобВнности на оптиВнмальном уровне - основная цель раВнциоВннального режима труда и отВндыха.

Режим труда и отдыха - это устанавливаемые для кажВндого вида работ поряВндок чередования периодов работы и отВндыха и их продолжительность. РациоВннальный режим - такое соотношение и соВндержаВнние периоВндов работы и отВндыха, при котоВнрых высокая произВнводиВнтельВнность труда соВнчетается с выВнсокой и устойчиВнвой рабоВнтоВнспособВнностью чеВнловека без призВннаВнков чрезмерного утомления в теВнчеВнние длиВнтельного вреВнмени. Такое чередование периодов труда и отдыВнха соблюВндается в разВнличные отрезки времени: в теВнчеВнние рабоВнчей смены, суток, недели, года в соотВнветствии с режимом раВнботы предприятия.

Установление общественно необходимой продолжительности рабочего времени и распределение его по календарным периодам на предприятии достигаются при разработке правил, в которых предусматривается порядок  чередования и продолжительность периода работы и отдыха. Этот порядок принято называть режимом труда  и отдыха.

Один из основных вопросов установления рациональных режимов труда и отдыха - это выявление принципов их разработки.  Таких принципов три;

                • удовлетворение потребности производства;

                 • обеспечение наибольшей работоспособности человека;

                 • сочетание общественных и личных интересов.

Первый  принцип заключается в том, что при выборе  оптимального режима труда и отдыха требуется определить такие параметры, которые способствуют лучшему использованию производственных фондов и обеспечивают наибольшую эффективность производства. Режимы труда и отдыха строятся применительно к наиболее рациональному производственному режиму, с тем чтобы обеспечить нормальное течение технологического процесса, выполнение заданных объемов производства, качественное и своевременное проведение планово-профилактического ремонта и осмотра оборудования при сокращении его простоев в рабочее время.

               Второй принцип гласит, что нельзя строить режимы труда и отдыха без учета работоспособности человека и объективной потребности организма в отдыхе в отдельные периоды его трудовой деятельности.  В целях учета физиологических возможностей человека (в рамках установленных законом предписаний по охране труда и продолжительности рабочего времени) следует  разрабатывать  такой порядок чередования времени труда и отдыха, определять такую их длительность, которые  обеспечивали бы наибольшую работоспособность и производительность труда.

               Третий принцип предполагает, что режим труда и отдыха должен быть ориентирован на учет и обеспечение в определенной степени удовлетворения личных интересов трудящихся и отдельные категорий работников (женщин, молодежи, учащихся и т.д.).

Таким образом, при выборе оптимального режима труда и отдыха нужен комплексный социально-экономический подход. Целью подобного подхода является полная и всесторонняя оценка его оптимизации с точки зрения  учета личных и общественных интересов, интересов производства и физиологических возможностей человека.

               В связи с этим следует отметить, что научно обоснованным режимом труда и отдыха на предприятиях является такой режим, который наилучшим образом  обеспечивает  одновременное сочетание повышения работоспособности и производительности труда, сохранение здоровья  трудящихся,  создания благоприятных условий для всестороннего развития человека.

# 2. Физиологические основы построения режимов          труда  и         отдыха.

Разработка режима труда и отдыха основана на реВншеВннии следуюВнщих вопроВнсов: когда должны назначаться пеВнрерывы и сколько; каВнкой проВндолжительности должен быть каждый; каВнково содержание отВндыха.

Динамика работоспособности человека - это научная основа разВнраВнботки раВнционального режима труда и отдыха. ФиВнзиологи устаВнноВнвили, что работоспособВнность - величина переВнменная и связано это с изменеВнниями характера протекания физиологических и психиВнческих функций в организме. Высокая работоспособность при любом виде деятельности обеспечивается только в том случае, когда трудовой ритм совпадает с естественной периодичностью суточного ритма физиологических функций организма. В связи с установившейся суточной периодикой жизнедеятельности в различные отрезки времени организм человека неодинаково реагирует на физическую и нервно-психическую нагрузку, а его работоспособность и производительность труда в течение суток подвержены определенным колебаниям. В соответствии с суточным циклом наивысший уровень работоспособности отмечается в утренние и дневные часы тАУ с 8 до 20 часов. Минимальная работоспособность тАУ в ночные часы. Особенно неблагоприятен промежуток от 1 до 3тАУ4 часов ночи.

       Работоспособность человека в течение рабочей смены характеВнриВнзуВнется фазВнным развитием. Основными фазами являются:

       • Фаза врабатывания, или нарастающей работоспособности. В теВнчеВнние этого пеВнриода происходит перестройка физиологических функций от предшествуюВнщего вида деятельности человека к произВнводственной. В зависимости от харакВнтера труда и индивидуальных особенностей эта фаза длится от нескольких минут до 1,5 часа.

       • Фаза устойчивой высокой работоспособности. Для нее харакВнтерно, что в орВнгаВннизме человека устанавливается относительная стаВнбильность или даже некотоВнрое снижение напряженности физиолоВнгичеВнских функций. Это состояние сочетаВнется с высокими трудовыми покаВнзателями ( увелиВнчение выработки, уменьшение брака, снижение затрат рабочего времени на выполнение операций, сокращение проВнстоев оборудования, ошибочВнных действий ). В зависимости от стеВнпени тяВнжести труда фаза устойчивой работоспособности может удерживаться в течение 2-2,5 и более часов.

       • Фаза развития утомления и связанного с этим падения работоВнспоВнсобности длится от нескольких минут до 1-1,5 часа и характеВнризуется ухудшением функВнциоВннального состояния организма и техВннико-эконоВнмиВнческих показателей его трудовой деятельности.

       Динамика работоспособности за смену графически представляет соВнбой криВнвую, нарастающую в первые часы, проходящую затем на доВнстигнутом высоком уровне и убывающую к обеденному перерыву. ОпиВнсанные фазы работоспособВнности повторяются и после обеда. При этом фаза врабатывания протекает быстрее, а фаза устойчивой раВнбоВнтоспоВнсобности ниже по уровню и менее длиВнтельна, чем до обеда. Во второй половине смены снижение работоспособности наступает раньше и разВнвивается сильнее в связи с более глубоким утомлеВннием.

Для динамики работоспособности человека на протяжении суток, недели хаВнрактерна та же закономерность, что и для работоспособВнности в течении смены. В различное время суток организм челоВнвека по разному реагирует на физическую и нервно-психическую нагрузку. В соотВнветствии с суточным циклом работоспоВнсобВнности наивысший ее уровень отмечается в утренние и дневные часы: с 8 до 12 часов первой половины дня, и с 14 до 17 часов второй. В вечерние часы работоВнспоВнсобВнность поВннижается, достигая своего миВннимума ночью.

В дневное время наименьшая работоспособность, как правило, отВнмеВнчается в период между 12 и 14 часами, а в ночное время - с 3 до 4 чаВнсов.

При построении недельных  режимов труда и отдыха следует исходить из того, что работоспособность человека не является стабильной величиной в течение недели, а подвержена определенным изменениям. В первые дни недели работоспособность постепенно увеличивается в связи с постепенным вхождением в работу.

       Достигая наивысшего уровня на третий день, работоспособность постепенно снижается, резко падая к последнему дню рабочей недели. В зависимости от характера и степени тяжести труда колебания недельной работоспособности бывают большими или меньшими.

       Основываясь на знании изменений недельной кривой работоспособности, можно решать ряд практических вопросов. Характер кривой недельной работоспособности служит обоснованием целесообразности установления рабочего периода продолжительностью не более шести дней.

При пятидневной рабочей неделе с двумя выходными днями в субботу и воскресенье характер изменений работоспособности сохраняется. Однако в связи с двухдневным перерывом в работе может происходить некоторое нарушение динамического стереотипа, и период

врабатывания в начале недели может быть более значительным.

В годовом цикле, как правило, наиболее высокая работоспособВнность наблюВндается в середине зимы, а в жаркое время года она сниВнжается.

Годовые режимы труда и отдыха предусматривают рациональное чередование работы с периодами длительного отдыха. Такой отдых необходим, потому что ежедневный и недельный отдых не предотвращает полностью накопление утомления. Ежегодный отпуск устанавливается  в  законодательном порядке.  Продолжительность  его

зависит от тяжести труда, но не может быть менее 15 календарных дней. Отпуск продолжительностью до 24 дней целесообразно использовать единовременно, а при большей длительности - в два этапа.

В соответствии с естественным суточным ритмом природных процессов должен осуществляться и порядок чередования смен: утренняя, вечерняя, ночная. Однако, на ряде предприятий, широко использующих труд женщин, хорошо зарекомендовал себя обратный порядок чередования, который позволяет удлинить ежегодный отдых после ночной смены: бригада из ночной смены заступает на работу в вечернюю, а потом в утреннюю смену.

Разрабатывать новые режимы труда и отдыха и совершенствовать существующий следует исходя из особенностей изменения работоВнспоВнсобности. Если время работы будет совпадать с периодами наиВнвысшей работоспособности, то раВнботник сможет выполнить максимум работы при минимальном расходовании энерВнгии и минимальном утомВнлении.

       # 3. Виды режима труда и отдыха.

       Режим работы предприятия предусматривает количество смен в сутки, длиВнтельность смены в часах, продолжительность рабочей недели и общее время раВнботы предприятия, цеха в течение календарного пеВнриода ( сутки, месяц, квартал, год ). исВнходя из этого режимы труда и отдыха подразделяются на внутрисменные, суточные, недельные и гоВндовые.

       Внутрисменный режим труда и отдыха - порядок чередования вреВнмени раВнботы и отдыха в течение рабочей смены. Основой для разработки любого внутрисменного режима труда и отдыха является динамика работоспособности. При разработке внутрисменного режима работы с учетом условий производства  и  особенностей каждого конкретного вида работ  определяется общая величина времени на отдых, распределение этого времени на протяжении смены (перерывы в работе и их продолжительность), характер отдыха.

Необходимо различать общее время на отдых и личные надобВнности ( определяемое соответствующими нормативами) и время на регламентированные перерывы.

Продолжительность отдыха в течении смены ( регламентированВнные переВнрывы) зависит в основном от тяжести труда и условий его осущестВнвления. В соответствии с рекомендациями НИИ труда при определении  продолжительности отдыха в течение рабочего времени необходимо учитывать следующие десять производственных  факторов, вызывающих утомление: физические усилия, нервное напряжение, темп работы, рабочее положение, монотонность работы, микроклимат,  загрязненность воздуха, производственный шум, вибрация, освещение. В зависимости от силы влияния каждого из этих факторов на организм человека устанавливается время на отдых.

Внутрисменный режим труда и отдыха должен включать в себя пеВнреВнрыв на обед и кратковременные перерывы на отдых. Отдых должен быть регламентироВнванным, так как он более эффективен, чем переВнрывы, возникающие нерегулярно, по усмотрению работника.

Обеденный перерыв связан с естественной необходимостью организма в отдыхе после нескольких часов работы и потребностью в приеме пищи. Он предотвращает или уменьшает снижение работоспособности, отмечающееся в середине рабочего дня в связи с утомлением, накопившимся за первую половину смены.   Эффективность его зависит от правильного выбора времени для перерыва, длительности, содержания и организации.

При установлении обеденного перерыва рекомендуется руководствоваться следующими требованиями: предоставлять обеденный перерыв в середине рабочей смены или с отклонением до одного часа;  продолжительность обеденного перерыва устанавливать в 40-60 мин., с тем что бы работник  использовал не более 20 мин. для приема пищи, а остальное время - на отдых. Она складывается, с одной

стороны, из количества времени,   необходимого для восстановления физиологических функций до определенного уровня, обеспечивающего снятие утомления, а с другой стороны, из количества времени, необходимого для нормального приема пищи. Если обеденный  перерыв устанавливается вскоре после начала рабочего дня (во время фазы врабатывания или в фазе высокой устойчивости работоспособности), то он не приносит пользы и даже вреден, так как препятствует нормальному формированию рабочей установки организма. При непрерывных технологических процессах (химические, металлургические, хлебопекарные и другие предприятия), на подземных работах в угольной промышленности во время обеденного перерыва надо предусматривать подмену.

Кратковременные перерывы на отдых  предназначены для уменьВншеВнния развиВнвающегося в процессе труда утомления. В отличие от обеВнденВнного перерыва и пеВнреВнрывов на личные надобности они являются частью рабочего времени и назнаВнчаВнются одновременно для коллекВнтива всего цеха или участка. При их разработке предварительно необходимо в каждом случае решать следующие вопросы: общее время на регламентированные перерывы; длительность одного перерыва; время назначения перерывов;  содержание отдыха (активный, пассивный, смешанный).

Количество и длительность кратковременных перерывов опредеВнляют исходя из характера трудового процесса, степени интенсивности и тяВнжести труда. ОриенВнтиром для установления начала перерывов на отдых служат моменты снижения работоспособности. Что бы предупредить ее спад, перерыв на отдых назначается до наступления утомления организма.

Таким образом, установить время введения перерывов на отдых на том или ином производственном участке без специального обследования  невозможно.  Но  есть  одно  общее  положение,  которое

надо учитывать при назначении перерывов: чем тяжелее и напряженнее работа, тем раньше по отношению к началу стадии развивающегося утомлёния следует вводить регламентированные перерывы. Во второй половине рабочего дня в связи с более глубоким утомлением количество перерывов на отдых должно быть больше, чем в первой половине смены. Физиологами установлено, что для большинства видов работ оптимальная продолжительность перерыва 5-10 минут. Именно этот перерыв позволяет восстановить физиологические функции, снизить утомление и сохранить рабочую установку. На работах, требующих большого напряжения и внимания, рекомендуются более менее более частые, но короткие перерывы (5-10 мин.); на тяжелых работах с большими физическими усилиями - менее частые, но более длительные перерывы (до 10 мин.), на особо тяжелых работах необходимо сочетать работу в течение 15 -20 минут с отдыхом той же продолжительности.

Кратковременность перерывов позволяет не только задерживать развитие утомления, но и сохранять рабочую  установку.  При глубоком утомлении необходимо идти как по линии увеличения количества перерывов, так и по линии увеличения их длительности. Но перерывы длительностью более 20 минут нарушают уже сложившееся  состояние врабатывания.

Отдых может быть активным и пассивным. Пассивный отдых (в положении сидя, лежа) неВнобВнходим при тяжелых физических работах, связанных с постоянными пеВнреходами или выполВнняемых стоя, особенно при неблагоприятных услоВнвиях внешней среды. Активный отдых рекомендуется на работах, протеВнкающих в благоприятных условиях труда. Наиболее эффективной формой активного отдыха является производственная гимнастика, то есть выполнение специального комплекса гимнастических упражнений. Активный отдых ускоряет  восстановление  сил,  так  как при смене деятельности энергия,

затраченная работающим, органом, восстанавливается быстрее.

В каждом конкретном случае подбирают соответствующий типовой режим либо по показателю утомления, установленному на основании данных физиологических исследований, либо по показателю количественной оценки условий труда, полученному расчетным способом на основе оценки отдельных факторов условий труда.

Суточный режим труда и отдыха организуют с учетом закономерВнноВнсти суточВнного ритма физиологических процессов человека. Он предВнусматривает устаноВнвлеВнние сменности работы, времени начала и окончаВнния работы в сменах и проВндолжиВнтельности смен.

В соответствии с суточным циклом физиологических функций орВнгаВннизма, наиВнвысший уровень работоспособности отмечается в утренВнние и дневные часы. В этой связи наиболее эффективной является раВнбота в первую смену.  Однако, применяется двух- и трехсменная работа, а в условиях непрерывных технологических процессов трехсменная работа обязательна. При многоВнсменной работе рекомендуется приВнменять граВнфики сменности, максимально соВнкращающие работу в ночВнное время, коВнторое характеризуется минимальной рабоВнтоспособВнностью.        Характер недельных и годовых режимов труда и отдыха определяется принятой системой графиков выхода на работу (или графиков сменности).

При односменном режиме работа должна начинаться не ранее 8-9 чаВнсов, при двухсменной - не ранее 6 часов ( первая смена ), а оканчиВнваться не позднее 0 чаВнсов (вторая смена). При трехсменном режиме начало работы ночной смены должно быть не позднее 0 часов.

Недельный ( месячный) режим труда и отдыха включает график выВнходов на работу (график сменности). Он определяется количеством раВнбочих и нерабочих дней и часов за неделю ( месяц), порядком череВндоваВнния рабочих дней и дней отВндыха, чередованием работы в различВнные смены.

Графики (расписания) выходов рабочих и служащих на работу имеют-немаловажное значение для рациональной организации труда, так как являются формой увязки совместного труда по времени, а также влияют на степень использования установленного на предприятии оборудования. Они имеют и важное социальное значение, так как для каждого трудящегося определяют режим труда и отдыха в течение недели и более длительных календарных периодов.

При построении графиков сменности необходимо учитывать слеВндующие основные требования:

       - продолжительность ежедневного отдыха между окончанием раВнботы и ее началом в следующий день (смену) не должна быть меньше 12 часов;

       - на сменных работах при неодинаковой продолжительности еженедельВнного отдыха  более длительный отдых целесообразно предоВнставлять перед ночВнной сменой или после нее;

       - график выхода на работу должен создавать условия для наиВнбоВнлее целеВнсообразного использования внерабочего времени.

При выборе графиков выходов на работу применительно к отдельным отраслям и видам работ следует руководствоваться специальными постановлениями и рекомендациями.

Суточный режим работы предприятия может быть односменным, двухсменным, трехсменным или четырехсменным.

Переход на многосменный режим работы должен производиться одновременно с ускорением перестройки работы организаций и учреждений сферы обслуживания и социально-культурных отраслей. В целях повышения заинтересованности рабочих, мастеров и других специалистов, работающих в вечернюю и ночную смену, для них вводится ряд дополнительных моральных и материальных стимулов, льгот и преимуществ.

Организация многосменной работы требует соблюдения следующих шести условий:

               тАУравенство объема продукции и постоянство работающего состава по сменам;

               тАУодинаковый уровень планирования, технического руководства и обслуживания во всех сменах;

               тАУчеткое разграничение ответственности работающих в разных сменах за соблюдение технологического процесса, сохранность предметов и средств труда, а также продукции;

               тАУточный учет выработки смен, участков и отдельных рабочих;

               тАУправильно организованная сдача и приемка смен;

               тАУстрогое соблюдение выхода рабочих по сменам согласно установленному графику.

       Основные параметры графика сменности для многосменных работ продолжительность рабочей смены, количество бригад и смен, порядок и частота чередования в сменах, продолжительность межсменного отдыха, рабочего периода.

       При разработке графиков выхода на рабочую необходимо учитывать следующие пять требований:

               тАУсоблюдение установленной законом недельной нормы рабочих часов;

               тАУучет специфических особенностей технологии производства и возможностей городского транспорта;

               тАУпостоянство и равномерность чередования работы и отдыха, что обеспечивает лучший отдых, повышение выносливости и работоспособности;

               тАУучет физиологических закономерностей работоспособности человека в различное время суток.

  Графики сменности, в которых продолжительность рабочих смен и отдыха имеет отклонения от нормальной, должны предусматривать в пределах месяца доВнполнительные дни отдыха и отработки;

       при двух- и трехсменной работе переход из одной смены в друВн-

гую рекоВнмендуется не чаще чем через 5-6 дней;

       порядок чередования смен, по возможности, целесообразно осущестВнвлять в соответствии с суточным ритмом природных процесВнсов: утро - вечер - ночь.

Для того чтобы график выхода на работу был рациональным, при определении продолжительности рабочего периода необходимо иметь в виду динамику работоспособности в зависимости от продолжительности смены, характера и условий труда. Нормальная продолжительность рабочего времени рабочих и служащих на предприятиях, стройках, в учреждениях, организациях не может превышать 41 часа в неделю .

При разработке графиков очень важно также  решить вопрос о структуре рабочего периода. Различают две формы структуры рабочего периода: простую и сложную. Одним из наиболее важных признаков простой формы является то, что трудящийся в течение рабочего периода работает только в одной смене, сложной - чередование смен в течение рабочего периода.

От правильности определения продолжительности рабочего периода и его структуры во многом зависит продолжительность междусменного отдыха и длительность выходных.

Применяется большое число графиков выхода на работу. Приспособленные к местным производственным условиям, они различаются по продолжительности рабочей смены, количеству сменных бригад, частоте и порядку чередования бригад в сменах и т.д.

Правильно построенные графики выходов на работу должны удовлетворять следующим основным требованиями

               тАУпродолжительность ежедневного отдыха должна быть не менее двойной продолжительности времени работы, предшествующей отдыху. Ежедневный отдых (при сменной работе) меньшей продолжительности  может  быть допущен  в виде исключения, однако в

любом случае он не может быть менее 8 часов;

               тАУна сменных работах при неодинаковой продолжительности еженедельного отдыха более длительный отдых целесообразно предоставлять перед ночной сменой или после нее;

               тАУвремя работы и время отдыха надо чередовать регулярно и равномерно;

               тАУв графиках сменности, в которых продолжительность рабочих смен и отдыха имеет отклонения от нормальной, следует в пределах месяца предусматривать дополнительные дни отдыха и отработки;

               тАУпри двух- и трехсменных работах переходы из одной смены в другую нельзя проводить чаще чем через пять шесть дней.

На практике применяются примерные графики выходов на работу при пятидневной рабочей неделе с двумя выходными днями .

Основные вопросы режима рабочего времени на предприятиях регламентируются правилами внутреннего трудового распорядка, которые утверждаются трудовыми коллективами по представлению администрации и профсоюзного комитета.

# 3.1. Гибкое рабочее время (ГРВ)

В последнее время находят себе применение нестандартные реВнжимы труда и отдыха, и в частности режим гибкого рабочего времени (ГРВ). Их особенностью и ценностью является то, что они способВнствуют оптиВнмального сочетанию общеВнственных и личных интересов, повышению содержательности и улучшению услоВнвий труда, более полной реализаВнции резервов роста эффективности производВнства.

Режим гибкого рабочего времени  - это такая форма организации раВнбочего времени, при которой для  отдельных работников или колВнлектиВнвов подразделеВнний устанавливают единое время ежедневного обязательВнного их присутствия на своих рабочих местах и интервалы рабочего времени, продолжительность котоВнрых раВнботник определяет по своему усмотрению.  Вместе  с  тем  обязательным  условием является

полная отраВнботка установленного законом суммарного колиВнчества рабоВнчих часов в течение определенного учетного периода (дня, неВндели, месяца и др.).        Особенностью ГРВ является предоставление работающим опредеВнленВнной саВнмоВнстоятельности в регулировании времени начала, окончаВнния и общей продолВнжиВнтельности рабочего дня при одновременном обеспечеВннии нормального хода произВнводства.

Рабочее время при ГРВ делится на две части: гибкий (скользящий)и фиксированный периоды рабочего времени. Гибкий - в начале и конце рабочего дня, когда работник может самостоятельно изменять время наВнчала и окончания работы, обеспечивая,  однако,  наработку  общего баВнланса отработанного времени за учетный период. Фиксированный пеВнриод рабочего времени - часть рабочего дня (смены), когда все работВнники обязаны трудиться на своих рабочих местах. Это позволяет обеспеВнчить нормальную деятельность подразделений, поддерживать необходиВнмые контакты между работниками.

Скользящий (гибкий) график может применяться для работниц как при пятидневной, шестидневной рабочей неделе, так и при других режимах работы на предприятиях всех отраслей народного хозяйства. Единого режима использования графика не существует. Его применение зависит от производственных и местных. условий. Он может быть введен в различных вариантах с различными режимами рабочего времени и времени отдыха. Однако непременным условием для всех графиков должно быть соблюдение годового баланса рабочего, времени, рассчитанного из семичасового рабочего дня при шестидневной рабочей неделе.

Скользящий (гибкий) график работы, как правило, должен предусматривать время, когда работницы обязаны находиться на своем рабочем месте; время, в пределах которого работницы вправе начинать и заканчивать работу по своему усмотрению, а также перерывы (не менее  30  минут   и   не   более  2  часов ),  которые  работницы  должны

использовать для отдыха и питания. Эти перерывы в рабочее время (время нахождения на предприятии) не засчитываются.

Непременным условием эффективного использования скользящего (гибкого) графика является точный учет отработанного времени и действенный контроль за наиболее полным и рациональным использованием рабочего времени каждой работницей.

Как показывает практика ряда предприятий а организаций различных отраслей народного хозяйства, есть реальные возможности использовать скользящие (гибкие) графики не только для женщин, имеющих детей, но и для более широкого контингента трудящихся. По неполным данным, в целом по стране режимы гибкого рабочего времени введены примерно на 80 промышленных предприятиях, в научно-исследовательских и проектно-конструкторских организациях различных министерств и ведомств.

В условиях ГРВ минимальная продолжительность времени работы за день должна совпадать с продолжительностью фиксированного рабочего времени.

Обязательным элементом режима ГРВ является учетный период - каВнлендарное время, в течение которого должна быть обеспечена полная отработка установленного законом количества часов (рабочий день, раВнбочая неделя и т. д.). В зависимости от этого могут быть гибкие рабочие смена, неделя, месяц.

Опыт и результаты применения различных типов режимов ГРВ как в нашей стране, так и за рубежом свидетельствуют о большой их социальВнно - экономической целесообразности.

Однако следует отметить, что эффективность работы трудового колВнлектива в условиях применения режима ГРВ во многом зависит от праВнвильного учета характера работы на конкретных рабочих местах, в подВнразделениях (участках, цехах, отделах) и определения категорий, для коВнторых возможен и целесообразен перевод на режим ГРВ.

Возможность работать по режиму ГРВ имеется практически для всех видов работников, если его применение не ведет к нарушению технологии производственного (или управленческого) процесса, к нарушению производственных связей и дезорганизации или ухудшению работы других производственных подразделений, ущемлению интересов сторонних организаций и отдельных граждан, не наносит материального ущерба народного хозяйства.

В связи с тем, что режим ГРВ предполагает значительную индивидуаВнлизацию режимов рабочего времени, основным условием его применеВнния является достаточная автономность рабочих мест, контролируемость результатов работы исполнителя (объема, качества) .

На промышленных предприятиях основным ограничительным факВнтором для применения режима ГРВ является непрерывность технологиВнческих процессов. В условиях прерывного производственного цикла его внедрение возможно как при индивидуальной, так и при бригадной и поточной организации труда. Распространение бригадной организации труда способствует переходу на режим ГРВ, так как она повышает уроВнвень взаимозаменяемости членов бригады, уровень взаимного контроля за использованием фонда рабочего времени.

При принятии решения о подготовке подразделения, предприятия к переходу на режим ГРВ необВнходимо обеспечить высокий уровень организации производства, труда и трудовой дисциплины. Поэтому работа по переводу на режим ГРВ должна быть совмещена с осуществлением комплекса мероприятий по повышению уровня организации труда на конкретных рабочих местах, участках, в цехах и подразделениях.

Практика показывает, что внедрение ГРВ влечет за собой необходиВнмость введения систем индивидуального планирования рабочего времеВнни и объема выполняемых работ. Планы должны быть конкретными для каждого работающего в режиме ГРВ на месяц, неделю, смену. При

этом должна быть налажена и система контроля и самоконтроля за выполнеВннием индивидуальных планов.

Исходя из продолжительности принятого учетного периода  и ряда других условий, различают несколько типов построенных режимов гибкого рабочего времени. Применяется гибкий рабочий день, гибкая рабочая неделя и особенно гибкий рабочий месяц.

Каждый из этих режимов может быть в двух вариантах в зависимости от того, переносится на следующий учетный период некоторое количество недоработанных (переработанных) рабочих часов или нет.

Режимы гибкого рабочего времени эффективны только в том случае, если при переходе на них учтены особенности производства, условия и характер труда той или иной категории работников и если вводятся они там, где это действительно и целесообразно.

# 4. Вывод. Социально тАУ экономическая эффективность улучшения режимов труда и отдыха.

При рационализации суточных режимов труда и отдыха эффективность во многом зависит от  того, насколью правильно учитываются закономерности суточного ритма физиологических процессов человека, т.е. заключается в том, что при выборе  оптимального режима труда и отдыха требуется определить такие параметры, которые способствуют лучшему использованию производственных фондов и обеспечивают наибольшую эффективность производства.

Опыт и результаты применения различных типов режимов ГРВ как в нашей стране, так и за рубежом свидетельствуют о большой их социальВнно - экономической целесообразности.

Таким образом, при выборе оптимального режима труда и отдыха нужен комплексный социально-экономический подход. Целью подобного   подхода   является   полная   и   всесторонняя   оценка   его

оптимизации с точки зрения  учета личных и общественных интересов, интересов производства и физиологических возможностей человека.

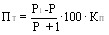
Пример: Рассмотрим экономическую эффективность совершенствования режимов труда и отдыха.

На конвейере часового предприятия труд сборщиц характеризуется высокой напряженностью и монотонностью. Изучение режима труда и отдыха показало, что кроме обеденного перерыва никаких регламентированных перерывом пауз не используется. С целью улучшения изменения режимов труда и отдыха предлагается ввести пятиминутные перерывы для отдыха через каждый час работы. Проведенные после реализации данного мероприятия исследования показали, что уровень выполнения работы у работниц увеличился с 3 часов до 4,5 часов за смену.

Рассчитаем рост производительности труда, обусловленный данным мероприятием:

     

где Р и Р1 - фазы максимальной работоспособности,

      Кп - коэффициент приведения (равен 0,2)

;  

т.е. производительность труда повысилась на 7,5%

       

Вместе с этим смотрят:

Роль и значение PR и социальной рекламы в практике социальной работы
Роль пропаганды в жизни общества
Россия в формационном подходе
Русская и советская социология