Сбор социологической информации
Министерство общего и профессионального образования
Российской Федерации
САМАРСКИЙ ГОСУДАРСТВЕННЫЙ ТЕХНИЧЕСКИЙ УНИВЕРСИТЕТ
Кафедра Информационных технологий
Д о к л а д
на тему:
Сбор социологической информации.
Sorry за орфографию,
написал за два вечера.
Студентов II-АИТ-7 Синяева М.Г.
Савиновой С.В.
Научный руководитель: Рожанский Э.Л.
Самара, 1998
После того как определены объект и предмет социологического исследования, установлены те их стороны и черты, которые требуют особого внимания. После этого встаёт задача выявления количественных параметров этих сторон и черт. Для этого, говоря языком социологов, необходимо пройти через полевой этап исследования. Название данного этапа удачно отражает сущность этого процесса.
В ходе полевого этапа исследования для сбора социологической информации могут применяться разного рода методы. Каждый из них имеет свои особенности, предполагает определённые требования. В чём они состоят и какими приёмами надо овладеть, чтобы умело использовать эти методы на практике? Рассмотрению этих вопросов и посвящён наш доклад.
1. Метод опроса.
Как ни коротки слова: тАЬдатАЭ, тАЬнеттАЭ, всё же они требуют самого серьёзного размышления.
Пифагор
Метод опроса тАУ это не изобретение социологов. Во всех отраслях науки, где для получение информации исследователь обращается к человеку с вопросами, он имеет дело с различными модификациями этого метода. Например, врачи, выясняя течение болезни и предшествующее состояние здоровья пациента, проводят анамнестические опросы. Юристы, выясняя у свидетелей обстоятельства дела, также пользуются методом опроса, специально изучают его психологические аспекты и возможности оценки достоверности ответов. Журналисты, педагоги, работники служб социального обеспечения и многих других сфер социальной практики используют этот метод для получения интересующей их информации.
Специфика метода состоит прежде всего в том, что при его использовании источником первичной социологической информации является человек (респондент) тАУ непосредственный участник исследуемых социальных процессов и явлений. Существует две разновидности опроса, связанные с письменной или устной формой общения с респондентами тАУанкетирование и интервьюирование. В их основе лежит совокупность предлагаемых опрашиваемых вопросов, ответы на которые и образуют первичную информацию.
Каждый вариант опроса представляет собой одну из наиболее сложных разновидностей социально-психологического общения, обусловленного рядом обстоятельств: содержанием анкеты или интервью, то есть перечнем вопросов, в которых реализован предмет исследования; качеством работы анкетёра или интервьюера; сосредоточенной работы респондента над предложенными вопросами; психологическим состоянием респондента в момент проведения опроса.
Метод опроса, опирающийся на достаточное число обученных анкетёров или интервьюеров, позволяет в максимально короткие сроки опрашивать довольно большое количество респондентов и получать различную по своей природе информацию.
Однако, всегда следует учитывать возможное искажение информации, полученной методом опроса, связанное с особенностями процесса отражения различных сторон социальной практики в сознании людей.
1.1 Анкетирование.
Наиболее распространенный в практике прикладной социологии вид опроса - анкетирование. Оно может быть групповым или индивидуальным.
Групповым анкетированием называется опрос, применяемый в основном в организациях (места работы, учёбы и т.д.).
При индивидуальном анкетировании вопросники (анкеты) раздаются на рабочих местах или по месту жительства респондента. В последнее время широкое распространение получил единовременный опрос (с помощью электронных видов связи: телефон, E-mail).
Социологическая анкета - объединенная единым исследовательским замыслом система вопросов, направленных на выявление количественно-качественных характеристик объекта и предмета анализа. Ее предназначение - дать достоверную информацию. Для этого надо знать и соблюдать ряд правил и принципов ее конструирования, а также особенности различных вопросов. При составлении анкет необходимо учитывать, что вопрос должен быть одинаково понятен различным социально-демографическим группам респондентов (молодым и пожилым, людям с разным образованием и т.д.).
Все вопросы можно классифицировать: по содержанию (вопросы о фактах сознания, о фактах поведения и о личности респондента); по форме (открытые и закрытые, прямые и косвенные); по функции (основные и неосновные).
Вопросы о фактах сознания людей направлены на выявление мнений, пожеланий, ожиданий, планов на будущее и т.д. Вопросы о фактах поведения выявляют поступки, действия, результаты деятельности людей. Вопросы о личности респондента выявляют его личностные характеристики (пол, возраст и т.д.).
Закрытым вопрос называется в том случае, если на него в анкете приводится полный набор вариантов ответов. Прочитав их, опрашиваемый выбирает только тот, который совпадает с его мнением. Закрытые вопросы могут быть альтернативные и неальтернативные. Альтернативные предполагают возможность выбора респондентом всего одного варианта ответа, а неальтернативные - нескольких вариантов ответов.
Открытые вопросы не содержат подсказок и не тАЬнавязываюттАЭ респонденту вариант ответа. Они дают возможность выразить свое мнение во всей полноте и до мельчайших подробностей, поэтому они дают более богатую по содержанию информацию, чем закрытые вопросы.
Прямые и косвенные вопросы. Иногда вопросы анкеты требуют от респондента критического отношения к себе, окружающим людям, оценки негативных явлений действительности и т.д. Такие прямые вопросы в ряде случаев или остаются без ответа, или содержат неточную информацию. В подобных случаях на помощь исследователю приходят вопросы, сформулированные в косвенной форме. Респонденту предлагается воображаемая ситуация, не требующая оценки его личных качеств или обстоятельств его деятельности.
Основные вопросы анкеты направлены на сбор информации о содержании исследуемого явления. Неосновные - на выявление адресата основного вопроса (вопросы-фильтры), проверку искренности ответов (контрольные вопросы).
1.2 Почтовый опрос.
Почтовый опрос - разновидность анкетирования и правомерно рассматривается как эффективный прием сбора первичной информации. В наиболее общем виде он заключается в рассылке анкет и получении на них ответов по почте.
Важное преимущество почтового опроса - простота организации. Нет надобности в подборе, обучении, контроле за деятельностью большого количества анкетеров. Еще одним позитивным свойством является возможность выбора респондентом наиболее удобного для него времени заполнения анкеты.
Вместе с тем почтовый опрос имеет и свои недостатки. Основной из них - неполный возврат анкет, то есть не все респонденты заполняют анкеты и отправляют их исследователям, поэтому может получиться так, что мнения ответивших не совпадают с мнениями тех, кто воздержался от участия в почтовом опросе.
Разновидность почтового опроса - прессовый опрос. В этом случае анкета печатается в газете или журнале. Существует два вида такого опроса. Один - когда редакция обращается к анкетированию с целью получения данных о своих читателях и их мнений о работе данного печатного органа. Второй - когда через печатный орган изучается мнение по какой-либо актуальной проблеме.
- Интервьюирование.
При интервьюировании контакт между исследователем и респондентом осуществляется при помощи интервьюера, который задает вопросы, предусмотренные исследователем, организует и направляет беседу с каждым отдельным человеком и фиксирует полученные ответы согласно инструкции. Этот метод опроса требует больших затрат времени и средств, чем анкетирование, но вместе с тем повышается надежность собираемых данных за счет уменьшения числа неответивших и ошибок при заполнении вопросников.
Особенности интервью по-разному проявляются в различных его организационных формах. Рассмотрим их.
Интервью по месту работы, занятий, то есть в служебном помещении. Оно наиболее целесообразно, когда изучаются производственные или учебные коллективы, а предмет исследования связан с производственными или учебными делами.
Интервью по месту жительства. Оно становится предпочтительным, если предмет опроса касается таких проблем, о которых удобнее поговорить в неофициальной обстановке, свободной от влияния служебных или учебных отношений.
В прикладной социологии различают три вида интервью: формализованное, фокусированное и свободное.
Формализованное интервью - самая распространенная разновидность интервьюирования. В этом случае общение интервьюера и респондента строго регламентировано детально разработанными вопросником и инструкцией, предназначенной для интервьюера. При использовании этого вида опроса интервьюер обязан точно придерживаться формулировок вопросов и их последовательности.
Фокусированное интервью - следующая ступень, ведущая к уменьшению стандартизации поведения интервьюера и опрашиваемого. Оно имеет своей целью сбор мнений, оценок по поводу конкретной ситуации, явления, его последствии или причин. Респондентов в этом виде интервью заранее знакомят с предметом беседы. Предварительно заготавливают и вопросы для такого интервью, причем их перечень для интервьюера обязателен: он может менять их последовательность и формулировки, но по каждому вопросу должен получить информацию.
Свободное интервью отличается минимальной стандартизацией поведения интервьюера. Этот вид опроса применяется в тех случаях, когда исследователь приступает к определению проблемы исследования. Свободное интервью проводится без заранее подготовленного вопросника или разработанного плана беседы; определяется только тема интервью.
2. Метод анализа информации.
Анализ документов тАУ один из широко применяемых и эффективных методов сбора и анализа первичной информации. Документы с различной степенью полноты отражают социум общества. В них содержатся сведения о процессах и результатах деятельности человека; вследствие этого документальная информация представляет большой интерес для социологов.
Виды документов. К этому понятию в прикладной социологии относятся в первую очередь различного рода материалы (документы), предназначенные для хранения и передачи информации.
Существует ряд оснований для классификации документов. По статусу документы различают на официальные и неофициальные; по форме изложения тАУ письменные (более широко тАУ вербальные) и статистические. По своим функциональным особенностям документы классифицируются на информационные, регулятивные, коммуникативные и культурно-воспитательные.
Принципиальное значение для исследователя имеют официальные документы, которые отражают общественные, социальные и экономические связи в обществе. Все эти документы составляются и утверждаются государственными или иными органами, учреждениями и могут выступать в качестве юридического доказательства.
Большое значение имеет изучение неофициальных документов. Среди них выделяются личные документы, такие как дневники, мемуары, личная переписка, записки профессионального характера. Неофициальные документы позволяют вскрыть глубинные социально-политические механизмы образования ценностных ориентаций, понять историческую обусловленность стереотипов поведения, найти основу для выделения социальных типов в обществе.
Следует выделить ещё одно основание для типологии документов тАУ их целевое назначение. Выделяют: документы созданные независимо от исследователя, и документы тАЬцелевыетАЭ, то есть подготовленные точно в соответствии с программой, задачами социологического исследования. К первой группе относятся те документы, существование которых ни прямо, ни косвенно не обусловлено техникой проведения социологического исследования: связанные с темой исследования официальные документы, статистические сведения, материалы прессы, личная переписка и т.д. Вторая группа документов включает: ответы на открытые вопросы анкеты и тексты интервью, записи наблюдений, отражающих мнения и поведение респондентов; справки официальных и иных организаций, выполненные по заказу исследователей; статистическую информацию, собранную и обобщённую в ориентации на определённое социологическое исследование.
Информацию, содержащуюся в документах, принято разделять на первичную и вторичную. В первом случае речь идёт об описании конкретных ситуаций, об освещении деятельности отдельных субъектов социума. Вторичная информация носит более обобщённый, аналитический характер; в ней, как правило, отражены более глубоко скрытые социальные связи.
Критерии отбора документов для изучения. Самостоятельные этапы анализа документов тАУ отбор источников информации и комплектование выборочной совокупности подлежащих анализу материалов. Основой для этого служит программа исследований.
В качестве средства проверки надёжности, достоверности информации и одновременно анализа их содержания является тАЬвнешнеетАЭ и тАЬвнутреннеетАЭ исследование документов. Внешний анализ тАУ это изучение обстоятельств возникновения документа, его исторического и социального контекста. Внутренний анализ тАУ это и есть собственно изучение содержания документа, всего того, о чём свидетельствует текст источника, и тех объективных процессов и явлений, о которых сообщает документ.
Виды анализа документов. Во всём многообразии исследовательских приёмов, используемых при изучении документов, выделяют два основных вида: качественный анализ (иногда его называют традиционным) и формализованный, носящий ещё название контр-анализа. Два эти подхода к изучению документальной информации хотя и различаются во многом, однако могут в достаточно высокой степени дополнять друг друга, так как два этих метода вместе дадут всесторонний взгляд на проблему.
Качественный анализ зачастую служит предпосылкой последующего формализованного изучения документов. Как самостоятельный метод особое значение он приобретает при изучении уникальных документов: их число всегда крайне мало и поэтому нет надобности в количественной обработке информации. Поэтому суть традиционного подхода заключается в углублённом логическом исследовании содержания документов.
Стремление в максимальной степени избежать субъективизма, потребность в социологическом изучении и обобщении большого объёма информации, ориентация на использование современной вычислительной техники при обработке содержания текстов привели к становлению метода формализованного, качественно-количественного изучения документов (контент-анализ).
При этом методе содержание текста определяется как совокупность имеющихся в нём сведений, оценок, объединённых в некую совокупность единой концепцией, замыслом.
Процедура формализованного анализа документов начинается с выделения двух единиц анализа: смысловых (качественных) и единиц счёта. Цель исследования тАУ отыскать индикаторы, указывающие на наличие в документе темы, значимой для анализа, и раскрывающие содержание текстовой информации.
Плодотворным оказывается при анализе текстов деятельностный (проблемный) подход. В этом случае весь текст рассматривается как описание конкретной проблемной ситуации, в которой есть ряд субъектов и отношения между ними. При формализованном анализе документов всесторонне рассматривают саму деятельность, а также выделяют её субъекты, цели и мотивы поступков, совершаемых ими; обстоятельства, причины, породившие потребность в той или иной деятельности (бездеятельность тАУ это тоже вид деятельности); объект её направления.
3. Метод экспертной оценки.
Такие формы сбора первичной социологической информации, как анкетирование, интервьюирование, почтовый опрос, телефонное интервью, безличностный опрос с помощью возможностей InterNet или E-mail предназначены прежде всего для массовых опросов. Их особенность заключается в том, что они направлены на выявления информации, которая отражает знания, мнения, ценностные ориентации и установки резидентов, их отношения к каким-либо явлениям действительности. И то, что эта информация основывается на индивидуальном интересе респондента и может быть весьма субъективна, отнюдь не противоречит научнообразному способу её получения. Наоборот, цель массового опроса заключается в том, чтобы при помощи соответствующего инструментария получить достоверные сведения о предмете и объекте исследования.
Вышеуказанными проблемами и занимаются эксперты. Эксперт тАУ это компетентное лицо, имеющее глубокое знания о предмете или объекте исследования.
Как сформировать группу экспертов? На самом первом этапе обора в качестве критериев целесообразно использовать два признака: род занятий и стаж работы по интересующему нас профилю. При необходимости учитываются также уровень, характер образования, возраст. Центральный среди критериев отбора экспертов тАУ их компетентность. Для определения применимы, с той или иной степенью точности, два метода: самооценка экспертов и коллективная оценка авторитетности экспертов.
Наиболее простая и удобная форма самооценки экспертов тАУ совокупный индекс, рассчитанный на основании оценки экспертами своих знаний, опыта и способностей по ранговой шкале с позициями тАЬвысокийтАЭ, тАЬсреднийтАЭ и тАЬнизкийтАЭ. При этом первой позиции присваивается числовое значение тАЬ1тАЭ, второй тАУ тАЬ0,5тАЭ, третий тАУ тАЬ0тАЭ. В таком случае совокупный индекс тАУкоэффициент уровня компетентности эксперта вычисляется по формуле:
![]()
![]()
где k1 тАУ числовое значение самооценки экспертом уровня своих теоретических знаний, k2 - числовое значение самооценки практического опыта и k3 тАУ числовое значение самооценки способности прогноза. Коэффицент уровня компетентности коеблется в интервале от 0 до 1. Обычно в группу экспертов принято включать тех, у кого индекс компетентности не менее среднего 0,5 и выше тАУ1.
Метод коллективной оценки применяется для формирования группы экспертов в том случае, когда они иеют представление друг о друге как специалисты. Такая ситуация характерна для учёных, творческих деятелей, политииков, эономистов.
Прогноз. В нём наиболее наглядно проявляется отличие экспертной оценки от информации, получаемой в результате массового опроса. Оно заключается в стремлении к согласованности, единообразию суждений и оценок, высказываемых эспертами. Действительно, взможно ли использовать дя пракических целей, скажем, мнение тидцати экспертов, если они включают 5-7 взаимоисключающих прогностических оценок? Далее достоверность данных в массовом опросе как и некоторых среднестатистических показателей тем выше, чем больше совокупность опрошенных. В принципе прогностическая экспертная оценка осуществима для любых социальных процессов и явлений.
Вприкладной социологии разработан ряд приёма опросов экспертов, используемых для получения прогностической оценки. При этом уместно заметить, что некоторые технические и методические приёмы, широко используемые в массовых опросах, теряют свою значимость при опросе такой спецефической аудитории, как эксперты. Как правило, массовые опросы носят анонимный характер. В экспертных опросах это теряет смысл, ибо эксперты должны быть полностью осведомлены о задачах, которые решаются в ходе исследования с их помощью. Поэтому нет никакой нужды применять в экспертной анкете косвенные или контрольные вопросы, тесты или какие-либо другие приёмы, имеющие своей целью выявить тАЬскрытыетАЭ позиции респондента. Более того, использование таких приёмов может нанести заметный ущерб качеству экспертной оценки. Эксперт в полном смысле этого слова тАУ активный участник научного исследования. И попытка скрыть от него цель исследования, превратив, таким образом, в пассивный источник информации, чревата потерей его доверия к организаторам исследования.
Основной инструментарий экспертного опроса тАУ анкета или бланк-интервью, разработанные по специальной программе.
В отличие от массового опроса, программа прогнозированного опроса экспертов не столь детализирована и носит преимущественно концептуальный характер. В ней прежде всего однозначно формулируется подлежащее прогнозу явление, предусматривается в виде гипотиз возможные варианты его исхода.
Весьма часто применяется в прикладной социологии и такой метод экспертного прогноза, как тАЬдельфинийская техникатАЭ1. Он заключается в выработке согласованных мнений путём многократного повторения опроса одних и тех же экспертов. После первого опроса и обобщения результатов его итоги сообщаются участникам экспертной группы. Затем проводится повторный опрос, в ходе которого эксперты либо подтверждают свою точку зрения, либо изменяют оценку в соответствии с мнением большинства. Такой цикл содержит в себе 3-4 прохода. В ходе подобной процедуры вырабатывается оценка, но при этом исследователь, конечно, не должен игнорировать мнение тех, кто после неоднократных опросов остался на своей точке зрения.
Оценка степени достоверности результатов массовых опросов. В процессе выработки управленческих решений при помощи социологических исследований зачастую возникает вопрос о достоверности массового исследования и соответственно о правомерности сформулированных на их основе выводов. Словом, речь идёт об оценки компетентности мнений, высказанными респондентами.
Для этого составляется анкета эксперта, включающая в основном закрытые вопросы, по структуре идентичные вопросам, сформулированным в анкете репондента. Задача эксперта тАУ с учётом объективной ситуации и интересующих исследователя факторов всказать по поставленным вопросам непредвзятую, весторонне взвешенную оценку.
Аттестация членов коллектива. В последние годы в практике исследования состояния идейно-воспитательной работы широко применяется такая разновидность метода экспертной оценки, как аттестация. При этом в роли экспертов вступают руководители коллектива, общественных организаций или специальная аттестационная комиссия.
4. Метод эксперемента.
К числу самых своеобразных и трудноосваиваемых методов сбора социологической информации относится эксперимент. Уже одно название этого метода, имеющего весьма громкое звучание, завораживает и вызывает особое уважение.
Эксперимент лучше всего проводить в относительно однородных условиях, поначалу в небольших (до нескольких десятков) группах обследуемых. Объект, с помощью которого но проводиться часто выступает только как средство для создания экспериментальной ситуации.
В эксперименте исследователь имеет достаточно большую свободу выбора экспериментальных групп, хотя и обязан придерживаться определённых критериев их выбора. В качестве критериев выступают прежде всего характеристики самого объекта, устойчивость или изменение которых предусмотрено требованиями и условиями эксперимента.
Общая логика эксперимента состоит в том, чтобы при помощи выборе некоторой экспериментальной группы (или групп) и помещения её в необычную (экспериментальную) ситуацию (под воздействие определённого фактора) проследить направление, величину и устойчивость изменения интересующих исследователя характеристик, которые могут быть названы контрольными.
Успех эксперимента в огромной степени зависит от создания соответствующих условий. Здесь следует иметь в виду, как минимум, три момента:
- в качестве контрольных выбираются характеристики, самые важные с точки зрения изучаемой проблемы, создания экспериментальной ситуации;
- изменение контрольных характеристик должно зависеть от тех характеристик экспериментальной группы, которые вводятся или изменяются самим исследователем;
- на протекание эксперимента не должны оказывать воздействие те явления, которые не относятся к экспериментальной ситуации, но но потенциально способны изменить её состояние.
Виды эксперимента и методы отбора экспериментального отбора групп. Эксперименты различаются как по характеру экспериментальной ситуации, так и по логической структуре доказательства гипотез.
По характеру экспериментальной ситуации эксперименты делятся на тАЬполевыетАЭ и лабораторные. В полевом эксперименте объект исследования находится в естественных условиях своего функционирования. В условиях лабораторного эксперимента экспериментальная ситуация, а часто и сами экспериментальные группы формируются искусственно. Поэтому члены группы, как правило, осведомлены об эксперименте.
По логической структуре доказательства гипотез различают линейный и параллельный эксперименты:
- Линейный эксперимент отличается тем, что анализу подвергается одна и та же группа, являющейся контрольной (её первоначальное состояние), экспериментальной (её состояние после изменения каких-либо её характеристик). То есть ещё до начала эксперимента чётко фиксируются все контрольные, факторные и нейтральные характеристики изучаемого объекта.
- В параллельном эксперименте одновременно участвуют две группы: контрольная и экспериментальная. Их состав должен быть идентичен по всем контрольным, а также по нейтральным характеристикам, которые могут повлиять на исход эксперимента. Характеристики контрольной группы остаются постоянными в течение всего периода эксперимента, а экспериментальной тАУ изменяются.
Метод попарного отбора используется преимущественно в параллельном эксперименте. Суть его заключается в следующем. Из генеральной совокупности выбираются две группы таким образом, чтобы они были идентичны по нейтральным и контрольным, но различались по факторным характеристикам. После этого для обеих групп одинаковые условия, а через некоторое время замеряется эффект эксперимента путём фиксации и сравнения параметров контрольных признаков в обеих группах.
В линейном и в параллельном эксперименте можно использовать метод структурной модификации. В этом случае в линейном эксперименте группа отбирается так, чтобы она представляла собой микромодель генеральной совокупности по нейтральным и контрольным характеристикам.
Метод случайного отбора идентичен ранее рассмотренным методам вероятностной выборки с заранее заданным объёмом. Как правило, его используют в полевых экспериментах при большой (до нескольких сот) численности экспериментальной группы.
Планирование и логика осуществления эксперимента. Подготовка и проведение эксперимента предполагают последовательное решение ряда вопросов:
- Определение цели эксперимента;
- Выбор объекта, используемого в качестве экспериментальной группы;
- Выделение предмета эксперимента;
- Выбор контрольных, факторных и нейтральных признаков;
- Определение условий эксперимента и создание экспериментальной ситуации;
- Формулировка гипотез и определение задач;
- Выбор индикаторов и способа контроля протекания эксперимента;
- Определение метода фиксации результатов;
- Проверка эффективности эксперимента.
5. Измерение социальных установок.
В последнее время в связи с бурным всплеском социальной, в том числе и политической, активности населения особую актуальность приобрели исследования взаимоотношений различных групп общества (национальных, политических и т.д.), а также отношениями между этими группами и социальными институтами (органами власти, ассоциациями, средствами массовой информации и др.).
Часто в основе таких, порой конфликтных взаимоотношений лежит различие интересов, ценностных ориентаций или мировоззренческих представлений, выступающих побудительным мотивом массового поведения, не всегда принимающего социально благоприятную форму.
Учитывая назревшую актуальность использования точных и эффективных методик для изучения новых социальных явлений и процессов, порождённых перестройкой общественной жизни страны, в настоящем разделе расскажем о правилах конструирования наиболее эффективных шкал для измерения установок.
Шкала самооценок. Это наиболее простой вид шкалы измерения установки. Она может быть сконструирована в форме обычного вопроса или в виде числовой оси с положительными и отрицательными градациями.
При конструировании шкалы самооценки в форме тАЬтрадиционноготАЭ вопроса её позиции обязательно располагаются симметрично и состоят из равного числа положительных и отрицательных оценок, разделённых тАЬнейтральнойтАЭ позицией.
Шкала ранжирования. Она отличается той особенностью, что результаты измерения установок при её помощи анализируются в соответствии с правилами, применимыми для ранговых шкал.
Наиболее простой приём измерения установок по правилам такой шкалы тАУ ранжирование респондентами тех объектов, отношение к которым с их стороны интересует исследователя. Так, для выявления шансов на успех того или иного кандидата при многомандатных выборах респондентам предлагают расположить карточки с фамилиями кандидатов в порядке предпочтения. В этом случае все объекты значимы с точки зрения предмета исследования. Итог ранжирования даст информацию о шансах кандидатов быть избранными.
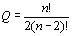
Более сложный вариант измерения установок при помощи ранговой шкалы тАУ метод парных сравнений. Суть его заключается в том, что обозначенные на карточках объекты (их наименования) для оценки парами поочерёдно показывают респондентам, предлагая указать более предпочтительный. При этом такой сравнительной оценке подвергаются все возможные сочетания пар объектов. Количество парных сочетаний (Q), образуемых при изучении установок респондентов относительно некоторого числа объектов (n), вычисляется по формуле:
![]()
Сложность применения метода парных сравнений заключается в том, что с ростом числа объектов, подлежащих оценке респондентом, резко возрастает число пар.
Шкала Богардуса. Её основное предназначение тАУ измерение национальных и расовых установок. Особенность этой шкалы заключается в том, что каждая оценка (мнение, позиция) автоматически включает в себя всё последующее и исключает всё предыдущее. На вопрос для неё имеет следующую формулировку: тАЬКакие взаимоотношения с представителем такой-то национальности для вас приемлемы?тАЭ
- Брачные отношения;
- Личная дружба;
- Быть соседями;
- Быть коллегами по работе;
- Быть жителями одного города, посёлка, села;
- Быть согражданами одной области;
- Быть согражданами страны;
- Не возражаю против их выезда из страны.
Опыт свидетельствует о том, что подобные шкалы могут быть построены и успешно использоваться для измерение установок относительно явлений в различных сферах общественных отношений.
Метод семантического дифференциала. Этот метод разработан Осгудом. Он основан на принципе ассоциации между понятием, обозначающим объект оценки, и теми или иными вербальными антонимами, характеризующими направленность и интенсивность оценки2. Примеры подобных сочетаний: приятный тАУ раздражающий, чистый тАУ грязный, добрый тАУ жестокий.
Для повышения точности измерения установки при помощи семантического дифференциала между антонимами располагают числовую ось, в результате чего для каждой пары антонимов получают 5- или 7-балльную шкалу.
Приведём пример измерения социально-психологического климата коллектива. тАЬКакие качества характерны для отношений в вашем отделе?тАЭ Отметьте крестиком соответствующую оценку в каждой строке.
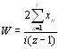
Общая оценка интенсивности и направленности измеренной установки рассчитывается по формуле:

где xi тАУ средняя арифметическая по i-ой шкале;
i тАУ число шкал (в нашем случае - 3);
z тАУ число позиций шкалы (в наше случае - 7);
W изменяется от +1 (полностью положительная установка) до тАУ1 (полностью отрицательная установка).
Для построения сложных шкал измерения установок, семантического дифференциала и тестов целесообразно прибегать к помощи психологов.
6. Заключение.
Каким бы методом социологические данные добыты ни были, сами по себе они ещё не позволяют сделать обобщённые выводы, выявить тенденции, проверить гипотезы тАУ одним словом, решить задачи, поставленные в программе исследования. Для того чтобы полученная первичная информация начала давать реальные результаты, её необходимо путём обработки превратить в соответствующий вид, а далее обобщить, проанализировать и научно проинтерпретировать.
Список используемой литературы:
1. Рожанский Э.Л. Курс лекций.
2. Горшков М.К., Шереги Ф.Э. Как провести социологическое исследование. М., Политиздат, 1990.
1 Название данной техники прогноза заимствовано от названия древнегреческого города Дельфы, получившего свою известность ещё до нашей эры как центр предсказаний.
2 Петренко В.Ф. Психосемантика сознания. М., 1988. С. 53-57.
Вместе с этим смотрят:
Семейные конфликты и их решения в семьяхСемья
Семья в иудаизме
Семья как социальный институт