Обоснование типа судна для заданного направления работы

Содержание

Введение__________________________________________________________3

  1. Внешние условия эксплуатации судов на заданном направлении:

      1.1 Транспортные характеристики перевозимых грузов ______________4

      1.2 Характеристика заданных портов и районов плавания____________5

2.Разработка проектных вариантов:

      2.1Расчет основных параметров направления работы________________8

      2.2 Формулировка требований к проектному типу судна_____________10

      2.3 Определение предельной грузоподъемности судна________________11

     2.4. Назначение границ варьирования______________________________12

3. Расчет показателей по вариантам:

      3.1 Расчет эксплуатационных показателей работы судов____________13

      3.2 Расчет показателей судо-суточных эксплуатационных расходов__19

      3.3 Определение валютно-финансовых показателей и выбор       оптимального типа судна ___________________________________25

4. Формулировка задания на проектирование__________________________38

Литература_____________________________________________________39

Введение

Понятие или термин Влтип суднаВ» выражает совокупность его основных технико-эксплуатационных характеристик, которая включает: специализацию, грузоподъемность, грузовместимость, скорость, тип СЭУ и архитектурно-конструктивный тип.

Содержание задачи обоснования технико-эксплуатационных характеристик судов состоит в том, чтобы установить технико-эксплуатационные характеристики, при которых в эксплуатации достигаются наилучшие результаты.

Решение задач обоснования  технико-эксплуатационных характеристик и типа судна производится в составе комплексных исследований по проектированию при организации новых линий, перевозок новых грузов и т.д., а также исследований, имеющих целью подготовить предложения к судостроительной программе по морскому транспортному флоту на перспективу. Подготовка предложения к судостроительной программе, кроме обоснования технико-эксплуатационных характеристик и типов морских транспортных судов, охватывает составление сетки типов судов и технических заданий на проектирование, определение общей потребности во флоте и пополнении новыми судами.

С учетом современного состава морского транспортного флота и направлений его развития задача обоснования технико-эксплуатационных характеристик судна ставится отдельно для различных типов судов: сухогрузных универсальных и специализированных; наливных и комбинированных; сухогрузно-наливных, узкоспециализированных; пассажирских и грузопассажирских. (1, с.346)

Основная задача определения экономической эффективности внедрения нового типа судна сводится к определению величины экономического эффекта от внедрения этого типа судна в определенных конкретных условиях его работы и оценки технического совершенства данного судна.

При окончательном выборе оптимального типа судна решающим является показатель приведенных затрат, так как он характеризует как текущие, так и единовременные затраты по судну, а также оборотные средства, заключенные в грузах на время транспортировки. (2, с.520)

1. Внешние условия эксплуатации судов на заданном направлении

1.1. Транспортные характеристики перевозимых грузов

Хлопок тАУ волокна, покрывающие семена хлопчатника, важное сырье для выработки тканей, трикотажа, ниток ваты и пр. Различают хлопок-сырец (волокно с неотделенными семенами), хлопок-волокно (волокна длиной более 20 мм) и подпушек (волокна менее 5 мм). К морской перевозке чаще предъявляется хлопок-сырец, хлопок-волокно и угары (отходы). Кондиционная влажность в зависимости от вида и сорта может колебаться в пределах 8 тАУ13 %.

При перевалке и хранении хлопка необходимо соблюдать особые условия и специальный режим.

Хлопок очень огнеопасен. Особую опасность для воспламенения представляют кипы с неисправной упаковкой, с торчащими из кип прядями и размохнатившимися клочками хлопка. Он способен незаметно тлеть продолжительное время и вызывать пожар через несколько суток. Тление или огонь может возникнуть при грузовых работах от искры из выхлопных труб, от искр, возникающих при ударах металлических деталей перегрузочных средств, трении шкентеля о комингс трюма и т.п. Хлопок тАУ груз, способный легко поглощать влагу. В результате намокания он плесневеет и подвергается самонагреванию. Самовозгорание увлажненного хлопка происходит в результате окисления кислородом воздуха. Процессу самонагревания и возгорания способствует соприкосновение хлопка с растительными маслами и другими жирами.

Хлопок чрезвычайно пылеемкий груз, и при перевозке в недостаточно чистых трюмах или по соседству с пылеобразующими грузами он теряет свои качественные показатели.

Под влиянием высоких температур или при вентиляции пересушенным воздухом волокно хлопка становится жестким и ломким, что ведет к потере его прядильных качеств.

Хлопок перевозят в прессованных кипах стандартной упаковки. Кипы упаковывают в пенько-джутовую или хлопчатобумажную ткань, скрепляют металлическими поясами из отожженной стальной проволоки или из стальной ленты. Соединение металлических поясов не должно выступать над поверхностями кипы. Во избежание повреждения упаковки и образования искр при трении с соседними кипами концы связанных проволок должны быть утоплены внутри кипы.

Кипы должны быть крепкими, чистыми, без следов подмочки и масляных пятен, без признаков самосогревания, иметь правильную форму и установленную маркировку.

Трюмы до начала погрузки очищают от мусора и пыли, сушат и вентилируют. Для предохранения кип от соприкосновения с металлическими частями корпуса их укрывают брезентом, рогожами или другими сухими и чистыми прокладочными материалами.

Для лучшего использования грузовместимости трюмов и уменьшения опасности самовозгорания хлопка от трения кип одна о другую во время качки судна все кипы следует укладывать ровными рядами и возможно плотнее. Чтобы не перепутать разные партии хлопка и не создать трудностей при его выгрузке, необходимо хорошо сепарировать все марки груза во время погрузки, так как по внешнему виду кипы разных сортов и классов не очень различаются между собой. Для маркировки кип с хлопком запрещается использовать масляные краски.

Если в трюмах есть нагревающиеся переборки или трубы, нужно перед погрузкой хлопка оградить их деревянными щитами или досками, отстоящими от источников тепла не менее чем на 10 см.

Все трубы, из которых могут вылетать искры, закрывают искрогасительными сетками. Электропроводка, проходящая в трюмах, должна быть в полной исправности, а все подпалубные фонари защищают сетками. Если применяют переносные электрические лампы, то они должны быть в исправной герметической арматуре с предохранительной сеткой и иметь напряжение не более 100 В. Бронированный шнур должен иметь штепсельную коробку, расположенную вне трюма. (3, с.173)

В качестве генеральных грузов будем рассматривать стиральный порошок в ящиках.

Стиральный порошок тАУ гигроскопический, пыльный груз, хорошо растворим в воде, водные растворы имеют щелочную реакцию. Подвержен окислительной порче. Издает слабый запах. Нельзя грузить в одном грузовом помещении с пищевыми продуктами и другими грузами, качество которых может быть ухудшено из-за приобретения посторонних запахов.

Общими требованиями для сохранности в пути стирального порошка являются: чистота в трюме и отсутствие в нем пылящих и испаряющих влагу грузов; применение чистых и сухих прокладочного и сепарационного материалов; размещение груза в трюмах или твиндеках выше грузов, способных при неблагоприятных штормовых условиях плавания выделять влагу; поддержание в трюмах  постоянной температуры в пределах 10-18ВєС и влажности 60-70 %; естественная вентиляция трюмов, открываемых в сухую погоду, или, при наличии на судне системы кондиционирования трюмного воздуха, периодическое вентилирование воздухом с рекомендуемыми для данного груза температурой и влажностью.

  Тара: ящики фанерные, обычно предварительно расфасован в потребительскую упаковку (коробки, пакеты). (4, с.377)

Основные транспортные характеристики грузов представлены в табл.1.1

Таблица 1.1. Основные транспортные характеристики грузов

Наименование груза

Род упаковки

Возможные СУГМ

Размеры грузовых мест, мм

Вес места, т

Удельный объем места, м3/т

УПО, м3/т

L

B

H

стиральный порошок

ящики

поддоны, контейнеры

600

400

500

0,075

1,6

2

хлопок

кипы

поддоны, контейнеры

950

700

550

0,35

1,045

1,27

1.2. Характеристика заданных портов и районов плавания

Рени тАУ порт, расположенный в устье Дуная  на границе с Румынией и Молдовой. Территория порта включает часть огражденной береговой полосы по левому берегу Дуная от 123,6 км до 128,3 км. Площадь территории порта 940 тыс. м2. Климат умеренно-континентальный с короткой теплой зимой и продолжительным жарким летом. Весеннее половодье начинается в феврале тАУ марте и продолжается до июня. В сентябре тАУ октябре уровень воды достигает своего низшего значения. Рейды порта открыты для ветров всех направлений. Грунт на акватории порта тАУ ил, местами песок.

Порт принимает суда, осадка которых не должна превышать 7,1 м. На акватории порта расположены 4 якорные стоянки: две тАУ для морских судов, две тАУ для несамоходных судов.

Порт возник как крупнейший в регионе пункт торговли зерном. На 37 причалах порта перегружаются генеральные, наливные, навалочные, пищевые, тяжеловесные, пакетированные грузы, грузы в контейнерах, колесная техника.

Порт Рени состоит из трех грузовых районов и паромного комплекса. Протяженность линии тАУ 3927 м, площадь территории тАУ 175,6 га. 1-й, 2-й районы специализированы на перевалке грузовых автомобилей. В порту функционирует два специализированных причала: причал для тяжеловесных грузов оборудован 250тАУтонным мостовым краном. Длина причала  120 м, глубина у стенки тАУ 3,6 м; причал для обработки судов типа тАЬRo-RoтАЭ. Длина 85 м. Глубина у причала тАУ 3,6 м. В порту есть нефтеучасток, способный способный принимать нефтеналивные морские и речные суда, грузоподъемностью до 10 тыс. т. и переваливать до       500 тыс.т. нефтепродуктов ежегодно. Общая площадь крытых складов 25,2 тыс.м2,        открытых тАУ 246,2 тыс.м2. В распоряжении порта есть портальные краны грузоподъемностью от 5 до 16 т, плавучие краны, автопогрузчики и другая техника.(6, с.240)

Пирей тАУ один из основных морских портов Греции. Порт расположен в заливе Сароникос на юго-востоке континента. Порт состоит из трех частей: Центрального порта, порта Геркулес и прилегающих бухт.

Центральный порт включает в себя грузовые причалы общей протяженностью 3800 м и пассажирские причалы протяженностью 3000 м. Глубина колеблется от 5 м до 27 м. В состав Центрального порта входит контейнерный причал и 2 причала по обработке судов                  типа ВлRo-RoВ».

Общая протяженность причальной линии порта Геркулес тАУ 5450 м. Этот порт обрабатывает суда с осадкой до 10 м. Большую часть грузов, которые проходят через порт Геркулес составляют уголь и зерно навалом, хотя в его составе есть контейнерный терминал и    4 причала по обработке судов типа ВлRo-RoВ».

Прилегающие бухты (Форон, Фалерон и др.) включают в себя причалы для обработки различных грузов с глубиной от 5 м до 11 м, в том числе 7 нефтеналивных причалов.

В распоряжении порта имеются 10-тонный мостовой кран для угля и руды, портальные краны грузоподъемностью от 15 т до 100 т, 130 мобильных кранов, три контейнерных перегружателя, а также тягачи, погрузчики, трейлеры и другая стандартная техника. Общая площадь крытых складов 245 тыс.м2, открытых тАУ 1663 тыс.м2. Порт предоставляет услуги по ремонту судов, а также снабжению топливом, водой и провизией.

Измир тАУ один из трех самых больших городов Турции, торговый центр, что обусловлено в большой мере наличием порта и его благоприятным географическим положением. Порт Измир расположен на западном берегу Эгейского моря. Он играет ведущую роль в экспорте страны. Измир тАУ быстро развивающийся порт, который постоянно добивается улучшения своего оборудования.

В состав порта входят 20 грузовых причалов с глубиной у стенки  от 7 м до 13 м, на которых могут быть обработаны генеральные, навалочные грузы и контейнеры, а также два пассажирских причала с глубиной у стенки 8 м до 10,5 м.

Оборудование порта включает 2 контейнерных перегружателя, 9 портальных кранов грузоподъемностью 3-15 т, 14 мобильных кранов грузоподъемностью 6-30 т, 100-тонный плавкран, а также тягачи, тракторы, погрузчики и другую технику. Общая площадь крытых складов 23,603 тыс.м2, открытых тАУ 215,94 тыс.м2. Топливо может быть предоставлено судам двумя частными компаниями, вода поставляется баржами. Доступны все виды ремонта.

Одесса тАУ крупнейший торговый порт Украины. Порт расположен на северо-западном побережье Черного моря в юго-западной части Одесского залива на искусственно образованной территории площадью 109,5 га.

Порт принимает на внутреннюю акваторию суда длинной 240 метров и шириной до 40 метров, осадка которых не должна превышать 12 м. Суда с осадкой 11 м. и более, находящиеся в портовых водах, считаются судами, стесненными своей осадкой.

В порту имеется 38 защищенных причалов с глубинами от 8 до 13 м. Общая протяженность причальной линии более 8000 м. Порт располагает восемью комплексами для переработки сухих грузов, пассажирским, нефтяным и контейнерным терминалами.

Мощности порта позволяют перерабатывать 38 млн. т грузов в год. Порт оснащен современным оборудование, перегрузочными машинами и механизмами, обеспечивающими перевалку следующих грузов: нефть и нефтепродукты в таре; бумага; сахар-сырец навалом; зерновые насыпью и в таре; цитрусовые, бананы и прочие грузы в мешках, ящиках, пакетах, ВлбигбегахВ», бочках, контейнерах. Порт принимает крупные круизные пассажирские суда и располагает самым современным в Украине морским вокзалом. Общая площадь открытых складов тАУ 215,4 тыс. м2, крытых тАУ 78,8 тыс. м2. Элеватор вмещает до 60 000 т зерна. Склад для скоропортящихся грузов  вмещает до 13 500 т.

После недавней реконструкции нефтегавани были переоборудованы причалы, созданы условия пожаробезопасной обработки судов, создана станция очистки балластных вод мощностью 100 тыс. в год. Сегодня шесть причалов гавани могут принять к обработке танкеры длиной до 260 м с осадкой до 13 м. (6, с.195)

Основные параметры портов и регламентирующих участков направления работы приведены в табл.1.2

Таблица 1.2. Характеристика портов и участков

Наименование порта, участка

Допустимая осадка, м

Характеристика каналов, узкостей

Наличие бункера

Необходимое перегрузочное оборудование для заданного груза

Примечание

L, мили

B, мили

H, м

Vo, узлы

Рени

7,1

Вавода, топливо

портальные краны грузоподъемностью 10, 20 т и др.

Ва

пр. Босфор

16

0,4-2

38-80

10

Ва

Ва

Ва

пр.Дарданеллы

60

0,7-10

53-106

10

Ва

Ва

Ва

Пирей

14

вода, топливо

портальные краны грузоподъемностью 15, 30 т и др.

Ва

Измир

12

вода, топливо

портальные краны грузоподъемностью 3-15 т и др.

Ва

Одесса

12

вода, топливо

портальные краны грузоподъемностью 5-20 т и др.

Ва

2. Разработка проектных вариантов

2.1. Расчет основных параметров направления работы

Рассчитываем потребное значение удельной грузовместимости тоннажа:

,

где - суммарный максимальный объем грузов прямого или обратного            направления, м3;

         - суммарный максимальный грузопоток прямого или обратного направления, т

200 000 т,

= 100 000 т,

200 000 т;

2,0 м3/т,

1,27 м3/т,

400 000 м3;

м3/т

Схема движения судов, которая является исходной для дальнейших расчетов, имеет вид:

Рени                                  Пирей           Измир                                Одесса         Рени

 

А                                              B                   C                                          D               A

где                       -  участок перевозки грузов

                             - участок балластного перехода

миля,

мили,

миль,

мили.

Общий грузопоток в тоннах

где - грузопоток i-го участка схемы движения или направления работы, т

= 300 000 т;

Грузооборот в тонна-милях

,

где - дальность перевозки 1 тонны груза на i-ом участке схемы, мили;

= 193 700 000 тм;

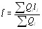
Средняя дальность перевозки 1 т груза

,

мили;

Протяженность направления работы, состоящего из одной схемы движения судов, определяется как сумма протяженностей  участков, формирующих схему

,

,

мили;

Потребный тоннаж для заданного направления работы (схемы движения) определяется из выражения

,

т;

Тоннаже-мили

,

,

= 328 600 000 т;

Коэффициент использования чистой грузоподъемности

,

0,59;

Коэффициент сменности

,

;

Коэффициент интенсивности

,

;

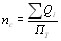
Средневзвешенные нормы грузовых работ

,

где - норма грузовых работ i-го вида груза, т/сут

т/сут

т/сут

т/сут

т/сут

т/сут

Результаты расчетов параметров схемы движения судов представлены в табл.2.1

Таблица 2.1. Параметры схемы движения судов

тыс.т

тыс. тм

тыс.т

тыс.тнжм

   миль

  миль

   

Ва

Ва     

тонн/сут

300

193 700

200

328 600

645,7

1643

0,59

2,54

1,5

1720

2.2. Формулировка требований к проектному типу судна

Анализ внешних условий эксплуатации судов на линии, тенденций развития отечественного и зарубежного судостроения, опыта работы флота на аналогичных схемах движения или близких по параметрам к полученной по заданным грузопотокам являются основанием для формулировки основных требований к проектному типу судна. Эти требования составлены с учетом судна-прототипа ВлРостокВ» и представлены в табл.2.2

Таблица 2.2. Требования к проектному типу судна

Назначение судна

Сухогруз

Архитектурно-конструктивный тип судна

Двухпалубное одновинтовое судно с кормовым расположением машинного отделения и надстройки

Наличие грузовых средств

Лебедки грузоподъемностью 3 т

Число и размеры трюмов

1 тАУ 17,111,63,6

2 тАУ 17,116,63,6

3 тАУ 17,816,63,6

4 тАУ 17,216,63,6

Число и размеры твиндеков

1 тАУ 17,111,63,2

2 тАУ 17,116,63,2

3 тАУ 17,816,63,2

4 тАУ 17,116,63,2

Дедвейт, т

5657

Тип судовой энергетической установки

Дизельный двигатель

Удельная грузовместимость,  м3/т

1,4

2.3. Определение предельной грузоподъемности судна

Предельное значение чистой грузоподъемности определяется:

а) по габаритным ограничениям (осадке) на трассе или в портах заданного направления

Допустимое водоизмещение:

,

где = 7,1 м - допустимая осадка судна в порту Рени;

      - относительная осадка, м

,

где = 6,92 м тАУ осадка судна-прототипа,

      = 9124 т тАУ водоизмещение судна-прототипа,

м3/т

т

Максимальное значение дедвейта судна:

где - коэффициент утилизации водоизмещения

,

где = 5657 т тАУ дедвейт судна-прототипа

т

Допустимое значение чистой грузоподъемности судна:

,

где - коэффициент утилизации дедвейта

где = 4800 т тАУ чистая грузоподъемность судна-прототипа

т

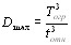
б) по предельной частоте отправления судов, которая принимается из условия обеспечения одного отхода в 10 сут.

,

где = 10 сут. тАУ предельное значение интервала отправления судов,

       - суточный объем перевозок, по участку с определяющим грузопотоком в прямом    или обратном направлении

где сут. тАУ период освоения заданного объема работы,

т/сут

     = 0,9 - коэффициент загрузки судна на наиболее напряженном участке схемы

т

Предельная грузоподъемность судна определяется путем выбора минимального значения из рассчитанных выше:

т

2.4. Назначение границ варьирования

На основе анализа полученного значения предельной грузоподъемности, данных о судне прототипе, заданном грузопотоке и возможностях его освоения назначаем варианты грузоподъемности и скорости судов. Результаты представлены в табл.2.3.

Таблица 2.3. Варианты грузоподъемности и скорости проектируемых судов

Наимено-    вание показателей

Ва т

Ва т

Ва т

узл

узл

узл

узл

узл

узл

узл

узл

узл

Ва

0,62

0,62

0,62

0,62

0,62

0,62

0,62

0,62

0,62

Ва

0,848

0,848

0,848

0,848

0,848

0,848

0,848

0,848

0,848

12,5

14,5

16,5

12,5

14,5

16,5

12,5

14,5

16,5

Ва

5300

5300

5300

5900

5900

5900

6500

6500

6500

3. Расчет показателей по вариантам

3.1. Расчет эксплуатационных показателей работы судов

С целью получения развернутой характеристики по основной деятельности судов и последующего сравнительного анализа вариантов определяем основные показатели работы судна.

Расчет проводим для варианта  т и узл.

Ходовое время рейса:

,

где - протяженность участка схемы движения, миль;

       - протяженность участка, где скорость судна ограничена                                    (пролив Босфор тАУ 16 миль, Дарданеллы тАУ 60 миль);

      = 10 узлов тАУ ограниченная скорость судна;

сут.

сут.

сут.

сут.

,

где = 12 ч тАУ дополнительные затраты ходового времени по рейсу;

сут.

Стояночное время рейса:

,

сут.

Время рейса:

,

сут.

Количество рейсов одного судна за эксплуатационный период:

- эксплуатационный период судна, сут.

,

где 365 сут. тАУ календарный период,

      30 сут. тАУ время ремонта;

сут.

23,76

Провозная способность судна за эксплуатационный период (тонн):

,

160 212 т

Провозная способность судна за эксплуатационный период (тонно-мили):

,

103 448 757 тм

Потребное количество судов для освоения заданного грузопотока:

,

1,87

Эксплуатационная скорость судна:

,

= 262,5 мили/сут.

Коэффициент ходового времени:

,

0,44

Производительность 1 тонны грузоподъемности в сутки эксплуатации:

тм/тнжс

Результаты расчетов по всем анализируемым вариантам приведены в табл.3.1

Графики некоторых вышеопределенных показателей представлены в виде функций        от на рис.3.1-3.3

3.2. Расчет показателей судо-суточных эксплуатационных расходов

Расчет проводим для варианта  т, узл. и т

Себестоимость содержания судна в сутки:

на ходу

,

на стоянке

,

где - прямые постоянные расходы, $/сут.

      ,- прямые переменные расходы на ходу и на стоянке соответственно, $/сут

      - косвенные расходы, $/сут.

,

где = 1,04 тАУ коэффициент, учитывающий расходы на страхование судна;

       - среднесуточные расходы на амортизацию, $/сут.;

       - среднесуточные расходы на ремонт и снабжение, $/сут.;

- среднесуточные расходы на содержание экипажа, $/сут.;

- прочие расходы, $/сут.;

,

где = 5,8 % - норма отчислений на амортизацию;

     - среднесерийная строительная  стоимость судна, $

,

где - строительная стоимость корпуса, $;

     - строительная стоимость машины, $;

,

= 1500 $/т тАУ строительная стоимость 1 тонны дедвейта;

7 950 000 $;

,

где = 120 $/э.л.с. тАУ строительная стоимость 1 эффективной лошадиной силы;

      - эффективная мощность СЭУ судна

,

где - сдаточная скорость судна

узла

= 2749 э.л.с.

329 920 $;

=  8 279 920 $;

$/сут.;

,

где = 1 % - норма отчислений на ремонт;

      = 0,5 % - норма отчислений на снабжение;

$/сут.;

,

где = 1,52 тАУ коэффициент, учитывающий расходы на социальное страхование и пенсионное обеспечение;

      = 1,4 тАУ коэффициент, учитывающий дополнительные виды оплат за несвойственные работы;

     =  30 $/сут. тАУ суточные расходы на содержание 1 члена экипажа;

     = 32 чел. тАУ количество членов экипажа;

2042,9 $/сут.;

,

где - прочие расходы по украинским портам, $/сут.;

      - прочие расходы по иностранным портам, $/сут.;

- расходы, связанные с прохождением узкостей, в данном случае проливов Босфор и Дарданеллы, $/сут.;

,

где - суточные расходы на оплату различных сборов, $/сут.;

      - суточные расходы на оплату различных услуг, $/сут.;

      - суточные расходы на агентское вознаграждение, $/сут.;

,

где - суточные расходы на корабельный сбор, $/сут.;

      - суточные расходы на маячный сбор, $/сут.;

     - суточные расходы на канальный сбор, $/сут.;

     - суточные расходы на причальный сбор, $/сут.;

,

где - условный объем судна, м3;

     - ставка корабельного сбора:

     $/м3,

    $/м3,

,

где - численный коэффициент, равный:

= 117,9 м;

= 16,6 м;

= 8,6 м;

= 4800 т;

3,506 м3/т;

м3;

Поскольку судно на протяжении рейса подряд заходит в два украинских порта, то корабельный сбор взимается со скидкой 50 %.

= 567,3  $/сут.;

,

где - ставка маячного сбора:

      $/м3,

      $/м3,

= 64,9 $/сут.;

,

где - ставка канального сбора:

$/м3,

24,6 $/сут.;

Канальный сбор по порту Рени взимается в размере 2,5 $ за 1 тонну груза при проходе в оба конца. Поскольку перевозимый груз (стиральный порошок) тАУ ВллегкийВ», т.е. = 2,0 м3/т, то необходимо определить количество груза на судне ():

,

где - киповая вместимость судна, м3

,

где = 1,4 м3/т тАУ удельная грузовместимость, определенная по прототипу судна;

= 6300 м3;

3150 т;

558,5 $/сут.;

583,1 $/сут.;

,

где  - ставка причального сбора:

      $/м3,

      $/м3,

= 49,2

1264,5 $/сут.;

,

где - суточные расходы на оплату швартовщиков, $/сут.;

      - суточные расходы на санитарный сбор, $/сут.;

     - суточные расходы на оплату лоцмана, $/сут.;

     - суточные расходы на оплату пользования буксирами, $/сут.;

,

где = 2 тАУ количество портов Украины, посещаемых судном в рейсе;

     =72 $ за операцию  - ставка по оплате швартовных:

    Поскольку за один заход судна в порт совершается две операции (швартовка, отшвартовка), то эту сумму необходимо удвоить.

= 20,4 $/сут.;

,

где = 0,014 $/м3- ставка санитарного сбора:

     = 31,3 $/сут.;

,

где - ставка по оплате лоцманских услуг:

      $/м3,

      $/м3,

7 $/сут.;

,

где - ставка по оплате услуг за пользование буксирами:

      $/м3,

      $/м3,

212,6 $/сут.;

217,3 $/сут.;

,

где - ставка агентского вознаграждения:

      $,

      $,

196,6 $/сут.;

1678,4 $/сут.;

,

где - норма расходов в иностранных портах:

      $/брт,

      $/брт,

     - брутто-регистровый тоннаж

,

где - численный коэффициент, определяемый по формуле:

,

4497 брт;

брт/т;

4214 брт;

104,6 $/сут.;

,

где =1680 $ - расходы на оплату прохождения судов транзитом через проливы Босфор и Дарданеллы в обоих направлениях;

119,1 $/сут.;

1902,1 $/сут.;

5860,7 $/сут.;

,

1172,1 $/сут.;

,

где - суточный расход топлива на ходу, т/сут.;

     = 120 $/т тАУ средневзвешенная стоимость 1 тонны топлива, включая бункеровку;

     = 1,05 тАУ коэффициент, учитывающий расходы судна на смазку;

,

где = 140 г/э.л.с.-ч тАУ расход топлива;

9,2 т/сут.

1163,9 $/сут.;

,

116,4 $/сут.;

8196,7 $/сут.;

=7149,2 $/сут.

Результаты расчета себестоимости содержания судна на ходу на стоянке по вариантам представлены в табл.3.2

3.3. Определение валютно-финансовых показателей и выбор          оптимального судна

В качестве основного показателя по выбору оптимального типа принимаем приведенную прибыль, а для характеристики выбранного варианта ряд других валютно-финансовых показателей. Показатели определяются по всему заданному грузопотоку.

Приводим расчет для варианта т и узл.

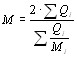
Доходы от перевозок, $:

,

где = 0,025 тАУ коэффициент, учитывающий комиссионный сбор фрахта;

     - средневзвешенная фрахтовая ставка за перевозку 1 тонны груза, $

,

36 $/т;

30 $/т;

$/т;

9 360 000 $

Расходы судна, $:

,

4 776 400 $

Финансовый результат, $:

,

4 583 600 $

Прибыль за вычетом налогов, $:

,

где = 0,25 тАУ коэффициент, учитывающий оплату налогов;

3 437 700 $

Отношение прибыли к расходам:

,

0,96

Уровень доходности:

,

1,96

Интенсивность валютных поступлений, $/тнж-сут.:

,

1,62 $/тнж-сут.

Удельные капиталовложения, $/т:

,

51,68 $/т

Себестоимость перевозки, $/т:

,

$/т

Оборотные средства, $/т:

,

где - средневзвешенная стоимость 1 тонны груза, $;

      - время доставки грузов, сут.;

,

200 $/т;

800 $/т;

400 $/т;

,

10,2 сут.;

11,16 $/т

Приведенные затраты, $/т:

,

где , - коэффициенты эффективности по капитальным вложениям и оборотным средствам соответственно;

23,8 $/т

Срок окупаемости капитальных вложений прибылью за вычетом амортизационных отчислений, лет:

,

2,83 лет

Приведенная прибыль, $/т:

,

8,2 $/т

Расчетное значение коэффициента эффективности капитальных вложений:

,

> , т.е. расчетное значение коэффициента эффективности капитальных вложений превышает заданное и судно проектируется исходя из полученной выше фрахтовой ставки.

Результаты расчетов по всем вариантам приведены в табл.3.3

Графики некоторых вышеопределенных показателей выбора оптимального типа судна  представлены в виде функций от на рис.3.4-3.11

Выбор оптимального типа судна для заданного направления работы флота производим по минимальным приведенным затратам.

Анализ приведенных затрат показывает, что минимальным является значение            23,61 $/т, которое соответствует судну с т и узл.

Таким образом, данный тип судна является оптимальным.

4. Формулировка задания на проектирование

Основываясь на результатах выполненных расчетов по обоснованию типа судна для перевозок генеральных грузов при организации движения судов последовательными рейсами, нами было сформулировано техническое задание. Основные требования представлены               в табл.4.1

Таблица 4.1.Задание на проектирование

Назначение судна

Сухогруз

Архитектурно-конструктивный тип судна

Двухпалубное одновинтовое судно с кормовым расположением машинного отделения и надстройки

Брутто-регистровый тоннаж, брт

4214

Киповая вместимость, м3

6300

Дедвейт, т

5300

Грузоподъемность, т

4500

Тип судовой энергетической установки

Дизельный двигатель

Удельная грузовместимость,  м3/т

1,4

Скорость в грузу, узлы

14

Скорость в балласте, узлы

14,5

Литература:

  1. Организация и планирование работы морского флота:Учебник       /Под ред. А.А. Союзова/,М.:Транспорт, 1979.
  2. Бакаев В.Г. Эксплуатация морского флота тАУ М.:Транспорт, 1965.
  3. Жуков Е.И., Письменный М.Н. Технология морских перевозок тАУ          М.: Транспорт, 1980.
  4. Горелов П.П. Транспортные свойства и характеристики грузов: Справочник сюрвейера тАУ С.-П.:ЗАО ВлЦНИИМФВ», 1999.
  5. Fairplay. World Shipping 2000. Fairplay Publicatuons, 2000.
  6. Все о портах Украины тАУ 2001: Справочник тАУ О.: ВлПорты УкраиныВ», 2001.
  7. Снопков В.И. Морская перевозка грузов. Справочное пособие. тАУ             М.: Транспорт, 1978
  8. Общие и специальные правила перевозки грузов 4М,                                 М.: ЦРИА ВлМорфлотВ», 1979.
  9. Козырев В.К. Грузоведение: учебн. для вузов тАУ М.: Транспорт, 1991.
  10. Белинская Л.П., Сенько Г.А. Грузоведение и складское дело на морском транспорте тАУ М.: Транспорт, 1990.

Вместе с этим смотрят:

Определение рациональной специализации элементов производства и ремонта
Оптимальная загрузка складов и транспортных средств
Организация коммерческой работы на внутреннем водном транспорте
Организация перевозок