Организация работы отделения по ремонту роликовых подшипников
Содержание и порядок выполнение курсового проекта.
Введение.
- Общая часть. Организация эксплуатации ТПС в депо.
- Определение межэкипировочных пробегов локомотива.
- Выбор места расположения пунктов экипировки.
- Выбор способа обслуживания поездов локомотивами.
- Выбор места размещения пунктов обслуживания ТПС.
- Разработка графиков технических операций по обороту локомотивов в основном и оборотных депо.
- Определение времени хода поездов по перегонам.
- Определение времени полного оборота локомотивов.
- Определение коэффициента потребности в локомотивах.
- Определение эксплуатируемого парка локомотивов.
- Определение эксплуатируемого парка пассажирских локомотивов графическим способом.
- Определение количественных показателей.
- Определение качественных показателей.
- Определение потребного количества локомотивных бригад для пассажирского движения (графическим способом).
- Определение потребного количества локомотивных бригад для грузового движения (аналитическим способом).
- Определение программы ремонтов и технических обслуживаний локомотивов.
- Определение фронта ремонта локомотивов в депо.
- Определение инвентарного парка депо.
- Определение процента неисправных локомотивов.
- Индивидуальная часть. Организация работы цеха (участка отделения)
- Вопросы охраны труда при организации труда в цехе.
- Мероприятия по сохранению экологии.
- Графическая часть.
- Заключение.
Железнодорожный транспорт является основой транспортной системы России и должен обеспечивать своевременно и качественно потребности населения в перевозках и услугах, жизнедеятельность всех отраслей экономики и национальной безопасности государства. Он играет большую роль в формировании рынка транспортных услуг и позволяет эффективно развивать предпринимательскую деятельность во взаимодействии с другими видами транспорта.
Железнодорожный транспорт должен в полной мере и своевременно удовлетворять потребности всех отраслей народного хозяйства и населения в перевозках. Поэтому важна его организационность, ритмичность работы, и менее резервов перевозочных ресурсов. Также, он играет важную роль в развитии хозяйственных связей, кооперации и специализации производства, освоении природных богатств.
Имущество предприятий, учреждений и объекты железнодорожного транспорта относятся исключительно к федеральной собственности. Решение о закреплении имущества за предприятиями принимаются федеральным органом исполнительной власти (Министерством путей сообщения (МПС)) в области железнодорожного транспорта.
Железная дорога законом "О федеральном железнодорожном транспорте" признана основным государственным предприятием железнодорожного транспорта. Железнодорожные перевозки относятся к естественной монополии государства, что определяет особые условия развития и функционирования железнодорожного транспорта.
Локомотивное хозяйство обеспечивает постоянно растущие перевозки грузов и пассажиров тяговыми средствами и содержание их в исправном состоянии, гарантирующем полную безопасность, точное выполнение расписания и графика движения поездов.
Перед локомотивным депо стоят следующие задачи:а) обеспечивать техническую сохранность, техническое обслуживание (ТО) и текущей ремонт (ТР) тягового подвижного состава (ТПС);б) организовать работу ТПС;в) организовать работу локомотивных бригад;г) организовать работу ремонтных рабочих;д) организовать материально-техническое снабжение;е) обеспечивать безопасность движения и сохранения экологии;ж) обеспечить эффективность, экономичность использования ТПС.
Цель курсового проекта заключается в систематизировании и объединении в единую задачу большинство практических работ, при этом максимально приблизить эти работы к производственным условиям локомотивного депо.
Курсовой проект объединяет приёмы, методы и способы организации эксплуатационной и ремонтных работ в депо, которыми должен владеть руководитель этих работ в депо.
Выполнение проекта даёт возможность использовать полученные знания систематизировать. Кроме того. Работа над курсовым проектом позволяет повторить материал курса и подготовиться, и успешно выполнить дипломный проект.
1.Общая часть. Организация эксплуатации ТПС в депо
Организация эксплуатационной работы тепловозов должна обеспечивать безусловное выполнение государственного плана перевозок грузов и пассажиров с минимальной затратой средств и высокими технико-экономическими показателями при соблюдении безопасности движения.
Эксплуатационная работа тепловозов регламентируется важнейшими документами, имеющих единое значение для всего железнодорожного транспорта. К таким документам относятся график и расписание движения поездов, правила технической эксплуатации железных дорог Российской Федерации, и инструкция по сигнализации на железных дорогах Российской Федерации.
В соответствии с характером эксплуатационной работы железных дорог локомотивные депо должны обеспечивать выдачу исправных тепловозов для обслуживания поездов всех видов движения и категорий, а также для всех видов маневровой и хозяйственной работы.
В основе организации эксплуатационной работы локомотивных депо лежат месячные, декадные и суточные планы-задания по выдаче тепловозов, получаемые от отделения дороги. В соответствии с этими планами дежурный по депо составляет план-график работы тепловозов, локомотивных бригад.
Тепловоз, прибывший с поездом на станцию основного депо, после отцепки по указанию дежурного по станции на контрольный пост. С момента прибытия тепловоза на контрольный пункт, он поступает в распоряжение дежурного по депо, который, руководствуясь графиком, даёт указание машинисту прибывшего тепловоза о постановки на ТО-2 и экипировку. После окончания этих операций в соответствии с указанием дежурного по депо локомотив сдаётся бригаде, назначенной в следующую поездку, или оставляется на пути отстоя для ожидания работ.
1.1 Выбор места размещения пунктов экипировки, пунктов обслуживания локомотивов и способы обслуживания поездов локомотивами
Экипировкой называется снабжение локомотивов необходимыми средствами и материалами для работы, кроме того, к времени экипировки приурочены некоторые дополнительные операции по подготовке локомотива к рейсу. В курсовом проекте пункты экипировки снабжают тепловозы песком, водой, топливом, смазкой и проводят косметические операции.
Пункт технического обслуживания локомотивов (ПТОЛ) - это комплекс сооружений и устройств, предназначенных для технического обслуживания локомотивов в объёме ТО-2. В практике железных дорог ПТОЛ совмещают с пунктами экипировки. Для моего курсового проекта ПТОЛ обслуживают тепловозы.
Существуют следующие способы обслуживания поездов локомотивами:а) плечевой;б) кольцевой;в) петлевой. Эти способы обслуживания поездов локомотивами подробно рассмотрены в пункте1.1.3 .
- Определение меж экипировочных пробегов локомотивов
Современные локомотивы позволяют осуществлять пять поездок без экипировки на большие расстояния. Пробег между экипировками ограничивается необходимостью пополнения локомотива песком и топливом.
Максимальное расстояние между экипировочными пунктами равно набольшему пробегу локомотива без набора песка.
,
где: 0,9 тАУ коэффициент, учитывающий 10% запас песка в песочных бункерах подвижного состава;
тАУ расчетная вместимость песочных бункеров, м; ( из технических данных локомотива );
тАУ масса состава брутто, т. ( из исходных данных к курсовому проекту );
тАУ максимальная норма расхода песка на 1 млн. тонно-км. брутто, м (справочные данные в соответствии с серией локомотива, массой состава и типом профиля пути ).
Грузовое движение:
км.
Пассажирское движение:
км.
Максимальное расстояние между пунктами набора топлива для тепловозов определяется по следующей формуле,
,![]()
где: 0,9 тАУ коэффициент, учитывающий 10% запас дизельного топлива в топливных баках подвижного состава;
тАУ расчетная вместимость топливных баков песочных, м; (из технических данных локомотива);
тАУ масса состава брутто, т. ( из исходных данных к курсовому проекту );
тАУ максимальная норма расхода топлива на 1 млн. тонно-км. брутто, кг. (справочные данные в соответствии с серией локомотива, массой состава и типом профиля пути ).
Грузовое движение:
км.
Пассажирское движение:
км.
В случае, когда длина участков меньше больше экипировочного пробега локомотива, то комплекс экипировочных устройств размещают только в пунктах оборота, а если длина участков меньше экипировочного пробега локомотива, то экипировочные устройства сооружают на промежуточных станциях.
1.1.2.Выбор места расположения пунктов экипировки
Пункты экипировки обычно располагают на станциях основного или оборотного депо в зависимости от способа обслуживания поездов локомотивами, серии локомотива, вида тяги, от объёма топливных баков, песочных бункеров, в зависимости от удельного расхода топлива. Все локомотивы прошедшие ТО или ТР, экипируются в депо независимо от наличия экипировочных устройств на приёмоотправочных путях станции.
При выборе места размещения экипировочных пунктов основным определяющим фактором является наибольший возможный пробег локомотива между наборами песка и дизельного топлива.
Из расчётов выбирают наименьшие результаты и в зависимости от способа работы локомотива выбирается место экипировки.

А тАУ основное депо, Б, В тАУ оборотные депо.
Грузовое движение: АБ=200 км. АВ=280 км.
Меж экипировочный пробег равен 480 километров.
Учитывая максимальный меж экипировочный пробег и длины тяговых плеч, устанавливаем пункты экипировки в основном и оборотных депо.


Пассажирское движение: АГ=510 км. АД=580 км.
Меж экипировочный пробег равен 1090 километров.
Учитывая максимальный меж экипировочный пробег и длины тяговых плеч на данном участке обращения локомотивов, достаточно поставить пункт экипировки в основном депо.
- Выбор способа обслуживания поездов локомотивами
Обслуживание поездов, т.е. их передвижение по железной дороге, совершается по определённой системе, выработанной практикой и теорией организации эксплуатации локомотивов. В зависимости от размещения на линии основных и оборотных депо, транзитности грузопотока, типа графика движения применяют различные способы работы локомотивов с поездами и выбирают соответствующие участки обращения.
Если к основному депо примыкает лишь один участок обращения, то локомотивы обслуживают поезда по способу плечевой езды. (Рис. 1.а)
Если к основному депо примыкает минимум два участка обращения и высок коэффициент транзитности поездопотока по станции основного депо, то эффективна кольцевая езда локомотивов. При кольцевом способе работы (Рис.1.б) локомотив следует с поездом от пункта а до станции основного депо А и далее без отцепки от поезда на другой участок до пункта оборота б. Здесь производится перецепка локомотива к поезду встречного направления, и цикл работ повторяется. Таким порядком локомотив работает до очередного технического обслуживания ТО-3, которое производится в основном депо.
При кольцевом способе работы локомотивов снижается загрузка горловин приёмоотправочных парков станций основного депо, увеличивается пропускная способность станций и сокращается простой поездов. Из всех перечисленных достоинств кольцевого способа обслуживания я выбираю его для курсового проекта.
Разновидностью кольцевого способа обслуживания поездов локомотивами является петлевой способ. (Рис.1.в) При этом способе локомотив, выходя из основного депо А, обслуживает поезд на участке А-а и со встречным поездом следует в пункт оборота б (без захода в основное депо). При обратном следовании (из пункта б) локомотив отцепляется от поезда в пункте А и заходит в основное депо для экипировки и ТО-2.
Петлевой способ целесообразен при необходимости переформирования поездов, нерациональном расположении парков отправления на сортировочной станции основного депо.

Рисунок 1. Способы обслуживания поездов локомотивами: а) тАУ плечевой; б) тАУ петлевой; в) тАУ кольцевой; А тАУ основное депо; а, б тАУ оборотное депо.
- Выбор места размещения пунктов обслуживания ТПС
Пункты ТО локомотивов (ПТОЛ) создаются для технического обслуживания локомотивов в объеме ТО-2 , т.е. проведения регулярного контроля технического состояния ходовых частей, тормозного и другого оборудования, от эксплуатационной надежности которого зависит безопасность движения. Перечень этих работ разработан и утвержден МПС в инструкции ЦТ-3727. На ПТОЛ выполняются необходимые работы профилактического характера, смазывание и проверка трущихся частей. Для выполнения этих работ ПОТЛ имеет смотровые канавы и площадки, подъемно-транспортное и станочное оборудование, оснастку, диагностические стенды, измерительные приборы и т.д.
Выгоднее всего ПТОЛ иметь совмещенный с экипировочным хозяйством. Это позволяет во время проведения ТО-2 комплексной бригадой провести экипировку локомотива экипировочной бригадой, что позволяет сократить время простоя локомотива.
ПТОЛ могут размещаться как на территории основного депо, так и на территории оборотного депо. Выбор места расположения зависит от типа и серии локомотива, от величины среднесуточного пробега, от способа обслуживания поездов локомотивами, от длины тяговых плеч и других факторов.
По времени все операции должны находиться в пределах: для грузового локомотива-1час 12минут, для пассажирского локомотива-2часа.
Периодичность захода на ПТОЛ: для грузовых-48часов, для пассажирских-24часа.
В курсовом проекте я размещаю ПТОЛ только в основном депо.
1.2 Определение эксплуатируемого парка тепловозов
1.2.1 Разработка графиков технических операций по обороту локомотивов в основном и оборотных депо
График технических операций в основном депо
Операции |
Продолжи-тельность операции, мин. |
||||||||
Отцепка локомотива от состава |
|||||||||
Следование по станционным путям в депо |
|||||||||
Сдача локомотива |
|||||||||
ТО-2 |
|||||||||
Приемка локомотива |
|||||||||
Следование по станционным путям |
|||||||||
Прицепка к составу |
|||||||||
Опробование тормозов |
|||||||||
Итого |
График технических операций в оборотном депо
Операции |
Продолжи-тельность операции, мин. |
||||||||
Осмотр, приёмка и сдача локомотива бригадами |
35 |
||||||||
Набор смазки и обтирочных материалов |
5 |
||||||||
Набор дизельного топлива |
15 |
||||||||
Набор воды |
10 |
||||||||
Смазка тепловоза |
15 |
||||||||
Набор песка |
10 |
||||||||
Проверка лок. сигнализации и автостопа |
5 |
||||||||
Общее время простоя |
35 |
||||||||
1.2.2 Определение времени хода поезда по перегону
Чтобы определить время хода поезда по перегону, нужно сначала определить участковую скорость движения. Участковая скорость тАУ это среднее расстояние, пройденное поездом в течение одного часа с учетом стоянок на промежуточных станциях.
,
где АБ тАУ расстояние от пункта отправления до пункта назначения
- техническая скорость локомотива
Грузовое движение
ч.
ч.
Пассажирское движение
ч.
ч.
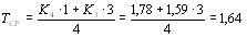
1.2.3 Определение времени полного оборота локомотива
Полный оборот локомотива тАУ это период, в течение которого локомотив обслуживает одну пару поездов на тяговом плече. Время оборота можно уменьшить, уменьшая время простоя на станциях оборотного депо, совмещая к примеру техническое обслуживание и экипировку, а также увеличивая участковую скорость.

Тоб = tА + tАБ(АГ) + tАВ(АД) + tБ(Г) + tБА(ГА) + tВА(ДА) + tВ(Д) + tА,
где: tА - прицепка, простой на приемоотправочных путях, ч (принимаю 1,5 ч);
tАБ(АГ) - время хода по участку, ч (см. п. 1.2.2 );
tБ(Г) - время оборота локомотива по станции Б(Г), ч (принимаю 1,33 ч);
tАВ(АД) - время хода по участку, ч (см. п. 1.2.2 );
tА - прицепка, отцепка, простой на путях, ч (принимаю 1,5 ч);
tБА(ГА) - время хода по участку, ч (см. п. 1.2.2 );
tВ(Д) - время оборота локомотива по станции В(Д), ч (принимаю 1,33 ч);
tВА(ДА) - время хода по участку, ч (см. п. 1.2.2 ).
Грузовое движение: Тгр = 1,5+4,6+6,5+1,33+4,6+6,5+1,33+1,5=27,86 ч.
Пассажирское движение: Тпас = 1,5+9,27+10,5+1,33+9,27+10,5+1,33+1,5=45,2 ч.
1.2.4 Определение коэффициента потребности в локомотивах
К = Тоб /24
Где: Тоб - полный оборот локомотива, ч;
24 - суточное время, ч;
Грузовое движение: Кгр = 27,86/24=1,16
Пассажирское движение: Кпас = 45,2/24=1,8
1.2.5 Определение парка эксплуатируемых локомотивов
Эксплуатируемый парк локомотивов тАУ это количество локомотивов, необходимых для выполнения графика движения поездов заданного веса с установленными скоростями.
Nэкс = K В· n
где: n тАУ число пар поездов в сутки ( из исходных данных ),
К тАУ коэффициент потребности в локомотивах.
Грузовое движение: Nгр = 45 В· 1,16= 52 лок.
Пассажирское движение: Nпас = 12В· 1,8 = 22 лок.
1.2.6 Определение эксплуатируемого парка пассажирских локомотивов графическим способом.
Такой способ расчета основан на использовании графика оборота локомотивов. Для такого решения необходимо построить график движения поездов, график оборота локомотива, ведомость работы локомотива.
1.3 Определение показателей использования ТПС
1.3.1 Определение количественных показателей
Количественные показатели определяют объем перевозок и технической работы депо. Основными показателями объема перевозок являются:
в грузовом движении тАУ грузооборот в тонно-километрах брутто, отправление и прибытие груза в тоннах, выгрузка в вагонах.
в пассажирском движении тАУ пассажирооборот в пассажиро-километрах, отправление и перевозки пассажиров.
Показателями технической работы являются передача локомотивов между дорогами и отделениями, а также пробеги локомотивов.
Грузооборот тАУ это одна из величин, которая служит для определения парка локомотивов, программы ремонта, потребности топливно-энергетических ресурсов, численность работников и эксплуатационных расходов.
Определение грузооборота:
,
где:
суточный пробег локомотивов, лок-км;
вес поезда, т. (из исходных данных).
,
где: 365 - число дней в году.
Пробег локомотивов: а) суточный
,
где: n тАУ число пар поездов в сутки, (из исходных данных).
Грузовое движение:
2В·(200+280)В·45=43200 лок-км.
Пассажирское движение:
2В·(510+580)В·12=26160 лок-км
б) годовой
,
где: 30,4 тАУ средние число дней в годовом исчислении ( 365/12=30,4 );
12 тАУ число месяцев в году.
Грузовое движение:
лок-км
Пассажирское движение:
лок-км
Грузовое движение:
т-км. брутто.
т-км. брутто.
Пассажирское движение:
т-км. брутто.
т-км. брутто.
1.3.2 Определение качественных показателей
Качественные показатели позволяют определить затраты на технические средства, степень использования локомотивов и выполнение графика движения поездов. Использование локомотивов отображает время полезной их работы в сутки, техническая скорость, среднесуточный пробег, масса поезда, производительность.
Выполнение графика движения поездов тАУ это процент отправления и следования поездов по графику движения.
Время полезной работы тАУ это время в течении которого локомотив обслуживает поезда.
Техническая скорость тАУ это среднее расстояние, пройденное поездом в течении одного часа без учета стоянок на промежуточных станциях.
Среднесуточный пробег характеризует величину среднего пробега локомотивов эксплуатируемого парка в сутки. Для увеличения пробега необходимо повышать скорость движения и сокращать простои локомотивов.
Производительность локомотива тАУ это количество тонно-километров брутто, приходящихся в среднем в сутки на один локомотив эксплуатируемого парка.
Участковая скорость локомотива:
,
где: АБ, АВ,АГ,АД тАУ длины тяговых плеч, км. ( из исходных данных );
тАУ техническая скорость движения, км/ч. ( их исходных данных );
tпр тАУ время простоя поезда на промежуточных станциях, ч.(из исходных данных).
Грузовое движение:
км/ч.
Пассажирское движение:
км/ч.
Время хода поезда по перегону:
,
где: S - длина участка, км;
Vуч - участковая скорость, км;
Грузовое движение: - участок АБ tАБ = 200/43 = 4,6 ч.
- участок АВ tАВ =280/43 = 6,5 ч.
Пассажирское движение: - участок АГ tАГ = 510/55 = 9,27 ч.
- участок АД tАД = 580/55 = 10,54 ч.
Время полезной работы, определяем по следующей формуле:
,
где:
среднесуточный пробег локомотива, локВ·км ;
техническая скорость движения, км. (из исходных данных).
Среднесуточный пробег локомотивов:
;
где:
суточный пробег локомотивов, лок-км (см. п. 1.3.1);
N - число пар поездов в сутки
количество локомотивов эксплуатируемого парка, лок (см. п. 1.2.4).
Грузовое движение:
лок-км.
ч.
Пассажирское движение:
лок-км.
ч.
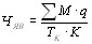
Производительность локомотива в сутки:
,
где:
суточный грузооборот, лок-км. (см. п. 1.3.1);
количество локомотивов эксплуатируемого парка, лок (см. п. 1.2.4).
Грузовое движение: ![]()
Пассажирское движение: ![]()
Время полезной работы:
Грузовое движение:
ч.
Пассажирское движение:
ч.
1.4 Организация работы локомотивных бригад
Локомотивные бригады назначаются для управления и технического обслуживания локомотивов.
Локомотивная бригада состоит из двух человек: машиниста и помощника машиниста. Возглавляет бригаду машинист, который отвечает за управление локомотивом и ведение поезда.
Локомотивная бригада обязана явиться на работу в установленное время в работоспособном состоянии. Во время поездки бригада обязана строго выполнять цикл работ по поддержанию в нормальном состоянии локомотив.
Членом бригады могут быть лица не моложе 18 лет, получившие специальное образование и успешно сдавшие испытания на управление локомотивом, по состоянию здоровья
Контроль за работой локомотивных бригад осуществляет машинист-инструктор и заместитель начальника депо по эксплуатации. Результаты проверки фиксируются в формуляре.
1.4.1 Определение потребности в локомотивных бригадах для пассажирского движения (графический способ)
Согласно ранее рассчитанным формулам время хода по перегонам: tАГ = 9,27 ч;
tАД = 10,54 ч.
Следует учесть, что непрерывное время работы локомотивных бригад должно составлять 8 часов. В случае, если время хода по перегонам оказалась больше времени непрерывной работы локомотивных бригад необходимо через 8 часов работы организовать пункты смены локомотивных бригад. В моем случае время по перегону АД равно 10,54 часа, исходя из этого я размещаю в точке Е пункт смены локомотивных бригад. Время следования до пункта Е равно 7 часам, а длина плеча

Следует отметить, что время отдыха в пунктах смены локомотивных бригад должно быть не менее 3 часов.
Время отдыха в оборотном депо:
часа ,
где
- время хода поезда до оборотного депо
После завершения поездки туда и обратно бригаде предоставляется отдых в основном депо:
![]()
![]()
Следует отметить, что отдых в основном депо должен быть не меньше 16 часов и не больше 40 часов.
После 6 дней работы локомотивной бригаде предоставляется отдых выходного дня в основном депо:
![]()
В зависимости от графика движения поездов выходной день может смещаться в сторону увеличения или в сторону уменьшения, таким образом, выходной день может не совпадать с общевыходными днями.
Вся работа локомотивной бригады организуется строго по графикам в соответствии с графиком движения, каждая бригада получает именное расписание на месяц или развернутый график работ на месяц.
При расчета аналитическим и графическим способом результаты расчетов не совпадают тАУ это объясняется тем, что при расчете аналитическим способом мы не учитываем время отдыха в пунктах смены, в основном депо, а также выходные дни.
1.4.2 Определение потребности в локомотивных бригадах для грузового движения аналитическим способом
Для решения аналитическим способом определяем оборот бригады на данном участке и используем формулу:
,
где:
время оборота локомотивной бригады, ч.
число пар поездов в сутки, (из исходных данных);
168,8 - коэффициент при 40-часовой рабочей неделе.
,
где:
время хода поезда по участкам АБ и АВ, ч ( см. п. 1.2.2);
время приема и сдачи локомотива, ч (принимаю на каждом пункте равное 0,5 ч, эта операция предусмотрена технологическим процессам);
ч.
ч.
бригад
![]()
где:
коэффициент запаса, учитывающий неявку бригады на работу, 12 - 15 %.
бригад
1.5 Организация ремонтного производства в депо
Техническое обслуживание (ТО-1, ТО-2, ТО-3) тАУ для предупреждения появления неисправностей и поддержания локомотивов и мотор-вагонного подвижного состава в работоспособном и надлежащем санитарно-гигиеническом состоянии, обеспечивающем его бесперебойную работу и безопасность движения, а также высокий уровень культуры проезда пассажиров.
Техническое обслуживание (ТО-4) тАУ для обточки бандажей колесных пар без выкатки их из-под локомотивов и мотор-вагонного подвижного состава с целью поддержания оптимальной величины проката.
Текущий ремонт (ТР-1, ТР-2, ТР-3) тАУ для восстановления основных эксплуатационных характеристик и работоспособности локомотивов и мотор-вагонного подвижного состава в соответствующих межремонтных периодах путем ревизии, ремонта и замены отдельных деталей, сборочных единиц и агрегатов, регулировки и испытания, а также частичной модернизации.
Капитальный ремонт (КР-1) тАУ для восстановления эксплуатационных характеристик, исправности и ресурса (срока службы) путем замены, ремонта изношенных и поврежденных агрегатов, сборочных единиц и деталей, а также модернизации.
Капитальный ремонт (КР-2) тАУ для восстановления эксплуатационных характеристик, исправности и полного ресурса (срока службы) всех агрегатов, сборочных единиц и деталей, включая базовые, полной замены проводов и кабелей, а также модернизации.
Техническое обслуживание (ТО-3 и ТО-4) и текущий ремонт (ТР-1, ТР-2, ТР-3) производятся в основных локомотивных депо.
Капитальные ремонты (КР-1, КР-2) выполняются на заводах Главного управления по ремонту подвижного состава и производству запасных частей.
1.5.1 Определение программы ремонта и технического обслуживания локомотивов
В настоящее время разработана и действует четкая система ТО и ТР. В основе этой системы установленные МПС пробеги в локомотиво-километрах или локомотиво-часах, между каждым видом ТО и ТР. Основной документацией, устанавливающей эти пробеги являются:
указание МПС от 03.06.99. № Л-991У
приказ 9Н от 12.01.2000
Программой ремонта называют количество ремонтов одного вида за 1 год.
Таблица 1.Исходные данные.
Серия локомотива |
Род выполняемой работы |
Годовой пробег |
2М62 |
Грузовой |
12140544 |
М62 |
Пассажирский |
8755200 |
ТЭМ7 |
Мааневровый |
685824 |
Таблица 2.Среднесетевые нормы пробегов локомотивов между ТО-3, ТР и КР.
Серия локомотива |
Нормативные меж ремонтные периоды (тыс. км.) |
|||||
ТО-3 |
ТР-1 |
ТР-2 |
ТР-3 |
КР-1 |
КР-2 |
|
2М62 и М62 |
9,0 |
45 |
130 |
270 |
720 |
1500 |
ТЭМ7 |
33 сут. |
9 мес. |
20 мес. |
40 мес. |
7,5 лет |
17 лет |
Определение программы ремонта:
![]()
где:
- общий годовой пробег локомотивов, лок-км ;
Грузовое движение:
=1075 ремонтов
ремонтов
ремонтов
ремонтов
ремонтов
ремонтов
Пассажирское движение:
ремонтов
ремонтов
ремонтов
ремонтов
ремонтов
ремонтов
Маневровая работа:
ремонтов
ремонтов
ремонта
ремонта
ремонт
ремонта (1 раз в 2,5 года)
Таблица 3. Результаты вычисления годовой программы ремонта.
Серия локомотива |
ТО-3 |
ТР-1 |
ТР-2 |
ТР-3 |
КР-1 |
КР-2 |
|
Ремонты |
|||||||
2М62 |
1075 |
177 |
48 |
28 |
9 |
8 |
|
М62 |
778 |
128 |
33 |
20 |
7 |
6 |
|
ТЭМ7 |
96 |
8 |
3 |
2 |
1 |
0,6 |
1.5.2 Определение фронта ремонта локомотивов в депо
Фронт ремонта тАУ это локомотивов одновременно находящихся в течении суток во всех видах ремонта. Определяется как произведение программы ремонта и технического обслуживания на простой в ремонте и на техническом обслуживании, деленные на количество календарных дней в году.
![]()
где:
программа данного вида ремонта или технического обслуживания, ремонты;
время простоя на ремонте, сутки
365-количество календарных суток в расчётном периоде
Грузовое движение:
лок.
лок.
лок.
лок.
лок.
лок.
![]()
лок.
Пассажирское движение:
лок.
лок.
лок.
лок.
лок.
лок.
![]()
![]()
лок.
Маневровая работа:
лок.
лок.
лок.
лок.
лок.
![]()
лок.
![]()
лок.
![]()
лок.
1.5.3 Определение инвентарного парка депо
![]()
где:
эксплуатируемый парк грузовых локомотивов, лок. (см. п. 1.2.5);
эксплуатируемый парк пассажирских локомотивов, лок. (см. п. 1.2.5);
эксплуатируемый парк маневровых локомотивов, лок (из исходных данных);
- общий фронт ремонта, лок. (см. п. 1.5.3).
![]()
1.5.4 Определение процента неисправных локомотивов
Процентом неисправных локомотивов называется отношение среднесуточного количества неисправных локомотивов к парку находящемуся в распоряжении депо.
В неисправные включаются все локомотивы и секции МВПС, находящиеся во всех видах ремонта и в ожидании его. Процент локомотивов в деповском ремонте определяется делением локомотиво-суток во всех видах деповского ремонта и ТО на сумму локомотиво-суток в распоряжении депо.
Снижение процента неисправных локомотивов обеспечивается улучшением состояния локомотивов, повышением их надёжности в результате чего сокращаются внеплановые ремонты.
![]()
![]()
2.1 Описание (перечень) основных работ выполняемых цехом по ремонту роликовых подшипников
В цехе производится ремонт роликовых подшипников букс в объёме предусмотренном правилами текущего ремонта локомотивов и МВПС. В це[е предусматривается размещение поточной линии.
2.2 Технологические связи цеха с другими подразделениями депо
Цех по ремонту |
||||||||||
ТР-3 |
Цех по ремонту роликовых подшипников |
тележек и их |
||||||||
рам |
||||||||||
Цех по ремонту |
Слесарный |
|||||||||
ТР-2 |
ТР-1 |
ТО-3 |
колёсных |
Кладовая |
||||||
пар |
цех |
Серия локомотива |
ТО-3 |
ТР-1 |
ТР-2 |
ТР-3 |
КР-1 |
КР-2 |
Ремонты |
||||||
2М62 |
1075 |
177 |
48 |
28 |
9 |
8 |
М62 |
778 |
128 |
33 |
20 |
7 |
6 |
ТЭМ7 |
96 |
8 |
3 |
2 |
1 |
0,6 |
Серия локомотива |
ТО-3 |
ТР-1 |
ТР-2 |
ТР-3 |
КР-1 |
КР-2 |
Ремонты |
||||||
2М62 |
1075 |
177 |
48 |
28 |
9 |
8 |
М62 |
778 |
128 |
33 |
20 |
7 |
6 |
ТЭМ7 |
96 |
8 |
3 |
2 |
1 |
0,6 |
2.3 Определение объема работ в цехе
Объем работ в цехе тАУ это производственная программа
предусматривающая количественные показатели, свойственные данному цеху (участку).
Эта программа является основой для расчета профинплана цеха.
Определяем трудоемкость ремонтируемых объектов
![]()
где q - трудоемкость на ремонт одной секции в данном виде ремонта
М - программа ремонтов
Расчет ведется для грузовых, пассажирских и маневровых локомотивов
Грузовое движение (2М62)
чел.час;
чел.час
чел.час;
чел.час
чел.час
Пассажирское движение (М62)
чел.час;
чел.час
чел.час;
чел.час
чел.час
Маневровое движение (ТЭМ 7)
чел.час;
чел.час
чел.час;
чел.час
чел.час
q = q + q + q ,
где q - трудоемкость ремонтируемых объектов грузовых локомотивов
q - трудоемкость ремонтируемых объектов пассажирских локомотивов
q - трудоемкость ремонтируемых объектов маневровых локомотивов
q = 7452 чел.час + 2570,5 чел.час + 396 чел.час = 10418,5 чел.час
Производственная программа
![]()
где q - общая трудоемкость цеха(участка)
q - приведенная трудоемкость
лок. в год
М = М + 0,05 М ,
где М - производственная программа цеха (участка)
0,05 - 5% от производственной программы
M=74+3,7=78 лок. в год
2.4 Выбор необходимого оборудования. Эскиз расстановки
Оборудование для цеха определяется спецификой выполняемой работы, объемом работ и ее продолжительностью.(см.рисунок)
На рисунке показан план поточной линии ремонта роликовых подшипников, разработанная и изготовленная филиалом ПКБ ЦТ в г. Торжке. Она размещена в специализированном помещении площадью 54 кв.м , расположенном неподолёку от поточной линии ремонта колёсных пар.
Профинплан тАУ основной документ, на основании которого осуществляется вся производственно-хозяйственная и финансовая деятельность предприятия.
Профинплан цеха состоит из следующих разделов: а) производственная программа; б) технико-производственные показатели;
в) план по труду; г) план эксплутационных расходов.
План по труду.
План по труду устанавливает количество производственных рабочих, общий штат и фонд заработной платы на планируемый период. Результаты сводятся в штатную ведомость.
Штатная ведомость тАУ это расчетный документ, с помощью которого определяют заработную плату каждого работника цеха.
Графа 1. Номер статьи профинплана для цеха.
Графа 2. Профессия рабочих.
Графа 4. Определение количества работников необходимое для выполнения объема работ в цехе .
![]()
где q - нормативы трудоемкости , чел тАУч.
М - приведенная программа ремонта.
Т - годовой фонд рабочего времени, час.
К - коэффициент перевыполнения норм выработки.
чел
Определение списочного числа рабочих.
Ч = Ч K =5 1,095=6 чел.
где Ч - явочное количество рабочих.
К - коэффициент замещения отсутствующих рабочих 1,095
Графа 3. Средний тарифный разряд рабочих.
Средний тарифный разряд рабочих не должен превышать среднего разряда работ в цехе.
Определение среднего тарифного коэффициента:
![]()
где К - тарифный коэффициент соответствующего разряда.
Средний разряд рабочих:
где Т - ближайший меньший тарифный разряд.
К - средний тарифный коэффициент разряда рабочих.
К - тарифный коэффициент меньшего тарифного разряда.
К - тарифный коэффициент большего тарифного разряда Графа 4. Списочное количество рабочих отделения и штата. Графа 5. Месячная тарифная ставка одного рабочего.![]()
где а тАУ часовая тарифная ставка ближайшего меньшего целого разряда тарифной сетки;
в - часовая тарифная ставка ближайшего большего целого разряда тарифной сетки;
n тАУ число десятых долей к целому разряду;
10 тАУ постоянное число, показывающие число десятых долей в целом разряде.
руб.
руб.
Графа 6. Определение сдельного приработка.
Оплата труда штата производится по должностным окладам . Сдельный приработок за превышение норм выработки 15% от тарифной ставки
руб.
Графа 7. Средний размер премии.
Для сдельщиков средний размер премии принимаем 25% от сдельного приработка.
![]()
Для повремёнщиков средний размер премии принимают 30% от тарифной ставки
бригадир
руб.
мастер
руб.
Графа 8. Доплата за работу в праздничные дни для работников, занятых круглосуточно, принимается в размере 2,2 % от сдельного заработка. Работа в праздничные дни оплачивается в двойном размере. В моём случае расчёт этой графы не производится.
Графа 9. Доплата за работу в ночное время.
Доплата за каждый час ночной работы на железной дороги устанавливают 35% от часовой тарифной ставки.
Графа 10. Прочие доплаты.
Графа 11. Общий заработок одного рабочего.
Графа 12. Годовой фонд заработной платы.
Таблица 5. Штатная ведомость.
№ стаВнтей расВнхоВндов Наименование професВнсий |
СредВнний таВнрифВнный разВнряд |
КоВнлиВнчеВнство раВнбоВнчих |
Месячный фонд зарплаты, руб |
Годовой фонд зарВнплаты, руб |
||||||
ТаВнрифВнная ставка |
СдельВнный прираВнботок |
Премия |
Доплата за работу в празд. дни |
Доплата за работу в ночВнное время |
Прочие допВнлаты |
Итого: |
||||
2 |
3 |
4 |
5 |
6 |
7 |
8 |
9 |
10 |
11 |
12 |
Производственные рабочие: Слесари . |
3 |
4 |
4901,12 |
4411,2 |
6003,92 |
15316,24 |
183782,88 |
|||
Итого: |
4901,12 |
4411,2 |
6003,92 |
15316,24 |
183782,88 |
|||||
Штат отделения: Мастер Бригадир |
1 1 |
1678,35 1492,98 |
503,505 447,894 |
2181,855 1940,874 |
26182,26 23290,488 |
|||||
Итого: |
3171,33 |
951,399 |
4122,729 |
49472,748 |
||||||
Всего: |
8072,45 |
4411,2 |
6955,319 |
19438,969 |
233255,628 |
План расходов. Порядок расчета статей расходов.
Графа 1 Номера статей расходов: - 1-237 тАУ основные расходы;
- 241- 259 тАУ основные расходы, общие для всех отраслей;
- 261 тАУ 289 тАУ содержание штата цеха.
Графа 2 Наименование статей расходовГрафа 3 Количество ремонтов в год.
Графа 4 Списочное количество рабочих.
Графа 7 Стоимость материалов и запасных частей на годовой объем работ цеха.
Графа 5 Годовой фонд заработной платы производственных рабочихГрафа 4. Статья 261 ВлСписочное число цехового штатаВ».
Графа 5 Статья 261 ВлГодовой фонд заработной платы цехового штатаВ».
Графа 5 Статья 241 ВлДополнительная заработная плата на оплату отпусков и прочие доплатыВ» (принять 7% от оклада).
Графа 6 Статья 241 ВлОтчисления на соц. страхованиеВ» (принять 10% от годового фонда заработной платы рабочих).
233255,628 руб. 0,1 = 23325,5628 руб.
Графа 10 Статья 245 ВлРасходы по ТБ и производственной санитарииВ» (принимаем в размере 5% от годового фонда заработной платы цехового штата).
183782,88 руб. 0,05 = 9189,144 руб.
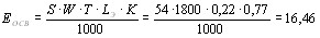
Графа 8,9,10 Статья 248 ВлОбслуживание производственных зданий и сооруженийВ»Затраты на отопление:
руб. ,
Где В тАУ средний расход тепла помещений цеха, кДж;
Т тАУ количество часов отопительного периода ( Т =223 24 = 5352 часа);
L - стоимость 1 тонны пара в рублях (0,42);
I - теплота испарения, кДж (2268);
Затраты на освещение цеха:
руб. ,
Где S тАУ площадь цеха, кв. метры (54);
W- удельная мощность, Вт.м;
T тАУ время освещения, часl - стоимость одного кВт;
k - коэффициент спроса (принимаем 0,75 - 0,8);
Расход на воду:
руб.
Где Ч тАУ списочное количество производственных рабочих и цехового штата;
j - удельный расход на хозяйственно- бытовые нужды, л;
(принимаем 25 литров на одного человека в день)
j - удельный расход воды в душевой, л (принимаем 40 литров на одного человека);
250 - количество рабочих дней в году;
L - стоимость одного куб. метра воды;
Графа 7 Статья 249 тАЬТекущий ремонт производственных зданий, сооружений и инвентарятАЭ (принимаем 4% от стоимости зданий, стоимость одного кв. метра здания 1240 руб.)
1152 1240 0,45 = 64281,6 руб.
Графа 10 Статья 250 тАЬАмортизация основных производственных фондовтАЭ (принимаем норму отчислений на капитальный ремонт зданий тАУ 2,8%, оборудования тАУ 12%). Стоимость оборудования на 1 куб. метр составляет 3100 рублей. Стоимость 1 кв. метра здания составляет 1240 руб. Площадь цеха 54 кв.метра.
1240 54 0,025 + 54 3100 0,12 =21762 руб.
Графа 7, 9, 10 Статья 254 тАЬРасходы, связанные с работой и содержанием оборудованиятАЭ.
- Расходы на содержание и текущий ремонт оборудования
(принимаем на обслуживание тАУ 0,5%, на ремонт тАУ 4% от
стоимости оборудования). Расходы по содержанию и восстановлению инструмента и инвентаря на одного производственного работника принимают 100 руб.
54 3100 0,005 = 837 руб.
54 3100 0,04 = 6696 руб.
21 100 = 2100
итого: 9633 руб.
- Затраты на эл. энергию для производственных целей.
руб.
Где Р - установленная мощность оборудования, кВТ;
T - годовой фонд работы оборудования, час;
- коэффициент загрузки оборудования
(принимаем 0,8-0,9);
K - средний коэффициент спроса (принимаем 0,25);
L - стоимость одного кВТ час;
- Расходы на сжатый воздух, пар, воды и кислород для
производственных нужд (принимаем 1% от стоимости зап. частей и
материалов).
49659,54 0,01 = 496,6 руб.
2.6 Определение себестоимости продукции цеха
![]()
Где Р - расходы цеха, руб.;
М - общий годовой объем ремонта в цехе;
План расходов
|
Наименование расходов |
Количество ремонтов |
Контингент |
Зарплата , руб. |
Всего рублей |
|||||
Фонд з/п |
Отчисления на соц.страхование |
Материалы |
Топливо |
Электроэнергия |
Прочие |
||||
1)Основные расходы, ремонт |
74 |
6 |
183782,88 |
409,22 |
|||||
ИТОГО: |
183782,88 |
409,22 |
184192,1 |
||||||
2)Общие расходы для всех отраслей: 2.1)Общие расходы: -отчисления на соц.страхование; -по технике безопасности и произв.санитарии; -обслуживание зданий и сооружений; -амортизация основн. Фондов; -расходы на содержание оборудования; -ТР зданий и сооружений; 2.2)Общественные расходы: -З/п цехового штата; |
2 |
4947,748 |
23325,5628 |
9633 64281,6 |
38,17 |
16,46 27909,33 27909,33 |
9189,144 255,97 21762 496,6 496,6 |
23325,5628 9189,144 310,6 21762 38038,93 92687,53 4947,784 |
|
|
ИТОГО: |
4947,748 |
23325,5628 |
73914,6 |
38,17 |
55835,12 |
32200,314 |
190261,5148 |
||
|
ВСЕГО: |
188730,628 |
23325,5628 |
74323,82 |
38,17 |
55835,12 |
32200,314 |
374453,6148 |
Требования к технологическим процессам ТР ТПС. Тепловозы до постановки на ремонт должны быть очищены от грязи, пыли, снега, льда. Электрические машины и аппараты должны быть продуты сжатым воздухом.
Ввод (вывод) ТПС в депо следует производить по команде одного лица--дежурного по депо или старшего мастера и под наблюдением сменного мастера (бригадира). Скорость передвижения тепловозов при вводе (выводе) в стойла не должна превышать 3 км/ч. Передвижение толчками не допускается. Вовремя ввода (вывода) тепловозов в стойла створки ворот должны быть надёжно закреплены в открытом положении. Нахождение людей на крыше не допускается. Перед вводом должны быть оповещены работники, находящиеся в данном стойле, работники должны выйти из смотровой канавы, на которую вводится или выводится тепловоз. При вводе на стойло локомотив должен полностью поместиться внутри здания. При
этом должны соблюдаться расстояния, обеспечивающие свободный проход персонала в депо.
Требования к зданиям помещениям, устройствам и сооружениям депо. Здания и сооружения должны соответствовать требованиям строительных, санитарных, противопожарных норм, правил проектирования промышленных предприятий и норм технического проектирования депо. Проходы внутри производственных участков и
отделений должны иметь ширину не менее 1,0 м. Ширина проездов для авто и электрокаров вдоль производственного участка должна быть 1,8 м, торцовых стен-3м в соответствии с нормами технологического проектирования. Проходы и проезды не допускается загромождать оборудованием и различными материалами.
Ворота в стойловой части депо плотно закрываются. Механизм открывания ворот стойловой части должен быть сблокирован с устройством включения тепловых завес. Смотровые канавы должны иметь гладкие, легко моющиеся стены, освещение, отопление, а дно канавы - уклон к сборным колодцам. Ниши, устроенные для размещения светильников должны быть защищены от попадания смазки и грязи.
Требования к отоплению и вентиляции. Температура, относительная влажность и скорость движения воздуха в рабочей зоне при всех видах текущего ремонта и технического обслуживания ТПС должны быть в соответствии с ГОСТ 12.1.005-76.
Воздух, удаляемый обще обменной системой вентиляции, не должен загрязнять воздух жилых районов. И веществами в концентрации, превышающей предельно допустимые концентрации для атмосферного воздуха.
Шум и вибрация. Уровни шума в производственных помещениях не должны превышать норм установленных ГОСТ 12.1.003-83.
Требования к пожарной безопасности. В производственных помещениях и на территории депо должны быть обеспечены противопожарные мероприятия в соответствии с ГОСТ 12.1.004-85. Для тушения возгорания электропроводов и электропроводки должны использоваться только углекислотные огнетушители и сухой песок.
Требования к технологическому оборудованию и инструменту. Эксплуатируемое оборудование должно быть в исправном состоянии. Рабочее место следует держать в чистоте и порядке. Нельзя загромождать проходы запасными частями и материалами. Домкраты для подъёма локомотивов должны испытываться на статическую нагрузку 1 раз в 3 года.
Болоны и другие сосуды, работающие под давлением должны эксплуатироваться и испытываться в соответствии с действующими правилами устройства и безопасности эксплуатации сосудов, работающих под давлением.
Вместе с этим смотрят:
Организация ремонта переднего моста ГАЗ-53АОрганизация технического обслуживания и ремонта автотранспорта
Организация технологического процесса на сборку прерывателя-распределителя ЗиЛ-130
Особенности безгаражного хранения