Социальная работа в КНР и Гонконге

1. Введение

Процесс вхождения высшей школы в мировое образовательное пространство требует совершенствование, а также серьёзную переориентацию компьютернотАУинформационной составляющей. Информационный взрыв породил множество проблем, важнейшей из которых является проблема обучения. Особый интерес представляют вопросы, связанные с автоматизацией обучения, поскольку Влручные методыВ» без использования технических средств давно исчерпали свои возможности. Наиболее доступной формой автоматизации обучения является применение ЭВМ, то есть использование машинного времени для обучения и  обработки результатов контрольного опроса знаний учащихся. Всё большее использование компьютеров позволяет автоматизировать, а тем самым упростить ту сложную процедуру, которую используют научные сотрудники и преподаватели при создании методических пособий. Тем самым, представление различного рода Влэлектронных учебниковВ», методических пособий на компьютере имеет ряд важных преимуществ. Во-первых, это автоматизация, как самого процесса создания таковых, так и хранения данных в любой необходимой форме. Во-вторых, это работа с практически неограниченным объёмом данных. Создание компьютерных технологий в обучении соседствует с изданием учебных пособий новой генерации, отвечающих потребностям личности обучаемого. Учебные издания новой генерации призваны обеспечить единство учебного процесса и современных новационных научных исследований, т.е. целесообразность использования новых информационных технологий в учебном процессе и, в частности, различного рода так называемых Влэлектронных учебниковВ». По моему мнению, эффект от применения средств компьютерной техники в обучении может быть достигнут лишь тогда, когда специалист предметной области не ограничивается в средствах представлениях информации, коммуникаций и работы с базами данных и знаний.

2. Современное положение дистанционного образования

ДистанционноеВа образование Вастало на Западе модным. Каждый уважающий себя университет и институт теперь обязательно имеет программы по дистанционному обучению. Открываются и специальные дистанционные учебные заведения, многие из них уже завоевали огромную популярность в мире и открыли свои отделения в разных странах (например, британский Open University, германский Hagen Universitet и др.). По прогнозам ученых, именно дистанционное образование (в сочетании с традиционными формами учебы) будет превалировать в следующем веке, и недаром его называют образованием будущего.

Многие считают, что дистанционное образование - это просто новая форма известного нам заочного обучения. В какой-то мере это так: выбрав дистанционный курс, человек действительно может учиться не выходя из дома. Но только при одном условии: если у него есть современный компьютер, оснащенный стандартной программой.

Смысл как раз в том, что дистанционное образование и развитие современной техники и технологий неразделимы: одно способствует развитию другого. И сейчас уже студент, где бы он ни жил, может учиться по программе практически любого западного университета не выезжая из своей страны. Образование становится общемировым и общедоступным, опережая процессы политического и экономического объединения, происходящие в мире.

Образование сейчас тАУ одна из самых актуальных тем. По крайней мере, все меньше остается людей, которые решаются утверждать, что высшее образование тАУ излишняя роскошь. Пролистав бюллетень вакансий, быстро убеждаешься, что на работу в приличную фирму без корочек вообще не устроишься. А еще желательно иметь навыки работы на компьютере. О получении последних тАУ разговор отдельный. Курсов и школ, обещающих научить и образовать масса. Гораздо больше меня заинтересовало другое предложение, выловленное мною совершенно случайно во время одного из сеансов работы в Internet. Многие вузы, особенно зарубежные, оказывается, готовы предложить.. дистанционное образование. Вплоть до получения соответствующего диплома.

Идея зацепила. Действительно, почему бы не попробовать поучиться прямо у себя дома, за компьютером (единственное условие: он должен быть подключен в сеть). Здорово, в университет ходить не надо, да и диплом можно получить, например, оксфордский.

Вообще-то изначально дистанционное обучение задумывалось для того, чтобы люди, уже получившие очное образование, повышали свою квалификацию. Самый простой вид его - известная всем ретрансляция телевизионных передач, так популярная еще лет десять назад. (Целый канал работал специально на образовательные программы). Сейчас, с появлением более мощной техники, возможности расширяются. В России, попав в полосу политических и экономических сумятиц, мы пропустили большинство промежуточных этапов развития ДО и сразу вышли на самый передовой - обучение с помощью Internet.

В мировой практике дистанционное образование обязательно сертифицируется. На Западе на все курсы выдается сертификат, подделать который практически невозможно, то есть на них стоит достаточная защита. За наши курсы, к сожалению, пока нельзя поручаться, т.к. для нас это ново. И неизвестно даже, есть ли сертификаты установленного государственного образца.

С уверенностью можно сказать, что многие из предлагаемых сегодня курсов дистанционного образования - пена на волне модного увлечения. Как было совсем недавно с многочисленными экстрасенсами и народными целителями. Только поисковые серверы на запрос дистанционное образование выдадут вам тысячи адресов.

Самой обширной является отрасль компьютерных знаний. Что, в общем-то, легко объяснимо. Некоторые по настоящему престижные зарубежные вузы, конечно, даже и не подумают предложить вам подобную форму обучения. Наиболее прогрессивными в этом направлении считаются американские и западноевропейские учебные заведения, с готовностью разрабатывающие такие курсы.

Именитые российские вузы тоже делают первые шаги в этой области и весьма активно. Создан Центр информационно-аналитического обеспечения системы дистанционного образования в Москве, головная организация по формированию единой системы ДО. Есть дистанционные университеты, созданные на базе Красноярского, Томского, Новосибирского университетов. В этой системе идет взаимозачет курсов. То есть студент может учиться сразу же с трех серверов, а зачет получать на одном. Существуют курсы на базе Уральского университета, часть которых выложена на сервер. Вообще-то, по экспертной оценке, создание одного такого курса стоит 10-50 тыс. рублей. Поэтому дистанционное образование в основном платное. За рубежом минимальная цена курса составляет порядка 100 долларов.

Сейчас в нашем университете ведутся различные разработки программ дистанционного образования. Такая программа могла бы поступать к обучаемому в виде файла, то есть это некоторый объем знаний, после изучения которого студент запускает проверку - программу, которая сама предлагает ему вопросы. По результатам ответов на вопросы человеку предлагается перейти на следующий уровень или сообщается, что его подготовка оставляет желать лучшего. В точных науках вопросы оценки знаний решаются относительно просто - здесь вполне оправдано тестирование, а вот в гуманитарных, конечно, нужен текст ответа. Опыт многих вузов говорит о том, что контроль лучше проводить очно. Аналогично тому, как он проводится при заочной форме обучения. Но как быть, если вуз находится, например, в Штатах, а обучаемый - в России? Тут, естественно, письменный экзамен - практически единственный выход. Телеконференция еще мало распространена.

Один из вариантов обучения, практикуемый сегодня: к студенту поступает информация, которую он изучает, а после сдает экзамен. Другой метод практиковался в Екатеринбурге при изучении языка. Информация выкладывалась на сервер, люди ее изучали и, допустим, через две недели должны были написать определенную контрольную. Так, блоками, они проходили всю программу, и в конце организаторы назначали время, в которое они сдают экзамен.

Остается понять, чем так привлекательно дистанционное образование, кроме сидения дома и возможности получить диплом западного образца.

Во-первых - это достаточно дешево, что немаловажно сегодня, когда всерьез идут разговоры о переводе ряда вузов на коммерческие рельсы. Здесь не надо платить за коммунальные услуги в вузах, аудиторные часы преподавателям и прочее, прочее.

Во-вторых, если на сервере выложен некоторый объем информации и есть возможность пользователю получить его без особых хлопот, - это неплохой шанс повысить его интеллектуальный уровень. А один пользователь плюс еще один .. глядишь, повысится культурный уровень нации в целом. Достаточно перспективным было бы искать способы совмещения разных типов образования.

Проблем у дистанционного образования, конечно, много: слабо разработаны методики, не отлажена сама технология учебного процесса, отсутствует финансирование. Корочки корочками, но обучение должно быть эффективным, то есть приносить знания. И такие, чтобы данный человек не мог получить их никаким другим способом. Заниматься же этим должны профессионалы, а не коммерческие организации.

А вообще, этот вид образования, как и все другие, - серьезное и важное дело. И может быть, через некоторое время многие будут проходить курсы по сети. Но единственное, что можно сказать точно: старого доброго очного образования оно не заменит.

2.1 Путь в Европу открыт

Открытый университет Великобритании (The Open University) объявляет набор российских студентов на осенний семестр. The Open University был создан в 1969 году, сейчас у него есть филиалы во всем мире. Дистанционная форма обучения позволяет студентам из разных стран совмещать работу и учебу в университете. Таким способом повысили квалификацию и получили новую профессию более 25.000 менеджеров из Франции, Германии, Бельгии, Нидерландов, Испании, Люксембурга, Венгрии и других стран. За время существования Открытым университетом были разработаны разные курсы, созданы школы. Наибольшей популярностью пользуется Школа бизнеса.

Обучение в Школе бизнеса Открытого университета проходит в три этапа. Первый рассчитан на менеджеров, не имеющих специального образования в области управления, поэтому студенты получают базовые знания, а по окончании курса - сертификат. Вторая ступень - это уже профессиональное образование в области менеджмента, после нее студенты получают диплом и степень бакалавра. Закончившим третью ступень присваивают степень магистра делового администрирования (MBA).

Дистанционное обучение предполагает самостоятельное образование с помощью специалистов-консультантов. Тематика курсов - финансовая деятельность, практический маркетинг, управление ресурсами в условиях рынка (анализ затрат, аттестация персонала, управленческие функции, решение конфликтов и организационное развитие). Все эти курсы построены так, что обучение совмещается с практикой. Студенты изучают теорию по учебникам, с помощью видеоматериалов и аудиокассет, в удобное для студентов время проводятся семинары, на которых рассматриваются вполне реальные ситуации.

2.2 На западе делают деньги на дистанционном образовании

Правительства многих зарубежных стран объявили развитие дистанционного образования приоритетным направлением и регулярно выделяют под это большие деньги. Начало положили американцы (у них, пожалуй, больше, чем где бы то ни было, различных форм дистанционного образования). В последнее время миллионные проекты запущены в Европе. Австралия начала активно экспортировать свои образовательные программы, в массовом порядке переведенные на язык компьютера.

В нашей стране дистанционное образование, похоже, тоже получает широкое распространение. Три года назад при Госкомвузе РФ была создана Ассоциация международного образования. Примерно тогда же открылось представительство британского Open University и началось обучение менеджменту, маркетингу, финансам.

2.3 Глобальный рынок учебных программ

В Москве состоялся 2-й Международный конгресс Образование и информатика под эгидой ЮНЕСКО. Участниками конгресса были ведущие авторитеты компьютерных дел и высшей школы России и зарубежья. В рамках конгресса работали конференция по дистанционному образованию, выставка-ярмарка компьютерных программ и новых технологий обучения Edit-96. Главным организатором конгресса выступила Ассоциация международного образования совместно со своим зарубежным партнером International Council of Distance Education (ICDE). Задача ICDE - разработка и распространение новых программ по дистанционному образованию. В перспективе ICDE планирует создать глобальный рынок учебных программ разных уровней, доступ к которому будет открыт для всех. Российское отделение ICDE (в Ассоциации международного образования) создано для того, чтобы интегрировать российскую систему образования в мировую и запустить зарубежные программы дистанционного образования в российские вузы.

Надо заметить, что некоторые российские вузы уже достаточно  используют зарубежные программы дистанционного образования и даже предлагают иностранцам свои.

Например, Московский инженерно-физический институт разработал программно-методический комплекс по курсу Теория управления, электронный задачник, компьютерный учебник по математическому программированию. Московский автомобилестроительный институт представил на выставке инновационные курсы Менеджмент и Юриспруденция, которые могут быть использованы для дистанционного обучения инвалидов, военнослужащих, сотрудников спецподразделений с особым режимом и людей, занятых на производстве. Применимы они и для профессионально-технических училищ и даже старших классов средней школы.

МГУ представил компьютерную систему контроля знаний студентов. В соответствии с этой системой, студент сдает экзамен компьютеру. Профессор лишь следит за процессом, почти не вмешиваясь в него. А Санкт-Петербургский университет связался по Internet с Парижем и Хельсинки, а также с большинством крупнейших российских университетов. Теперь его студенты могут выбирать себе учебные программы (пока в качестве дополнительных курсов) университетов-партнеров.

2.4 Онлайновый диплом иногда стоит дороже

Часто дистанционное обучение рекламируется как дешевый способ получения образования студентами, не способными или не желающими платить больше за свои онлайновые дипломы. Колледж Fuqua School of Business Университета Дюка  взимает 82 500 дол. за свою онлайновую МВАтАУпрограмму Global Executive, привлекающую множество неамериканских студентов, тогда как студенты, обучающиеся по программе МВА обычным образом, платят лишь 50 тыс. дол. В университете штата Мэн с кибертАУучеников при получении зачета за какой-либо курс взимается дополнительно 5 $/ч.

3. Требования к системе Влэлектронного учебникаВ»

В основу положим следующие принципы для среды электронных учебников.

Для эффективного функционирования человека в электронной системе обучения вне зависимости от задачи, решаемой исследователем, особое значение приобретают методы визуализации исходных данных, промежуточных результатов обработки, обеспечивающих единую форму представления текущей и конечной информации в виде отображений, адекватных зрительному восприятию человека и удобных для однозначного толкования полученных результатов. Важным требованием интерфейса является его интуитивность. Следует заметить, что управляющие элементы интерфейса должны быть удобными и заметными, вместе с тем они не должны отвлекать от основного содержания, за исключением случаев, когда управляющие элементы сами являются основным содержанием.

4. Требования к системе проектирования Влэлектронного учебникаВ»

Лёгкость в освоении и использовании данной среды для генерации электронных учебников достигается за счёт применения визуальных технологий и возможностью использования специалистом-предметником любых текстовых и графических редакторов для написания содержимого электронного учебника. Для удобства работы среда по генерации электронных учебников допускает разработку проекта по отдельным частям, что позволяет организовать работу над учебником нескольких специалистов-предметников.

К таким требованиям подходит среда для разработки электронных систем обучения Toolbook II Assistant Version 6.0, в которой  может быть реализован электронный учебник по какой-либо теме для студентов дистантной формы обучения ТПУ.

5. Основные возможности ToolBook II Assistant Version 6.0

Программный продукт ToolBook II Assistant Version 6.0 предназначен для без какого бы то ни было программирования создавать и распространять обучающие программы доступные, как в локальном варианте, так и в сетевом для локальных сетей и интернет. В ToolBook II Assistant Version 6.0 имеется управляемый посредством шаблонов интерфейс, который позволяет вести обучение шаг за шагом. Разработчики могут начать работу с этим продуктом со специально разработанного модуля Book Specialist, который проведет их по всем основным этапам создания приложения. Добавление в учебную программу видео, звука, графики и интерактивных функций производится путем простой буксировки (drag-and-drop) мышью соответствующих файлов. В результате получается учебное приложение, которое можно использовать как на традиционных занятиях с преподавателем, так и при дистантном обучении на компьютере. Разработанную учебную программу можно хранить в сети, поместить на диск или записать на CD-ROM. Полученное приложение может легко дополнить следующий разработчик, путём вставки дополнительных страниц. Преимуществом такого подхода является то, что преподаватели сами могут создавать свои индивидуальные программы компьютерного обучения.

Пакет ToolBook II обладает стандартным меню, расположенном в верхней части главного окна и состоящее из следующих пунктов: тАЬFileтАЭ (тАЬФайлтАЭ), тАЬEditтАЭ (тАЬРедактированиетАЭ), тАЬViewтАЭ (тАЬВидтАЭ), тАЬPageтАЭ (тАЬСтраницатАЭ), тАЬObjectтАЭ (тАЬОбъекттАЭ), тАЬTextтАЭ (тАЬТексттАЭ), тАЬDrawтАЭ (тАЬПрорисовкатАЭ) и тАЬHelpтАЭ (тАЬПомощьтАЭ)

5.1 Каталог объектов в пакете ToolBook II Assistant ver. 6.0

Использование каталога объектов в пакете ToolBook II Assistant объясняется двумя причинами: вотАУпервых, такое огромное разнообразие объектов (действие каждого объекта описано с помощью языка OpenScript, пользователь лишь дополняет это действие с помощью специальных диалоговых окон, добиваясь необходимого результата) и графики рационально располагать в единой базе данных; вотАУвторых, авторы данного мультимедийного пакета решили освободить пользователя от явного программирования на языке OpenScript, что широко использовалось в пакете Multimedia ToolBook Version 3.0, и это позволило создать систему визуального объектно-ориентированного программирования.

Закладка тАЬГрафикатАЭ позволяет установить графическое изображение объекта во всех его положениях: нормальное, инвертированное, отключенное и помеченное. Это позволяет пользователю определять индивидуальное состояние объекта в различных ситуациях. Специальная опция тАЬРастяжение графикитАЭ (тАЬStretch the graphicтАЭ) равномерно растягивает растровое изображение по всей поверхности объекта.

Закладка тАЬОграничениетАЭ позволяет вручную установить размеры и положение объекта на странице - это отличительная особенность пакета ToolBook II Assistant Version 6.0.

Закладка тАЬШрифттАЭ обеспечивает выбор шрифта, стиля шрифта и размера шрифта. Хотя в пакете ToolBook II Assistant Version 6.0 и сохранилось диалоговое окно тАЬБукватАЭ, закладка тАЬШрифттАЭ позволяет изменить шрифт, не покидая диалогового окна свойств объекта.

Гиперсвязи в электронных учебниках пакета ToolBook II Assistant Version 6.0 создаются при помощи диалогового окна тАЬГиперсвязьтАЭ. Здесь указывается тип связи (переход на страницу или вызов всплывающей страницы), конечная цель связи (следующая страница, предыдущая страница, вернуться обратно, первая страница, последняя страница, специфическая страница или электронный адрес) и эффект, сопутствующий гиперсвязи.

Диалоговое окно свойств электронного учебника пакета ToolBook II Assistant Version 6.0 содержит необходимую информацию о свойствах основных элементов учебника. К примеру, закладка тАЬСтраницатАЭ содержит единый размер электронного учебника (этот размер используют по умолчанию все страницы учебника, но существует возможность при необходимости изменить размер конкретной страницы в диалоговом окне свойств заднего плана)

5.2 Организация работы объектов контроля в ToolBook II

Объекты контроля в пакете ToolBook II Assistant Version 6.0 - в категории тАЬВопросытАЭ каталога находятся различные объекты, предназначенные для процесса контролирования. Для управления данными объектами в пакете ToolBook II Assistant Version 6.0 используется диалоговое окно расширенных свойств объекта. Также как и диалоговое окно свойств объекта, диалоговое окно расширенных свойств объекта использует закладки (тАЬОбщие свойстватАЭ, тАЬОтветытАЭ, тАЬОценкатАЭ, тАЬНемедленная обратная связьтАЭ и тАЬЗатяжная обратная связьтАЭ).

Закладка тАЬОбщие свойстватАЭ содержит:

  1. название вопроса;
  2. ограничение взаимодействий:
  • ограничение времени на ответ;
  • ограничение попыток.
  • автоматический сброс вопроса;
    1. включение поддержки опций Internet.

    Закладка тАЬОтветытАЭ содержит: возможные варианты ответов, которые можно добавлять, изменять и удалять; опции случайного распределения ответов, многочисленного выбора и невозможности изменить ранее выбранный вариант ответа.

    Закладка тАЬОценкатАЭ предназначена для хранения веса правильных и неправильных ответов, а также для выдачи результата на средства подсчета оценки.

    Закладки тАЬНемедленная обратная связьтАЭ и тАЬЗатяжная обратная связьтАЭ используются для реакции на правильность или неправильность ответа и в зависимости от результата проигрывают аудио- или видео ролики, выводят сообщение на какое - либо поле страницы, либо посылают сообщение по электронной почте.

    5.3 Использование Java и HTML в пакете ToolBook II

    Пакет ToolBook II Assistant позволяет экспортировать электронные учебники в виде набора файлов в формате HTML для использования в World Wide Web.

    Перемещая описанные языком Java объекты из каталога на страницы электронного учебника, изменяя их свойства и экспортируя электронный учебник как файлы в формате HTML, конечные пользователи могут иметь все выгоды интерактивного режима, независящего от операционной системы. При экспортировании электронного учебника для использования в World Wide Web, поддерживаемые языком Java объекты, используемые в электронном учебнике, экспортируются как Java - апплеты. Эти небольшие приложения зависят от специального кода языка Java, который определяет их поведение в Internet.

    Конвертацию электронного учебника в формат HTML реализует диалоговое окно тАЬExport for WebтАЭ. В пакете ToolBook II Assistant создать упакованную форму электронного учебника позволяет диалоговое окно тАЬАвтоупаковщиктАЭ (тАЬAutoPackagerтАЭ). Опции инсталляции позволяют выбрать один из пяти видов инсталляции.

    6. Электронный учебник

    Учебник можно организовать как обычную книгу. В начале учебника идёт описание навигационных средств учебника, таких, как кнопки перехода на страницы, кнопок вызова помощи, содержания и оглавления. Затем, на странице ВлсодержаниеВ» содержатся пункты основных разделов материала представленного в учебнике, в виде ВлгорячихВ» слов, нажатие мышкой на которые происходит перемещение на страницу указанную в содержание. В конце каждого раздела помещаются контрольные вопросы или различного рода тестовые задания по пройденному материалу. Оценка ответов, на которые показывает, на сколько максимально был усвоен предложенный материал, в конце электронного пособия возможно также обобщить все полученные оценки и выставить итоговую по пройденному курсу. В зависимости от требований предъявляемых к каждому конкретному студенту, т.е. от степени интеллектуального развития, психологической устойчивости и различных других личностных факторов,  преподаватель или ассистент курса может предложить повторить те разделы, по которым оценка может считаться неудовлетворительной.

    7. Требования к построению теста

    Существуют различные виды тестов, так для тестирования можно применить так называемую закрытую форму тестов. Пользователю представлен вопрос или утверждение, а также варианты ответов. Причем количество самих ответов и правильных из них может быть неограниченно.

    Тест может быть, охарактеризован как эффективный при условии, что  он удовлетворяет  определенным требованиям. Основные требования следующие:

    1. надёжность;
    2. валидность;
    3. дискриминативность;

    Обсудим и определим все те термины, в  которых следует досконально разобраться, чтобы тесты были не только  правильно  сконструированы, но  и соответствующим  образом использовались.

    8. Надёжность

    Надёжность теста тАУ это характеристика методики, отражающая точность психодиагностических измерений, а также устойчивость результатов теста к действию посторонних случайных факторов. При этом надёжность бывает нескольких видов:

    1) ре-тестовая надёжность тАУ когда рассматриваются показатели при повторном исследовании испытуемых с помощью одного и того же теста по прошествии времени;

    2) надежность частей теста тАУ получается путём анализа устойчивости результатов отдельных совокупностей тестовых задач или отдельных частей теста.

    8.1 Ре-тестовая надежность

    Когда тест не может дать тот же самый результат для некоторого испытуемого (при условии, что этот испытуемый не изменился) в различных условиях, - значит, не все в порядке. Способ измерения ре-тестовой надёжности очень прост. Вычисляется корреляция показателей для выборки испытуемых, протестированных в двух случаях. Удовлетворительным наименьшим значением для ре-тестовой надежности является 0,7. Указанный предельный коэффициент надежности в  известной мере  условен. Для проективных и некоторых других тестов личности показатель ре-тестовой надежности может быть ниже, при этом диагностическая ценность методики не снижается.

    При более низком  значении использование  теста становится вряд ли  целесообразным, поскольку стандартная  погрешность  получаемых  по  нему  показателей будет  настолько  велика,  что  интерпретация показателей  станет сомнительной.

    8.2 Коэффициент надежности

    Средняя величина корреляции одного теста или задания со всем тестами или заданиями из генеральной совокупности называется коэффициентом надежности. Квадратный корень из коэффициента надёжности является корреляцией данного теста или задания с истинным  показателем. Однако на практике  невозможно точно  вычислить это  теоретическое значение надежности , потому что количество разработанных  нами заданий и тестов не  является бесконечным. Это означает, что надежность некоторого теста можно оценить лишь приблизительно.

    Таким образом, на практике коэффициенты надежности основаны на  корреляции одного  теста с  другими, и  эта оценка  может быть не  очень  точной. Это, означает, что имеющая более существенное значение корреляция теста или задания с истинным показателем тоже может быть оценена неточно.

    8.3 Надежность и величина теста

    Таким образом, надежность возрастает с величиной теста. С точки зрения разработчика тестов важной является быстрота возрастания надежности с возрастанием количества заданий. Всегда трудно разработать большое количество валидных заданий (например, таких, которые принадлежат именно нужной генеральной совокупности); следовательно, если мы хотим продемонстрировать, что скажем, надежность двадцати пяти заданий (с заданной средней корреляцией) является высокой, то достижение этой цели будет иметь смысл.

    8.4 Коэффициент ассоциации  для оценки надёжности теста

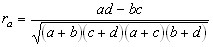
    Тесноту связи между качественными признаками X и Y измеряют с помощью коэффициента ассоциации. Где Х тАУ вид теста, а Y тАУ результаты тестирования. В простейшем виде формула, по которой рассчитывается этот показатель, выглядит следующим образом:

    ,                        (1.1)

    где

    a, b, c, d тАУ численности коррелируемых групп.

    Коэффициент ассоциации, как и пирсоновский коэффициент корреляции, изменяется от -1 до +1. Значимость можно проверить с помощью t-критерия Стьюдента. Нулевую гипотезу, которая сводится к предложению, что в генеральной совокупности этот показатель равен нулю, отвергают, если

    ,                                                        (1.2)

    где

    тАУ количество тестируемых,

    тАУ коэффициент ассоциации,

    тАУ t-критерий Стьюдента,

    для принятого уровня значимости  () и числа степеней свободы .

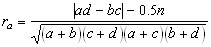
    Так как коэффициент ассоциации имеет прямое отношение к пирсоновскому критерию , на котором он основан, то распределение вероятных значений критерия является непрерывным. Качественные же признаки дискретны, их числовое значение не распределяются непрерывно. Учитывая эту особенность, в формулу (1.1) принято вносить поправку Йейтса на непрерывность вариации, равную половине объёма выборки. И формула (1.1) принимает следующий вид:

    .                        (1.3)

    9. Валидность

    Кратко рассмотрим  природу валидности,  второй из  основных характеристик  эффективных  тестов. Тест называется валидным, если он измеряет то, для измерения чего он предназначен. Однако такое определение не разъясняет удовлетворительно значения валидности. В  этом случае  возникает новый вопрос: как мы узнаем, что тест измеряет то, для чего  он предназначен? В действительности, существует  много различных  способов доказательства валидности тестов, и каждый из них  соответствует разным аспектам этого значения.

    Говорят, что тест является, очевидно валидным,  если о  нем складывается впечатление, что  он измеряет  именно то,  что подразумевается, особенно с точки зрения  испытуемых

    Конкурентная валидность тАУ эта  валидность  оценивается  по  корреляции  результатов данного теста с результатами других  тестов. Так,  если мы  пытаемся установить  конкурентную  валидность  некоторого  теста интеллекта,  мы будем изучать его  корреляцию с  другими тестами,  валидность которых  установлена.

    Содержательная валидность. Этот   термин  применяется,   в  основном,   по  отношению   к  тестам достижений  и  может  быть  просто  объяснён  следующим   образом.  Если можно  показать,  что  задания  теста  отражают  все  аспекты  исследуемой  области поведения,  то  тест  является,  по существу,  валидным, при условии,   что   инструкции   изложены   ясно.   Содержательная   валидность  не  сводится  к  простой  очевидной  валидности,  которая связан с  внешним  видом  заданий  теста.  Если  в  тесте  математических навыков мы хотим протестировать умение перемножать выражения скобках  и  имеем задания  вида , то  трудно оспаривать валидность  этого  задания.  Очевидно, содержательная  валидность полезна только для тех тестов, для которых, как в данном  случае, смысл, измеряемого параметра полностью ясен.

    Были  описаны  разнообразные  способы  установления валидности тестов,  некоторые  из  них  коренным  образом отличаются  друг от друга. Из  обсуждения  должно быть  также понятно,  что не  может быть какого-либо  единственного  показателя,   демонстрирующего  валидность теста. Для  полной ее  проверки следует  учитывать множеств получаемых показателей. Более  того, как  это станет ясно из дальнейшего изложения,  валидность теста  может фактически гарантироваться  логически  обоснованными  методами  конструирования тестов.

    10. Дискриминативность

    Дискриминативность тАУ это способность отдельных заданий теста и теста в целом дифференцировать обследуемых относительно ВлмаксимальногоВ» и ВлминимальногоВ» результата теста.

    Еще  одной особенностью  эффективных тестов  является дискриминативность. Действительно,  достижение удовлетворительного  распределения показателей  является одной  из целей  разработчика теста. При помощи тщательного конструирования теста можно обеспечить соответствующий уровень дискриминативности, а  это именно  то, в  чем тесты  значительно выигрывают  по  сравнению  с  другими  формами  испытаний.  В общем,  было обнаружено, что в  оценке может  быть использовано  около девяти градаций [1], а в опросах, вероятно, наиболее эффективно использовать три градации: ниже среднего, средний уровень и выше среднего. Дискриминативность измеряется  показателем дельта Фергюсона  и  принимает  максимальное  значение  при равномерном (прямоугольном) распределении показателей ().

    10.1 Метод Фергюсона для вычисления дискриминативности теста

    Коэффициент Фергюсона  тАУ это отношение между показателем дискриминативности, полученным для некоторого теста и максимальным значением дискриминативности, которое может обеспечить  такой тест.

    ,

    где

    тАУ количество испытуемых,

    тАУ количество заданий теста,

    тАУ частота встречаемости каждого показателя.

    = 0, когда все испытуемые получили одинаковые показатели, то есть когда нет дискриминативности. = 1 при равномерном распределении заданий, в которых наиболее полно были реализованы все возможные проявления измеряемого свойства.

    11. Литература
    1. Грасс В.В. Дипломная работа бакалавра.
    2. Кирмайер М. Мултимедиа: Пер. с нем. тАУ СПб.: BHV тАУ Санкт-Петербург,         1994 тАУ 192с.: ил.
    3. Ресурсы Internet:

    http://" onclick="return false">

    http://" onclick="return false">

    http://" onclick="return false">

    http://" onclick="return false"> 12. Содержание 1. Введение        1 2. Современное положение дистанционного образования        2

    2.1 Путь в Европу открыт        5

    2.2 На западе делают деньги на дистанционном образовании        6

    2.3 Глобальный рынок учебных программ        7

    2.4 Онлайновый диплом иногда стоит дороже        8

    3. Требования к системе Влэлектронного учебникаВ»        8 4. Требования к системе проектирования Влэлектронного учебникаВ»        9 5. Основные возможности ToolBook II Assistant Version 6.0        9

    5.1 Каталог объектов в пакете ToolBook II Assistant ver. 6.0        10

    5.2 Организация работы объектов контроля в ToolBook II        11

    5.3 Использование Java и HTML в пакете ToolBook II        12

    6. Электронный учебник        13 7. Требования к построению теста        14 8. Надёжность        14

    8.1 Ре-тестовая надежность        15

    8.2 Коэффициент надежности        15

    8.3 Надежность и величина теста        16

    8.4 Коэффициент ассоциации  для оценки надёжности теста        16

    9. Валидность        17 10. Дискриминативность        18

    10.1 Метод Фергюсона для вычисления дискриминативности теста        19

    11. Литература        20 12. Содержание        21

    Вместе с этим смотрят:

    Социальная работа в пенитенциарной системе
    Социальная работа как особый вид деятельности
    Социальная работа с детьми алкоголиков
    Социальная работа с женщинами и детьми, подвергшимися насилию