Тесты. Тесты по выявлению личностных диспозиций
Санкт-Петербургский государственный университет культуры и искусств
Курсовая работа по предмету
Методика социально-педагогического эксперимента
На тему тАЬТесты. Тесты по выявлению личностных диспозицийтАЭ Выполнил студент 3 Курса 310 группыФакультета культуры семьи и детства
Сирота Г.Н.
Санкт тАУ Петербург 2002
К началу XX в. практические потребности изучения преобладаюВнщих способностей человека были сформулированы в виде научной проблемы исследования индивидуальных различий. Эта проблема и дала импульс к появлению первых тестов. Ф. Гальтон, известный английский ученый, в течение 1884тАФ1885 гг. провел серию испытаний, в которых посетители лаборатории в возрасте от 5 до 80 лет могли за небольшую плату проВнверить свои физические качества (силу, быстроту реакции и др.), ряд физиологических возможностей организма и психических свойств - всего по семнадцати показателям. В число последних вошли показаВнтели роста, веса, жизненной емкости легких, становой силы, силы кисти и удара кулаком, запоминаемости букв, остроты зрения, разлиВнчения цвета и другие. По полной программе было обследовано 9337 человек. Ф. Гальтон писал, что практика вдумчивого и методичВнного тестирования тАФ не фантазия; она требует рассмотрения к экспеВнримента.
Дж. Кэттелл, по-видимому, первым увидел в тестах средство измерения, казалось бы, не измеряемых свойств человеческой психики. В работе, опубликованной в 1890 г., он дал список 50 лабораторных тестов, которые сейчас бы назвали не тестами, а контрольными заданиями. Эти задания обладали только двумя из известных сейчас требований к тестам - имелась инструкция по их применению и подчеркивался лабораторный (т. е. научный) характер испытаний. В частности, указывалось, что лабораторию следует хорошо оборудовать, в нее не допускаются зрители во время тестирования; все испытуемые одинаково инструктируются, они должны хорошо усвоить, что и как нужно им делать.
С момента первых публикаций Ф. Гальтона и Дж. Кэттелла идея тестового метода сразу же привлекла к себе внимание ученых разных стран мира. Появились первые сторонники тестов и первые же проВнтивники. В числе сторонников были: в Германии тАФ Г. Мюнстерберг, С. Крепелин, В. Онри, во Франции тАФ А. Бине, в США тАФ Дж. Гилберт и другие. Это были исследователи нового типа, стремившиеся связать психологию тех лет с запросами практики. Однако стремление к приВнкладным исследованиям в психологии прошлого расценивалось как отход от науки. Дж. Кэттелл, например, сообщал, что он начал свои первые тестовые лабораторные исследования индивидуальных различий в 1885 году, но публиковаться не мог из-за противодействия В. Вундта.
Научный статус тестов не был определен, возможность измеВнрений в психологии подвергалась сомнению. Психология переживала трудный период: она уже не могла развиваться на старой основе, но и не научилась еще смотреть на мир по-новому.
Начало 30-х годов 20 в. характеризуется широким использованием теВнстов во многих странах. В отечественной истории тестов начало 30-х годов характеризуется интенсивным и неконтролируемым использованием тестов в системе народного образования и в промышленности. Практика, как это часто бывает, опережала теорию. Массовые тестовые обследования не подВнкреплялись серьезной проверкой качества инструментария, решения о переводе некоторых учащихся в классы для умственно отсталых детей принимались на основе коротких тестов без учета других факторов, влияющих на результаты проверки. В промышленности на основе таких же тестов делались попытки классификации работников по различным профессиям, без внимательного учета личных склонностей и интересов. Ввиду надвигавшейся тестомании и ряда причин субъективного хаВнрактера было принято известное постановление ВлО педологических извращениях в системе наркомпросовВ» (1936), наложившее запрет на применение бессмысленных (как там отмечалось) тестов и анкет. Это постановление, по мнению А. Н. Леонтьева, А. Р. Лурия и А. А СмирВннова, получило в последующие годы неправомерно расширительное толкование и привело к отказу от разработки научно обоснованных меВнтодов психологической диагностики личности.
В те годы были, однако, и другие выступления тАФ в пользу тестов, Так, известный советский психолог М. Я. Басов говорил: ВлЯ думаю все же, что эта долгая, подчас острая критика тестовой методики.. в конце концов, приведет не к ниспровержению, не к упразднению этой метоВндики, а напротив, к ее упрочнению и к ее утверждению в определенных границах, в которых она, очевидно, имеет полное право на применение и существованиеВ».
Тем не менее начиная с указанного периода критика тестов приВнобрела широкий размах и вышла за рамки чисто научных дискуссий. В печати появился ряд публикаций, в которых тесты отвергались, как говорится, Влс порогаВ». В США, например, против использования тестов выступали представители основных групп населения США тАФ взрослые и дети, белые и негры, рабочие и управленческий персонал, а также представители национальных меньшинств.
В серии проведенных исследований по социальным последствиям тестирования выяснилось, что 37% опрошенных возражали против использования тестов при поступлении на работу, 50% тАФ при продвижении по службе, 25% тАФ против использования тестов в школе. Случаи нарушения этики в использовании тестов окаВнзались столь злободневными, что ими вынужден, был заняться конВнгресс, устроивший специальные слушания по этому делу. В результате было принято решение, осуждающее неэтичное использование тестов, практику вторжения в частную жизнь, как идущую вразрез с моВнральными нормами. В августе 1966 г. в сенате США обсуждалось предложение о полном запрещении тестов, но это предВнложение не было поддержано большинством.
В зарубежной литературе выделяется несколько источников криВнтики тестов. Первый источник психолог С. Брим усматривает в личВнностном портрете критиков, в числе которых чаще других оказываются те, кто не склонен к самопознанию и интроспекции, авторитарен в межВнличностных отношениях, нетерпим к мнению других и возражает проВнтив всяких социальных перемен. Как правило, в США эти лица примыВнкают к правым политическим группам, требующим запрещения тестов. Второй источник критики этот же автор видит в системе социальных ценностей, имеющей свои корни в отношении к вопросам равенства людей. Если в обществе одобряется принцип открытого соревнования его членов, то в каждом поколении на передовые позиции должны выдвигаться наиболее талантливые люди. В таком обществе каждый должен иметь возможность внести свой вклад в соответствии со своими способностями. Последние должны быть оценены, и потому ориентация на этот принцип создает благоприятное отношение к тестам. Третий источник является, по мнению Р. Кэттелла, следствием эмоционального и сентиментального отношения люВндей эстетического и нарцистического типа против всякой попытки представить "уникальную, художественную личностьВ» в виде формул и т. п. Четвертый источник критики является научным и касается недоВнстатков тестового метода.
В 30-е годы случилось так, что психотехника не оправдала возлаВнгавшихся на нее надежд в смысле заметного повышения производительВнности труда. Она и не могла это сделать, потому что на том сравниВнтельно низком уровне промышленного развития прогресс в значительВнной мере зависел от уровня индустриализации и автоматизации произВнводства. При достижении необходимого уровня развития средств проВнизводства человеческий фактор вновь начинает играть ключевую роль. Вот почему именно в последние годы стал заметно увеличиваться поток прикладных психологических исследований, нацеленных, в частности, на повышение эффективности человека-оператора в управлении сложВнными техническими системами. Соответственно возросла роль психоВнфизики, психометрии, прикладной и инженерной психологии, психолоВнгии труда и безопасности, экспериментальной психологии, научно обосВннованной профориентации и профотбора. Вместе с этим опять возросло и значение тестов.
Хотя в 30-е годы практическая работа по тестам затормозилась, научное изучение действительных возможностей этого метода в нашей стране не прекращалось. Часть тестов применялась под видом контВнрольных заданий, испытаний и, наоборот, различные испытания нередко назывались тестами. Суть вопроса, разумеется, не в названиях, а в принципиальных отличиях.
Первое отличие состоит в том, что тест является научно обосноВнванным методом эмпирического исследования в психологии и в ряде других наук. Важная мысль К. Маркса о том, что одна экономическая эпоха отличается от другой не тем, что она производит, а тем, каким способом она это делает, относится в полной мере и к психологической науке. В период зрелоВнсти в ней, как и везде, все большее внимание направляется на способы познания и на критерии обоснования истинности знания.
Второе принципиальное отличие связано со сравнительно новой ролью теста как инструмента теоретического исследования в такихВ» например, направлениях психологии, как изучение личности, способВнностей. Здесь использование тестов позволило преодолеть методологиВнческий тупик, в котором оказались авторы многочисленных теорий, концепций, интуитивных догадок и иных умозрительных построенийВ» не видевших способа обоснования истинности своих суждений. НепоВнсредственное же обращение к практике как критерию истины дает нередко противоречивые результаты, ибо действительная научная аргуВнментация практикой требует определенного структурирования, опосредования, абстрагирования последней и, кроме того, методической вооруженности исследователя.
Только в последние годы в психологии стала широко осознаваться задача согласования теоретических конструкций с эмпирическими реВнзультатами, для чего стали необходимыми методы, позволяющие это делать без заметной потери качества такого согласования. Тесты являВнются сейчас, по-видимому, наиболее развитой в научном отношении частью методического арсенала, позволяющего адекватно скреплять теорию с эмпирией, в соответствии с некоторыми известными стандарВнтами качества информации. Именно такое понимание тестов все в большей мере начинает утверждаться в новейшей отечественной и заВнрубежной литературе.
Обоснование качества результатов психологических исследований требует нередкого обращения к вне психологическим понятиям и критеВнриям: философским, логическим, математико-статистическим. В частВнности, философский элемент в теорию психологических измерений вноВнсит известный тезис о неизбежности погрешности измерений. Критики психологических тестов нередко апеллируют к этому тезису как к осноВнванию принципиальной порочности тестов в смысле точности измереВнний. Неточные измерения, считают они, науке вообще не нужны. При этом как-то забывается, что формой преодоления этого философского скепсиса является тезис о возможности приближенного измерения с достаточно приемлемой точностью. Применение на практике последнего тезиса позволило получить, например, в физике те фундаментальные результаты, которыми эта наука по праву гордится.
Не вдаваясь в детальный анализ концепции надежности, необходимо отметить ее связь с понятием ВлтестВ». Действительный отход от упрощенного понимания тестов требует наполнения интересующего нас понятия элементами научного языка, восхождения на более высокую ступень абстракции. Концепция надежности составляет одну из основ переосмысления сущности теста, а также одну из характеристик его качества. Без упоминания о надежности определение теста не имеет смысла, ибо тогда пропадает одна из тех самых differentia specificaВ» о которых говорил К. Маркс.
С появлением корреляционного анализа (в начале XX в.) были предложены три основных методических подхода к определению наВндежности теста. Это тАФ повторное тестирование, использование паралВнлельных форм одного и того же теста и, наконец, однократное тестироВнвание с последующим разбиением матрицы исходных результатов Х на две или большее число частей. За показатель надежности приниВнмается значение коэффициента корреляции.Заметно позже появились попытки теоретического осмысления этой концепции. Исходным пунктом всех построений является уже упомиВннавшийся тезис о неизбежности погрешности измерений и, как следВнствие, признание множественности возможных причин искажения истинного результата измерения.
Как результат факторно тАУ аналитического переосмысления концепции надежности и гомогенности теста родилась новая технология расчета коэффициента надежности теста. Ее появление надо рассматривать как реакцию на неприемлемость и искусственность ряда таких условий и ограничений, как например параллельность форм одного и того же теста, равенство дисперсий всех высказываний, одинаковая их коррелируемость друг с другом и др. Д. Армор использоВнвал известный факт корреляции тестовых высказываний между собой и стал рассматривать ее как аргумент, статистической функцией котоВнрого является надежность теста.
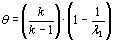
Если все высказывания измеряют один и тот же признак (свойство), то для фиксированного их числа чем больше корреляция между ними, тем более надежен тест. С другой стороны, высокая корреляция обесВнпечивает хорошую факторизуемость корреляционной матрицы (R) и, следовательно, является залогом выделения такого одного фактора, который может объяснить связь большей части дисперсии в R. СлеВндовательно, надежность тестов должна быть связана с результатом факторного анализа. Предложенная этим автором формула оказалась сравнительно простой:

где θ тАФ коэффициент надежности теста; k тАФ число высказываний;
λ1 тАФ наибольшее значение корня, получаемое при решении характеВнристических уравнений вида /RтАФλ⋅J/=0.
Помимо надежности в понятие ВлтестВ» входит и концепция валидности. Поскольку в психологии нередки случаи увлечения точностью измерения неточно выделенных свойств, соотношение между надежВнностью и валидностью можно образно представить в виде кучной стрельбы, но несколько в стороне от центра мишени, т. е. стрельба из оружия вполне надежного, но прицел стрелок выбрал не совсем точно.
Современный тест тАФ это не только надежный, но и валидный тест, однако, не на все случаи жизни, а разработанный для конкретной цели. Нет тестов вообще надежных и валидных. Эти качества характеризуют не только инструмент измерения, но обязательно характер, цель и время его применения. В историческом разрезе концепция валидности, так же как и надежности, начиналась с наивного предположения о том, что метод "работает", т. е. каждый создаваемый тест рассматривался как валидный, примерно так, как если бы каждая создаваемая социоВнлогами анкета будто бы годилась для решения поставленных задач. Первые же проявления действительно научной критики развенчали эту, по сути, ВлверуВ» в валидность. Они же стимулировали поиск. ПривлеВнчение к созданию тестов известных ученых было для научной общественности в начале века гарантией убедительности обоснования валидности как бы по авторитету. Но это был дотеоретический, доэмпирический, по существу, донаучный этап оценки качества тестов.
Поскольку в те годы тесты разрабатывались исключительно для решения практических проблем, эмпиризм и соответствующая ему меВнтодология стали главными для обоснования качества инструментария. Это особенно проявилось в создании тестов для решения кадровых проблем: профотбора, профориентации, профконсультации, а также распределения принятого контингента по специальностям и отделениям внутри производства или учебного заведения.
С точки зрения истории можно выделить два основных, эмпиричеВнских подхода к валидизации тестов. Первый назовем прогностическим. Его логика такова. Если те, кто хорошо работают (по критерию У), показывают высокие результаты по какому-либо тесту (X), значит, здесь есть связь, быть может и причинная. Иначе говоря, У, вероятно, зависит от X. Отдавая предпочтение при приеме на работу тем, у кого выше результаты по X, предполагается, что они покажут и более выВнсокую производительность труда. Ожидания такого рода часто сбыВнваются, но в различной степени. Другой подход к эмпирической валиВндизации тестов основан на использовании экспертных оценок. Здесь логика еще проще, - если эксперты (множество авторитетов) соглаВнсованно считают одних более способными, других тАФ менее, значит Влэто такВ». В случае, когда результаты теста указывают на сходную тенденцию, т. е. данные по тесту коррелируют с данными экспертизы, то принимается, что тест валидный и его можно далее применять и в других подобных ситуациях. Так проводилась валидизация первого теста для измерения интеллектуальных способностей, а в наше время тАФ некоторых тестов для измерения социальВнных потребностей молодежи.
Развитие тестов в тесных рамках эмпиризма не могло продолВнжаться долгое время. Без теоретического мышления, как указывал Ф. Энгельс, невозможно связать между собой хотя бы два факта природы или уразуметь существующую между ними связь. Обращение к внеэмпирическим критериям истинности было неизбежным. Отсюда последовали такие подходы к валидизации, в которых теория сочеталась с эмпиВнрией. В качестве примера можно взять важную для традиционной псиВнхологии область научных конструктов, ключевых психологических поВннятий. Именно понятия и конструкты стали основным предметом мноВнгих исследований с помощью тестов. Последние призваны уточнить эмпирический состав индикаторов (высказываний), соответствующих таким конструктам-понятиям, как личность, темперамент, интеллект, экстраверт и многих других. В современной психологии они стали предВнметом эмпирического исследования, и делается это с целью фундаменВнтального обоснования практической значимости теоретических сужВндений.
Теперь пора ответить на последний вопрос, тАФ что же такое совреВнменный психологический тест? Это теоретически и эмпирически обосВннованная система высказываний (заданий), позволяющая получить измерения соответствующих психологических свойств. Теоретическое обоснование предполагает всесторонний анализ теста и результатов его применения в свете известных достижений современной психологичеВнской науки. Эмпирическое же обоснование связано с обращением к опыту, измерениям и эксперименту.
Здесь может возникнуть ошибочная ассоциация с неопозивистским принципом верификации. Этому способствует наличие в обоих случаях требования эмпирического согласования теоретических конВнцепций (конструктов). Но, как справедливо отмечал Э. М. Чудинов, наука до и независимо от неопозитивизма руководствовалась требоВнванием принципиальной проверяемости своих теорий. Это всегда отлиВнчало науку от религии и натурфилософских построений, обеспечивало ей строгость и точность. Неопозитивизм абсолютизировал эту грань, черточку научного познания, обратив ее против философии и против самой науки. Он трансформировал указанное требование в принцип верификации, который накладывает на науку непомерные ограничения и несовместим с ней.
Отмеченными выше критериями надежности и валидности проблеВнма обоснования научности тестов не закрывается. Из используемых сейчас двух критериев первый назовем общенаучным, а второй тАФ спеВнциально научным. Их широкое применение всего лишь дань сложивВншейся в теории тестов традиции. В ряде наук идеи валидности преломВнляются в виде стремления обосновать истинность, обоснованность, неВнобходимость, системность, рациональность и др. Ключевым критерием-принципом является истинность, которая связана со всеми остальными. Валидность теста соотносится с истинностью через принцип предметВнности знания, указывающего на степень его соотнесенности к познаваеВнмому. Но все это тАФ область специального исследования, которое еще предстоит провести в процессе дальнейшего развития теории и пракВнтики применения психологических тестов.
Изучение человека состовляет одну из важнейших задач науки, а среди наук о человеке психология занимает одно из первых мест. Психологический тест помогает разбираться в своей психической жизни. Он дает возможность понимать самого себя, знать свои сильные и слабые стороны. А знать себя необходимо для самовоспитания, для работы над собой, над исправлением своих недостатков, над развитием своих способностей. К настоящему времени тесты весьма разнообразны и существует множество оснований для их классификации. Это тесты интеллекта, достижений, специальных способностей, креативности, межличностные, практические, тестовые и образные задания, вербальные тесты, которые включают в себя задания на оперирование словами, а также множество бланковых, аппаратурных, процессуальных, тестов состояний и свойств, и особой группы тАУ проективных тестов.Психологические тесты
Тестами в психологии называют стандартизированные методики психодиагностики, позволяющие получать сопоставимые колличественные и качественные показатели степени развитости изучаемых свойств. Под стандартизированностью таких методик имеется в виду то, что они всегда и везде должны применяться одинаковым образом, начиная от ситуации и инструкции, получаемой испытуемым, кончая способами вычисления и интерпритации получаемых показателей. Сопоставимость означает, что оценки, получаемые при помощи теста, можно сравнивать друг с другом независимо от того, где, когда, как и кем они были получены, если, разумеется, тест применялся правильно.История психологического теста уходит в глубину веков, она связана с испытанием различных способностей, знаний, умений и навыков. Уже в середине третьего тысячелетия до нашей эры в Древнем Вавилоне проводились испытания выпускников в школах, где готовились писцы. Профессионально подготовленный писец был центральной фигурой месопотамской цивилизации, благодаря обширным по тем временам знаниям, он был обязан знать все четыре арифметических действия, уметь измерять поля, распределять рационы, делить имущество, владеть искусством пения и игры на музыкальных инструментах. Кроме того, проверялось умение разбираться в тканях, металлах, растениях и др.
В Древнем Египте только тот обучался искусству жреца, кто был способен выдержать систему определенных испытаний. Вначале кандиВндат в жрецы проходил собеседование, в процессе которого выяснялись его биографические данные, уровень образованности; кроме того, оцеВннивались внешность, умение вести беседу. Затем следовали проверки умения трудиться, слушать и молчать, испытания огнем, водой, страхом преодоления мрачных подземелий в полном одиночестве и др. Все эти жестокие испытания дополнялись угрозой смерти для тех, кто не был уверен в своих способностях к учению и в том, что сумеет выдержать все тяготы длительного периода образоваВнния. Поэтому каждому кандидату предлагалось еще раз подумать и, тщательно взвесив, решить, с какой стороны закрыть за собой дверь в храм тАФ с внутренней или с внешней.
Сообщается, что эту суровую систему испытаний успешно преодоВнлел знаменитый ученый древности Пифагор. Вернувшись позже в ГреВнцию, он основал школу, допуск в которую открывал только для тех, кто был способен преодолеть серию различных испытаний, похожих на те, которые он выдержал сам. Как свидетельствуют источники, Пифагор подчеркивал важную роль интеллектуальных способностей, утверждая, что Влне из каждого деВнрева можно выточить МеркурияВ», и потому, вероятно, придавал больВншое значение диагностике именно этих способностей. Для этого кажВндому давалась сравнительно трудная математическая задача. В слуВнчае ее решения вопрос о приеме решался сразу. Однако чаще всего задача не решалась, после чего неудачника вводили в зал, где учеВнники, по правилам испытаний, должны были беспощадно поднимать его на смех, давая ему обидные прозвища. Если поведение новичка в этой критической ситуации характеризовалось умением отвечать на выпады, хорошо и достойно держать себя, его принимали в школу.
Особенное значение Пифагор придавал смеху и походке молодых людей, утверждая, что манера смеяться является самым хорошим поВнказателем характера человека. Он внимательно относился к рекоменВндациям родителей и учителей, тщательно вел наблюдение за каждым новичком после того, как последнего приглашали свободно высказываться и не стесняться, смелее оспаривать мнения собеседников.
Сообщается, что за 2200 лет до н.э. в Древнем Китае уже существовала система проверки способностей лиц, желавВнших занять должности правительственных чиновников. Каждые три года чиновники повторно экзаменовались лично у императора по шести ВлискусствамВ»: музыке, стрельбе из лука, верховой езде, умению пиВнсать, считать, знанию ритуалов и церемоний. Для государства система экзаменов была важным средством отбора достаточно способных, в меру эрудированных, и главное, лояльных по отношению к власти люВндей для последующего их использования на административной службе.
Нередко результаты испытания интеллектуальных способностей становились предметом гордости того или иного народа, а иногда слуВнжили даже для извлечения доходов. Сообщается, например, что индийский царь Девсарм, желая испытать мудрость иранцев, прислал им шахматы. Предполагалось, что иранцы вряд ли сумеют разгадать суть этой игры и потому они должны были по условию отослать в Индию подать. Сообщается, однако, что визирь Хосрова Важургмихр понял правила игры и в свою очередь изобрел игру, называемую сейчас нарды. Он послал с новой игрой визиря в Индию, где ее, как выясниВнлось, разгадать не смогли.
Приведенный здесь краткий исторический экскурс позволяет сдеВнлать вывод о необходимости рассматривать испытания индивидуальВнных способностей как важную и неотъемлемую часть общественной жизни многих (если не всех) народов мира со времен древнейших цивилизаций и до наших дней. Однако можно ли, на основании привеВнденных данных говорить о глубокой истории и широкой распространенВнности тестов? Если согласиться с наиболее известными сейчас опредеВнлениями теста даваемыми как перевод с английского слова ВлtestВ» тАФ испытание проверка, проба, то на поставленный вопрос надо отвечать утвердительно. Дело, однако, в том, можно ли в наше время так опреВнделять тест.
Определения подобного рода Маркс удачно называл простым назваВннием идеи, создающим только видимость познания. ВлОбъяснение, - пиВнсал он, - в котором нет указания на differentia specifica (т. е. специфиВнческое различие), не есть объяснениеВ». Для научного анализа приведенная выше трактовка теста уже недостаточна, ибо она не раскрывает тех существенных признаков, которые выделяют тест из других средств психодиагностики, контроля знаний методов оценки способностей. ВлСлишком короткие определения, - отмечал В. И. Ленин, - хотя и удобны.. все же недоВнстаточны, раз из них надо особо выводить весьма существенные черты того явления, которое надо определитьВ»).
В случае с тестами научный анализ дает классический пример видимого совпадения вещей по форме и их действительных различий по существу. Различия начинаются с рассмотрения основного понятия. В марксистско-ленинской философии сложилась традиция рассмотреВнния научных понятий с двух противоположных позиции. Как отмечал Б. М. Кедров, каждое понятие может быть зафиксировано, во-первых, как сложившееся готовое на данный момент времени, а потому как относительно неизменное, постоянное. Во-вторых, научные понятия моВнгут и должны быть рассмотрены, исходя из того, что они выражают и резюмируют собой на каждом этапе научного развития определенную ступень движения науки. В результате складываются две логические системы: формально-логическая, оперирующая относительно неизменВнными. готовыми понятиями, и диалектологическая, оперирующая изменВнчивыми развивающимися или, по терминологии Энгельса, текучими понятиями.
С течением времени обыденное представление о тесте и научное понимание теста все больше удалялись друг от друга. Хотя всякий тест включает в себя элемент испытания, он не сводится только к нему, ибо это сейчас метод исследования, включающий в себя ряд чисто научных требований. На каждом этапе развития науки требоВнвания к тестам и они сами менялись. Игнорирование этого диалектиВнческого момента нередко приводит к упрощенчеству в его оценках.
Настоящая история тестов началась век назад, в канун периода ломки устаревшего общественного строя, революционного изменения общественного сознания, совпавшего по времени с научным кризисом, поразившим естествознание. Диалектика и материализм потрясли идеаВнлистический фундамент психологии и стали основой новой методоВнлогии.
Тесты по выявлению личностных диспозиций
ДИСПОЗИЦИЯ - готовность, предрасположенность субъекта к поведенческому акту, действию, поступку, их последовательности. В персоналистской психологии (В. Штерн) Диспозиция обозначает причинно не обусловленную склонность к действиям, в теории личности.
Ниже я приведу разработанный тест, который должен определить примерную социальную направленность личности. Он выделяет 6 типов:
- Реалистический тип тАУ несоциальный, ориентированный на настоящее, эмоционально стабильный, занимающийся конкретными объектами (вещами, инструментами, машинами), отдаёт предпочтение занятиям, требующим моторной ловкости, конкретности. Развиты математические, невербальные способности. Профессии: механик, электрик, инженер, агроном и т.п.
- Интеллектуальный тип тАУ несоциален, аналитичен, рационален, независим, оригинален. Преобладают теоретические ценности, любит решать задачи, требующие абстрактного мышления, интеллектуал. Гармонично развиты вербальные и невербальные способности. Предпочитает научные профессии: ботаник, астроном, математик, физик.
- Социальный тип тАУ обладает социальными умениями, нуждается в контактах. Черты его характера: стремление поучать и воспитывать, психологический настрой на человека, гуманность, женственность. Представитель данного типа старается держаться в стороне от интеллектуальных проблем, активен, но часто зависит от мнения группы людей. Проблемы решает, опираясь на эмоции, чувства, умение общаться. Обладает хорошими вербальными способностями. Рекомендуемые занятия: обучение и лечение (учителя, врачи, психологи).
- Конвенциальный тип тАУ предпочитает чётко структурированную деятельность. Характер стереотипный, конкретный, практический. Не проявляет критичность, оригинальность, консервативен, зависим, ригиден. Слабо развиты организаторские способности, преобладают математические способности. Предпочитает профессии, связанные с канцелярией и расчётом.
- Предприимчивый тип тАУ избирает цели, которые позволяют проявить энергию, энтузиазм, импульсивность, любит приключения. Представитель данного типа доминантен, любит признание, любит руководить. Ему не нравится практический труд, а также занятия, требующие интеллектуальных усилий, усидчивости. Хорошо решает задачи, связанные с руководством, статусом и властью, агрессивен и предприимчив, обладает хорошими вербальными способностями. Профессии: артист, журналист, телеоператор, заведующий, директор, дипломат и т.п.
- Артистический тип тАУ опирается на эмоции, воображение, интуицию; имеет сложный взгляд на жизнь. Независим в решениях, оригинален. Высоко развиты моторные и вербальные способности. Для представителей данного типа характерен высокий жизненный идеал с утверждением своего тАЬятАЭ. Он несоциален в том смысле, что не придерживается условностей общества. Предпочитает творческие занятия: музыку, рисование, литературное творчество и т.п.
Тест прост в проведении и обработке данных. Испытуемым предлагается инструкция, согласно которой из каждой пары профессий нужно указать одну, предпочитаемую. Всего 42 выбора.
Инструкция: Ниже попарно представлены различные профессии. В каждой паре профессий необходимо найти ту, которой отдаётся предпочтение. Например, если из двух профессий тАЬпоэт или психологтАЭ предпочитается вторая, тогда в листе ответов в графе 41 (б) необходимо поставить знак тАЬ+тАЭ
1. а) инженер б) электрик |
2. а) вязальщик б) санитарный врач |
3. а) повар б) наборщик |
4. а) фотограф б) заведующий магазином |
5 а) чертёжник б) дизайнер |
б) психиатр |
7. а) учёный тАУ химик б) бухгалтер |
8. а) редактор научного журнала б) адвокат |
б) переводчик |
б) сатирик |
воспитательной работы б) председатель профсоюза |
б) фельетонист |
б) снабженец |
б) карикатурист |
б) писатель |
б) метеоролог |
троллейбуса б) медсестра |
электрик б) секретарь- машинистка |
б) художник по металлу |
б) главный врач |
б) режиссёр |
б) ревизор |
б) зоотехник |
б) архитектор |
б) счетовод |
б) командир дружинников |
б) художник по керамике |
б) заведующий отделом |
б) критик |
б) директор |
б) специалист по ядерной физике |
б) механик |
б) председатель колхоза |
модельер б) декоратор |
б) эксперт |
б) консультант |
б) актёр |
б) стенографист |
б) дипломат |
б) директор |
б) психолог |
б) скульптор |
После выполнения теста необходимо будет выписать полученные результаты. Например, 27б, 16а, 23а и т.д., обводя в кружок данные в графе результатов и подсчитать максимальное количество совпадений в каждой графе, определяющей тип личности. Доминирование полученных ответов в какой - либо графе и должно указать тип личности. Если количество ответов будет примерно одинаковым в 2х графах, то это может свидетельствовать о смешанном типе личности.
Реалистический тип |
Интеллектуальный тип |
Социальный тип |
Конвенциональ- ный тип |
Предприимчивый тип |
Артистический тип |
1а 2а 3а 4а 5а 16а 17а 18а 19а 21а 31а 32а 33а 34а |
1б 6а 7а 8а 9а 16б 20а 22а 23а 24а 31б 35а 36а 37а |
2б 6б 10а 11а 12а 17б 20б 25а 26а 27а 36б 38а 39а 41б |
3б 7б 10б 13а 14а 18б 22б 25б 28а 29а 32б 38б 40а 42а |
4б 8б 11б 13б 15а 23б 26б 28б 30а 33б 35б 37б 39б 40б |
5б 9б 12б 14б 15б 19б 21б 24б 27б 29б 30б 37а 41а 42б |
Список использованной литературы:
1. Немов Р.С. Психология: Учебник для студентов пед. вузов тАУ М: Гуманит. изд. центр ВЛАДОС, Кн.3, 1999. 2. Бурлачук Л.Ф. Психодиагностика личности тАУ Киев, 1989.3. Гуревич К.М. Что такое психодиагностика тАУ М, 1995.
Вместе с этим смотрят:
ТрудТрудовые ресурсы как социально-экономическая категория и объект управления
Трудящиеся женщины в Германии
Урбанизация