Основы построения телекоммуникационных систем
Содержание
- Введение _______________________________ 2
- Техническое задание _____________________ 3
- Расчет количества линий
коммутируемого доступа
от ТФОП к модемному лупу ______________ 4
- Расчет требуемой пропускной
способности канала связи к двум
смежным узлам провайдеров Интернет ____ 4
- Примерный состав оборудования _________ 5
- Схема организации связи ________________ 6
1. Введение
По данным исследовательских и консалтинговых компаний совсем недавно количество пользователей сети Интернет превышало 100 млн. Интернет предлагает своим пользователям самые разнообразные услуги, производители оборудования и ПО регулярно создают новые виды Интернет тАУ приложения. Благодаря этому появляются новые группы пользователей, для которых всемирная сеть становится важным инструментом профессиональной деятельности. Среди таких групп одной из важнейших и постоянно растущих можно назвать категорию крупных корпоративных клиентов, использующих Интернет в своем бизнес процессе. Однако все острее стоит проблема доступа к сети Интернет, поскольку ее быстрое расширение уже сильно отразилось на телекоммуникационных системах. Очевидно, что скоро возникнет необходимость альтернативного доступа к сети помимо ТФОП.
2.Техническое заданиеN 7 вариант тАУ Е
Количество пользователей:
коммутируемый доступ тАУ 800 пользователей,
нагрузка от одного пользователя тАУ 0,01(Эрл).
некоммутируемый доступ тАУ 100 пользователей,
нагрузка от одного пользователя тАУ 0,01 (Эрл).
среднюю скорость передачи данных пользователя принять 12 ( Кбит/с). Допустимое снижение скорости тАУ 5%.
30% трафика пользователя идет на местный WEB тАУ сервер.
3.Расчет количества линий коммутируемого
доступа от ТФОП к модемному пулу.
Так как количество пользователей коммутируемого доступа тАУ 800, а нагрузка от одного пользователя тАУ 0,01 (Эрл), то можем найти суммарную нагрузку от абонентов коммутируемого доступа.
Ак = 800 . 0,01 = 8 ( Эрл ) ;
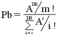
Для определения количества линий от ТФОП к модемному пулу воспользуемся табулированными значениями первой формулы Эрланга:

Где А тАУ интенсивность нагрузки
m тАУ количество линий
Рb тАУ вероятность блокировки
При средней вероятности блокировки Рb = 0,005 количество линий будет равно m = 16.
4.Расчет требуемой пропускной способности канала связи к двум
смежным узлам провайдеров Интернет.
Найдем суммарную нагрузку от абонентов некоммутируемого доступа:
Ан = 100польз х 0,01= 1 ( Эрл ).
Воспользовавшись табулированными значениями первой формулы Эрланга получим, что нагрузка эквивалентна 5 занятым линиям. Т.к. по заданию скорость передачи данных у абонентов некоммутируемого доступа равна 2 мбит/с, то суммарная скорость передачи будет 10 мбит/с.
В пункте 3 полученное значение линий от ТФОП к модемному пулу получилось равным 16, при средней скорости передачи данных пользователей коммутируемого доступа тАУ 12 кбит/с суммарная скорость будет:
12 х 16 = 192 кбит/с.
Таким образом скорость передачи данных пользователей коммутируемого и некоммутируемого доступа в сумме будет составлять 10 мбит/с + 192 кбит/с = 10,192 мбит/с.
Таким образом требуемая пропускная способность канала связи к двум смежным узлам провайдеров составит:
10,192 мбит/с
30% трафика, поступающего на местный WEB тАУ сервер = 7,101 мбит/с.
- Примерный состав оборудования для организации связи.
Для организации связи требуется примерно следующее оборудование:
- Модемы для пользователей коммутируемого доступа к примеру
Motorolla со скоростью передачи тАУ 33,6 кбит/с.
- Модемы для пользователей коммутируемого доступа, например
Hponics PCMS тАУ модем для выделенных линий со скоростью
передачи тАУ 2048 кбит/с.
- В качестве сервера используется компьютер, например
Intel Pentium-III.
- Так же применяется маршрутизатор, например Cisco 2600.

Вместе с этим смотрят:
Основы построения телекоммутационных систем и сетейПередача информации
Перспективы и развитие сельских АТС
По " onclick="return false">