Подбор двигателя и винта судна
Цель: Основной целью расчета является выбор ВРШ и, при необходимости, передаточного отношения редуктора, обеспечивающих при полном использовании мощности главного двигателя максимальную скорость хода в расчетных условиях плавания.
Исходные данные:
- Судно: Рыбодобывающее обрабатывающее судно типа ВлМорянаВ».
- Главные размерения: Длина между перпендикулярами

Ширина судна ![]()
Осадка судна ![]()
Коэффициент общей полноты ![]()
- Расчетный режим работы: режим траления.
- Плотность воды
- Кривые буксировочного сопротивления представлены на рис 1.
-режим эксплуатационного рейса на свободном ходу.
-режим сдаточных испытаний.
-режим траления.
Кривые буксировочного сопротивления представлены на рис.1.
- Главный двигатель: Alpha V23
- номинальная мощность:

- номинальная частота вращения:
.
- удельный расход топлива
.
Паспортная диаграмма движителя представлена на рис.2.
Рейсовое задание:
- перечень эксплуатационных режимов, характеризующихся зависимостями
, где
- требуемая тяга на i тАУ том режиме - режимы:

(рис.1.)
![]()
- длина пути
, которая должна быть пройдена на каждом режиме: 
![]()
- суточная продолжительность работы судна принимается 24 часа
- Определение исходных расчетных величин.
В данном расчете известным является главный двигатель и расчетные условия плавания (зависимость буксировочного сопротивления
от скорости хода
).
(1)
полезная тяга.
Расчетным условием плавания является режим траления. Особенностью расчета является отсутствие заданной скорости хода, а следовательно и необходимой полезной тяги. Однако исследования показали, что полезную тягу можно найти через произведение пропульсивного коэффициента
на коэффициент механических потерь
при передачи мощности от главного двигателя на винт.
открытые винты (2)
(3)
На стадии выбора серийной диаграммы
можно принять:
для режима буксировки воза.
Представив графически (1) и (3) можно найти ожидаемую скорость хода
и соответствующую ей полезную тягу.
Графики представлены на рис.2.
![]()
1.1. Габаритный диаметр винта ![]()
- для одновальных судов. (4)
- осадка судна в месте расположения движителя.
![]()
.
1.2. Коэффициент попутного потока
:
- формула Хекшера для траулеров.
- коэффициент продольной полноты.
![]()
1.3. Поступательная скорость гребного винта
: ![]()
- скорость судна в узлах
![]()
. (5)
1.4.Коэффициент засасывания
:
(6)
- коэффициент засасывания на свободном ходу.
- формула Хекшера для траулеров. (7)
.
- коэффициент нагрузки гребного винта по полезной тяге.
(8)
- плотность морской воды.
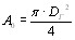
-площадь диска гребноговинта. (9)
![]()
![]()
1.5. Упор гребного винта
:
(10)
.
2.Выбор расчетной серийной диаграммы.
Выбор осуществляется таким образом, чтобы в первую очередь обеспечить максимальный коэффициент полезного действия гребного винта при отсутствии кавитации и достаточной прочности движителя.
2.1. Минимальное дисковое отношение
из условия отсутствия кавитации:
(11)
- минимальное дисковое отношение из условия отсутствия опасных форм кавитации.
(12)
- количество лопастей.
- количество гребных валов.
- гидростатическое давление на оси гребного винта.
(13)
- атмосферное давление.
- ускорение свободного падения.
- заглубление оси гребного винта.
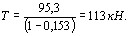
. (14)
.
- давление насыщенных паров воды.
![]()
![]()
2.2.Минимальная относительная толщина
(15)
- коэффициент учитывающий механические свойства материала винта.
- углеродистая сталь.
.
Вывод: В качестве расчетной серии принимаем:
AU-CP4-70; (Z=4;
;
).
Серия гарантирует отсутствие опасных форм кавитации.
3. Выбор гребного винта.
3.1. Выбор гребного винта в первом приближении.
Для расчета воспользуемся вспомогательным коэффициентом
Результаты расчета представлены в таб.1 и на рис.1.
Таб.1
|
|
|
|
4,65 |
4,90 |
5,20 |
|
|
1,65 |
1,74 |
1,82 |
|
2,53 |
2,74 |
2,94 |
|
0,30 |
0,31 |
0,32 |
|
0,780 |
0,785 |
0,790 |
|
0,33 |
0,34 |
0,35 |
|
137 |
134 |
132 |
|
9,81 |
8,64 |
7,78 |
|
0,178 |
0,176 |
0,174 |
|
113 |
110 |
109 |
Результаты:
=0,790; ![]()
![]()
3.1.1. Расчет оптимальной частоты вращения винта ![]()
![]()
![]()
3.1.2. Передаточное отношение редуктора.
![]()
![]()
Принимаем
10,8.
; ![]()
; ![]()
.
4. Выбор расчетной (рабочей) диаграммы.
Выбираем серию АU - CP4 тАУ 70 c
.
5. Построение кривой предельной тяги и кривой предельного упора.
Результаты расчета представлены на рис.4 и таб. 2.
Таб.2
|
||||||||
|
0 |
2 |
4 |
6 |
8 |
10 |
12 |
14 |
|
0 |
0,71 |
1,42 |
2,13 |
2,84 |
3,55 |
4,26 |
4,97 |
|
0 |
0,15 |
0,31 |
0,47 |
0,63 |
0,78 |
0,94 |
1,09 |
|
0,92 |
0,94 |
0,97 |
1,01 |
1,04 |
1,08 |
1,12 |
1,18 |
|
0,49 |
0,47 |
0,45 |
0,43 |
0,38 |
0,35 |
0,31 |
0,27 |
|
131 |
126 |
121 |
115 |
102 |
94 |
83 |
72 |
|
|
1286 |
308 |
131 |
65,0 |
38,3 |
23,6 |
15,1 |
|
0,116 |
0,116 |
0,117 |
0,119 |
0,121 |
0,125 |
0,131 |
0,139 |
|
117 |
112 |
107 |
102 |
90,3 |
82,0 |
72,1 |
63,2 |
6. Анализ кривой предельной тяги и предельного упора.
6.1. Режим траления.
Максимальная скорость хода: ![]()
Максимальный упор:
.
Максимальная полезная тяга: ![]()
6.2. Режим эксплуатационного рейса. (свободный ход)
Максимальная скорость хода: ![]()
Максимальный упор:
.
Максимальная полезная тяга: ![]()
6.3. Режим сдаточных испытаний. (свободный ход)
Максимальная скорость хода: ![]()
Максимальный упор:
.
Максимальная полезная тяга: ![]()
7. Проверка выбранного винта на прочность и отсутствие кавитации.
7.1. Проверка на отсутствие кавитации.
Воспользуемся формулой (11) и получим.

При эксплуатации гарантируется отсутствие опасных форм кавитации.
7.2. Проверка на прочность.

.
Выбранный гребной винт имеет запас прочности.
Расчет производился для режима буксировки воза т.к. является наиболее тяжелым режимом эксплуатации.
8. Заключение.
Выбранный винт имеет следующие характеристики: Серия: AU-CP4-70; Z=4;
;
;
;
Выбор оптимального движителя.
Оптимальным в курсовом проекте принимается движитель, обеспечивающий выполнение рейсового задания в кротчайшие сроки при минимальных затратах топлива.
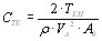
В качестве критерия качества движителя принимаем коэффициент:
, где
t тАУ время выполнения рейсового задания , ч.
Ge тАУ рейсовый расход топлива на работу главного двигателя, т.
Наилучшим признается движитель, который соответствует максимальному значению критерия к.
Рейсовое задание включает в себя следующую информацию:
- перечень эксплуатационных режимов, характеризующихся зависимостями
, где
- требуемая тяга на i тАУ том режиме - режимы:

(рис.1.)
![]()
- длина пути
, которая должна быть пройдена на каждом режиме: 
![]()
- суточная продолжительность работы судна принимается 24 часа.
- плановые скорости снимаются с паспортной диаграммы судна и кривых предельных тяг соответственно для случаев с ВФШ и ВРШ движителями.
В соответствии с изложенным входящие в критерий к параметры t и Ge могут быть определены как:
, где (S)=миля
- плановая скорость хода в i тАУ х условиях плавания, уз.
- удельный расход топлива на номинальном режиме работы, г/кВт*ч.
- относительный удельный расход топлива на i тАУ том режиме, % от
; - снимаем с паспортной диаграммы двигателя.
- эффективная мощность, развиваемая двигателем на полной скорости в i тАУ х условиях плавания, кВт. Для ВФШ снимаем с машинной диаграммы судна, для ВРШ
.
- продолжительность плавания на i тАУ том ржиме, ч.
n тАУ количество рассматриваемых вариантов эксплуатационных режимов, n = 3.
Расчет критерия качества К представлен в табл.
Параметры |
ВФШ |
ВРШ |
S1, миль |
2000 |
2000 |
S2, миль |
3000 |
3000 |
S3, миль |
1000 |
1000 |
Vs1, уз |
10,15 |
11,95 |
Vs2, уз |
10,15 |
11,95 |
Vs3, уз |
10,25 |
12,20 |
t1 |
197 |
167 |
t2 |
296 |
251 |
t3 |
98 |
82 |
ge1, % |
94 |
100 |
ge2, % |
94 |
100 |
ge3, % |
93,8 |
100 |
Ps1,кВт |
430 |
685 |
Ps2,кВт |
430 |
685 |
Ps3,кВт |
420 |
685 |
|
591 |
500 |
Ge, т |
45 |
65 |
К=1/(t*Ge) |
|
|
Вывод: Оптимальным движителем в курсовом проекте принимаем ВФШ.
Список литературы:
- Войткунский Я.И. тАЭСправочник по теории кораблятАЭ ,- Л, Судостроение.1985г. Том.1.
- Горянский Г.С., Моторный А.В. тАЬМетодические указания по курсовому и дипломному проектированию для студентов специальности 140112тАЭ.- Калининград тАУ 1985г.
Вместе с этим смотрят:
Подбор топливо-смазочных материалов и технических жидкостейПодвижной состав автомобильного транспорта
Построение новой железнодорожной линии
Правила дорожного движения
