Определение линейных и угловых перемещений параметрическими измерительными преобразователями
Содержание
Стр.
I. Введение тАжтАжтАжтАжтАжтАжтАжтАжтАжтАжтАжтАжтАжтАжтАжтАжтАжтАжтАжтАжтАжтАжтАжтАжтАжтАжтАжтАж.2
II. Общая часть тАжтАжтАжтАжтАжтАжтАжтАжтАжтАжтАжтАжтАжтАжтАжтАжтАжтАжтАжтАжтАжтАжтАжтАжтАжтАж.8
III. Устройство и принцип работы измерительных преобразователей Физические основы его работы тАжтАжтАжтАжтАжтАжтАжтАжтАж.11
1. Реостатные преобразователи тАжтАжтАжтАжтАжтАжтАжтАжтАжтАжтАжтАжтАжтАжтАжтАжтАжтАжтАжтАж.112. Индуктивные преобразователи тАжтАжтАжтАжтАжтАжтАжтАжтАжтАжтАжтАжтАжтАжтАжтАжтАжтАжтАж.13
3. Емкостные преобразователи тАжтАжтАжтАжтАжтАжтАжтАжтАжтАжтАжтАжтАжтАжтАжтАжтАжтАжтАжтАж.17
IV. Применение измерительного преобразователя в системах
автоматического контроля или регулированиятАжтАжтАжтАжтАжтАжтАжтАжтАжтАжтАж19
Системы автоматического контроля тАжтАжтАжтАжтАжтАжтАжтАжтАжтАжтАжтАжтАжтАжтАжтАжтАжтАж19
V. Конкретная структурная схема САР тАжтАжтАжтАжтАжтАжтАжтАжтАжтАжтАжтАжтАжтАж.22
Характеристики САРтАжтАжтАжтАжтАжтАжтАжтАжтАжтАжтАжтАжтАжтАжтАжтАжтАжтАжтАжтАжтАжтАжтАжтАж.22VI. Описание работы выбранной САРтАжтАжтАжтАжтАжтАжтАжтАжтАжтАжтАжтАжтАжтАжтАж23
VII. Характеристики выбранной САРтАжтАжтАжтАжтАжтАжтАжтАжтАжтАжтАжтАжтАжтАжтАж.24
VIII. ВыводытАжтАжтАжтАжтАжтАжтАжтАжтАжтАжтАжтАжтАжтАжтАжтАжтАжтАжтАжтАжтАжтАжтАжтАжтАжтАжтАж25
ЛитературатАжтАжтАжтАжтАжтАжтАжтАжтАжтАжтАжтАжтАжтАжтАжтАжтАжтАжтАжтАжтАжтАжтАжтАжтАжтАжтАжтАж26
I. Введение
Комплексная автоматизация производства и измерений связана с получением данных о значении различных физических величин, характеризующих состояние объекта управления (исследования), тАФ механических, тепловых, химических, оптических и других величин, которые принято называть неэлектрическими.
Существует ряд способов измерения неэлектрических величин, различающихся по виду энергии сигнала измерительной информации.

Однако мы опишем только электрический способ измерения, так как это наиболее широко распространенный способ измерения. Он имеет ряд достоинств, которые способствовали ему широкое распространение, а именно точность, удобство в эксплуатации измерительных приборов, легкость в исполнении (проектировании, производстве) измерительных приборов, хорошо изученный математический материал, компактность измерительных приборов, возможность сопряжения с вычислительной машиной.
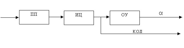
Рис. 1.1 Структура устройства для измерения не электрических величин.
Упрощенная структурная схема приведена на рис 1.1, где 1. ПП тАФ первичный измерительный преобразователь
2. ИЦ тАФ измерительная цепь
3. ОУ тАФ отчетное устройство, в качестве которого используют
электроизмерительный показывающий прибор. В отдельных случаях результат измерения представляется в цифровой форме (кодируется).
Размещенный непосредственно на объекте ПП преобразует неэлектрическую величину Х в электрическую величину У. Кроме термина "первичный преобразователь" для обозначения элемента, преобразующего неэлектрическую величину в электрическую, применяют термин "датчик неэлектрической величинытАЭ или просто "датчик".
К первичным преобразователям (ПП) предъявляют требования воспроизводимости и однозначности характеристики преобразования У=F(Х), стабильности во времени характеристики преобразователя, минимального обратного действия преобразователя на исследуемый объект, точности быстродействия и др.
Первичные измерительные преобразователи очень разнообразны по принципу действия, устройству, виду энергии входного сигнала, метрологическим и эксплуатационным характеристикам.
Целесообразно классифицировать их по физической природе явлений, лежащих в основе их работы, с учетом вида преобразуемой энергии. По указанным признакам первичные преобразователи можно подразделить на:
1. механические резистивные (контактные, реостатные, тензометрические)
2. электростатические (емкостные, пьезоэлектрические)
3. электромагнитные (индуктивные, индукционные, магнитоупругие)
4. теплоэлектрические (термоэлектрические, терморезистивные)
5. электрохимические (резистивные элктролитичекие, кулонометрические, химотронные)
6. оптико-электрические
7. гальванокинетические
8. Атомные (ионизационного излучения, квантовые)
Только одно перечисление групп первичных преобразователей неэлектрических величин свидетельствует о том, сколь широк круг вопросов, относящихся к измерению неэлектрических величин, и как важно унифицировать методы и средства их измерений.
На вход первичного преобразователя кроме входной величины Х действуют и другие параметры объекта и окружающей среды. В этих условиях первичный преобразователь должен избирательно реагировать только на значение входной величины и не реагировать на влияние всех остальных факторов. Задача подавления чувствительности первичного преобразователя к влияющим величинам относится к важным задачам, решаемым конструктивными и схемными методами.

Рис. 1.2. Чувствительные элементы дифференциальных датчиков:
а тАФ резистивпого; б тАФ индуктивного
Если изменение неэлектрической величины приводит к изменению пассивного параметра ПП тАФ сопротивления, емкости, индуктивности или взаимной индуктивности, то ПП называются параметрическими, а если к генерированию активной величины (ЭДС тока), то генераторными.
Особенно широко применяются дифференциальные ПП. Чувствительные элементы (ЧЭ) таких первичных преобразователей показаны на рис1.2.
При воздействии измеряемой величины Х на ЧЭ дифференциального ПП на выходе его формируются два сигнала, направленных навстречу друг другу. Разность этих сигналов поступает в измерительный канал, состоящий из преобразователей и измерительного прибора. Например, ЧЭ индуктивного дифференциального первичного преобразователя (рис.1.2, б) состоит из двух одинаковых неподвижных сердечников с обмотками и одного общего якоря, при перемещении которого на расстояние Х изменяются индуктивности L1 и L2 обмоток. В зависимости от направления перемещения одна из индуктивностей увеличивается, а другая уменьшается.
Аналогично устроены резистивные, емкостные и другие дифференциальные первичные преобразователи. Аддитивная составляющая погрешности преобразования дифференциальных первичных преобразователей существенно меньше, чем у недифференциальных, так как погрешности, вызванные влияющими величинами, взаимно компенсируются, а реакция на изменение неэлектрической величины гораздо сильнее.
Выходной сигнал первичного преобразователя У поступает в канал преобразования измерительной информации, структурные схемы которого зависит от типа первичного преобразователя , его выходной мощности, а также от требований к точности и быстродействию измерительного устройства.

Рис1.3. Измерительные цепи приборов для измерения неэлектрических величин с параметрическими датчиками
Измерительные цепи И Ц(см. рис:1.2) могут строиться по структурным схемам прямого и уравновешивающего преобразователя.
Измерительные цепи (ИЦ) прямого преобразования, в свою очередь, делятся на работающие с генераторными и параметрическими первичными преобразователями.
Основным принципом построения ИЦ прямого преобразования с генераторными ПП является принцип согласования выходных и входных сопротивлений последовательно включенных преобразователей, обеспечивающий минимальные потери измерительной информации в канале преобразования.
С параметрическими ПП используются три вида измерительных цепей прямого преобразования (рис1.3): цепи последовательного включения (а), цепи в виде делителей (б) и цепи в виде небалансных (неравновесных) мостов (е).
Измерительные цепи последовательного включения и в виде делителей отличаются общим недостатком тАФ наличием выходного сигнала (Y=1) при отсутствии входного (Х=0).
В неравновесных мостах этот недостаток устранен. Кроме того, ИЦ на основе небалансных мостов имеют больше возможностей, так как параметрические первичные преобразователи могут быть включены в одно, два или все четыре плеча моста, что соответствует увеличению выходной мощности ИЦ, т. е. повышению ее чувствительности.
Чувствительность S всего измерительного устройства прямого преобразователя, состоящего из последовательного ряда измерительных преобразователей, определяется по формуле
S=S1S2S3тАжSn (1.1)
где S1, S2, Sз.. Sn тАФ чувствительности преобразователей, образующих канал передачи информации.
Каждый преобразователь имеет свою погрешность, и, очевидно, максимальная погрешность всего измерительного устройства, построенного по методу прямого преобразования, окажется равной сумме погрешностей отдельных преВнобразователей. Поэтому, несмотря на простоту и быстродействие приборов, построенных по методу прямого преобразования, для точных измерений неэлектрических величин применяют метод уравновешивания.
В этом случае чувствительность измерительного устройства (ИУ) определяется формулой
S=k/(1+KОІ) (1.2)
где КтАФкоэффициент передачи цепи прямого преобразования; ОІтАФ коэффициент передачи цепи обратного преобразования.
При выполнении условия КОІ>>1 погрешность ИУ будет определяться только погрешностью цепи обратного преобразования.
Значения выходных величин большинства первичных преобразователей тАФ термопар, терморезисторов, ионизационных преобразователей, газоанализаторов и других незначительны и находятся обычно в диапазоне 10-6 тАФ 10-2 В и 10-10 тАФ10-5 А. без предварительного усиления столь малые напряжения и токи невозможно ни измерить показывающими электроизмерительными приборами, ни передать по лиВнниям связи без существенных погрешностей. Поэтому одной из задач современной измерительной техники является усиление с высокой точностью и функциональное преобразование малых напряжений и токов.
В связи с развитием операционных интегральных усилителей для параметрических преобразователей начали широко применяться мостовые цепи с автоматическим уравновешиванием.
Схема моста следящего уравновешивания со статической характеристикой приведена на рис. 1.4. Здесь R1 тАФ медный терморезистор, предназначенный для измерения температуры, а остальные плечи моста образованы резисторами R2 R4 и Rз+Rm.

Рис.1.4. Схема моста со статическим следящим уравновешиванием
Пусть при измеряемой температуре 0=0 сопротивление R.1 = Rз + RM и
R2 = R4, тогда напряжение на диагонали Uав, подаваемое на вход усилителя, также равно нулю и ток указателя Iуk=0. При возрастании и сопротивления R1
усилитель будет давать на выходе такой ток Iyk, чтобы падение напряжения на резисторе Rм уравновешивало прирост напряжения на резисторе R1. Таким образом, мост будет оставаться в равновесии и шкала прибора будет линейна при приращениях ОФR1 а сопротивление Rм определит масштаб соотношения между ОФR1 и Iyk. Измерительные цепи уравновешивающего преобразования с компенсацией измеряемых неэлектрических величин применяются часто для измерения механических усилий, крутящих моментов, магнитных величин и др.
Первичные преобразователи с помощью соединительных проводов могут быть удалены от ИЦ на некоторое расстояние. В этом случае на результат измерения могут оказывать влияние вариация значений сопротивлений соединительных проводов при изменении температуры окружающей среды и паразитные ЭДС, возникающие от действия внешних электромагнитных полей.
Погрешность, вносимая соединительной линией (каналом связи), должна рассматриваться как составляющая методической погрешности, входящей в суммарную погрешность измерений неэлектрической величины. Точность результата такого измерения может быть оценена приближенной максимальной погрешностью по формуле:
|Оґmax|=|Оґпп|+|Оґиц|+|Оґеr|+|Оґм| (1.3)
где Оґmax тАФ предел допускаемой относительной погрешности измерения неэлектрической величины; Оґпп тАФ максимальное значение относительной погрешности первичного преобразователя ; Оґиц тАФ относительная погрешность измерительной цепи; ОґеrтАФотносительная погрешность измерения выходного показывающего прибора; Оґм тАФметодическая погрешность.
II. Общая часть
1. Характеристики измерительных преобразователей неэлектрических величин.
Зависимость выходной величины измерительного преобразователя у от входной х выражается уравнением преобразования у =f (х) Уравнение преобразования (функцию преобразования) обычно приходится находить экспериментально, т. е. прибегать к градуировке преобразователей. Результаты градуировки выражаются в виде таблиц, графиков или аналитически.
Часто у преобразователей выходной сигнал у зависит не только от входной измеряемой величины х, но и от внешнего фактора Z , т. е. функция преобразования в общем виде,y =f(х, Z).
В этом случае при градуировке определяется ряд функций преобразования при разных значениях Z.
Знание функций преобразования при разных значениях влияющего фактора позволяет тем или иным способом (введением поправки, автоматической коррекцией) учесть влияние внешнего фактора. Например, электрическая проводимость к растворов электролитов зависит от концентрации С и температуры t. Поэтому при использовании зависимости к =f(С) для определения концентрации нужно либо поддерживать температуру раствора постоянной, либо вводить поправки (расчетным путем или автоматически), зная влияние температуры на эту зависимость.
При оценке и сравнении измерительных преобразователей необходимо учитывать следующие их основные свойства.
1. Воспроизводимость функции преобразования. Возможность изготовлять преобразователи с заранее предусмотренными характеристиками является необходимым условием выпуска взаимозаменяемых преобразователей.
2. Постоянство во времени функции преобразования. При изменении с течением времени функции преобразования приходится повторять градуировку, что крайне нежелательно, а в некоторых случаях невозможно (например, преобразователь работает в недоступном месте).
3. Вид функции преобразования. Обычно наиболее желателен линейный вид зависимости y=f/(х), что облегчает унификацию выходного сигнала преобразователей с целью использования их с цифровыми измерительными приборами, измерительными информационными системами и вычислительными машинами.
4. Важными характеристиками преобразователя являются его погрешности и чувствительность.
Основная погрешность преобразователя может быть обусловлена принципом действия, несовершенством конструкции и технологии
изготовления и проявляется она при номинальных значениях внешних факторов.
Основная погрешность рассматриваемого отдельно преобразователя может складываться из некоторых составляющих: погрешности, обусловленной неточностью образцовых приборов и мер, с помощью которых производилась градуировка; погрешности за счет приближенного выражения (табличным, графическим, аналитическим способом) функции преобразования; погрешности, обусловленной неполным совпадением функций преобразования при возрастании и убывании измеряемой величины (гистерезис функции преобразования);
погрешности от неполной воспроизводимости характеристик преобразователя (например, чувствительности). Последняя погрешность исключается при индивидуальной градуировке. На практике все составляющие проявляются в виде одной основной погрешности.
Дополнительные погрешности преобразователя, обусловливаемые принципом его действия, несовершенством конструкции и технологии изготовления, проявляются при отклонении влияющих величин от их номинальных значений.
Рассмотренные выше погрешности определяются при неизменных во времени измеряемых величинах и носят название статических

5. Обратное воздействие преобразователя на измеряемую величину. Преобразователи оказывают обратное влияние на измеряемую величину, искажая ее и вызывая тем самым изменение выходного сигнала.
Рис. 1.5. Электрическийтермоанемометр
Пояснить это можно на примере термоанемометра (рис.1.5), который представляет собой термочувствительный резистор R, нагреваемый электрическим током и помещаемый на пути потока газа или жидкости, скорость которого измеряется. Изменение скорости потока вызывает изменение условий теплообмена терморезистора со средой, изменение его температуры и сопротивления. Измеряя сопротивление резистора тем или иным способом, можно судить о скорости потока. Но очевидно, что терморезистор, помещенный на пути потока, изменяет скорость его, и в этом проявляется обратное влияние преобразователя на измеряемую величину. Обратное влияние на практике учесть трудно, а поэтому стараются его сделать минимальным.
6. Динамические свойства преобразователя. При изменении входной величины в преобразователе возникает переходный процесс, характер которого зависит от наличия в преобразователе элементов, запасающих энергию (двигающиеся детали, электрические конденсаторы, катушки индуктивности, детали, обладающие теплоемкостью и т. д.).
Переходный процесс проявляется в виде инерции тАФ запаздывания реакции преобразователя на изменение входной величины. Например, при погружении
термопары в среду, температура которой измеряется, термо-э. д. с. на выходе термопары установится в соответствии с измеряемой температурой только по истечении некоторого промежутка времени.
При измерении быстро изменяющихся величин преобразователь работает в нестационарном режиме, а поэтому при оценке качества преобразователей необходимо учитывать их динамические характеристики, которые в значительной мере определяют точность измерения.
Динамические свойства преобразователя в соответствии с ГОСТ 8.256тАФ77 могут быть охарактеризованы полными и частными динамическими характеристиками.
Обычно от преобразователя требуется, чтобы он вносил минимальное запаздывание в процесс преобразования.
Кроме рассмотренных свойств, при оценке преобразователей учитываются также и другие показатели качества их работы; влияние внешних факторов (температуры, давления, вибрации и т. д.), взрывобезопасность, устойчивость к механическим, тепловым, электрическим и другим перегрузкам, удобство монта/ка и обслуживания, габариты, масса, удобство градуировки, стоимость изготовления и эксплуатации, надежность и т. д.
Для удобства изучения измерительные преобразователи классифицируют по принципу их действия, т, е. по тому явлению, которое используется для преобразования неэлектрической величины в электрическую. Преобразователей, отличающихся принципом действия, очень много. Ниже будут рассмотрены только наиболее часто применяемые преобразователи.
III. Устройство и принцип работы измерительных преобразователей Физические основы его работы
Для измерения линейных и угловых премещений служат реостатные преобразователи, емкостные преобразователи, индуктивные преобразователи.
Опишем каждый тип преобразователей в отдельности.
1. Реостатные преобразователи.
Реостатные преобразователи основаны на изменении электрического сопротивления проводника под влиянием входной величины тАФ перемещения. Реостатный преобразователь, как показывает само название, представляет собой в простейшем случае реостат, щетка (движок) которого перемещается под воздействием измеряемой неэлектрической величины. На рис. 1.6. схематически показаны некоторые варианты конструкций реостатных преобразователей для углового (рис. 1.6.а) и линейного (рис. 1.6. в) перемещений. Преобразователь состоит из обмотки, нанесенной на каркас, и щетки. Форма каркаса зависит от характера измеряемого перемещения (линейное, угловое), от вида функций преобразования (линейная, нелинейная) и других факторов и может иметь вид цилиндра, тора, призмы и т. д. Для изготовления каркасов применяются диэлектрики (гетинакс, пластмасса, керамика) и металлы (дюралюминий с анодированной поверхностью).
Проволока для обмотки выполняется из сплавов (сплав платины с иридием (5тАФ30%), константан, нихром и фехраль). Для обмотки преобразователя обычно используется изолированный эмалью или оксидной пленкой провод После изготовления обмотки изоляция провода счищается в местах соприкосновения его со щеткой.
Щетка преобразователя выполняется либо из проволок, либо из плоских пружинящих полосок, причем используются как чистые

Рис.1.6. Реостатные преобразователи для угловых (а), линейных, (б)
перемещений и для функционального преобразования линейных
перемещений (в)
металлы (платина, серебро), так и сплавы (платина с иридием, фосфористая бронза, медно-серебряные сплавы и т. д.). Качество контакта щетки и обмотки определяется контактным давлением, которой выбирается в широких пределах от десятых долей грамма до сотых граммов в зависимости от материалов контакта и обмотки и условий работы преобразователя.
Габариты преобразователя определяются значением измеряемого перемещения, сопротивлением обмотки и мощностью, выделяемой в обмотке.
Для получения нелинейной функции преобразования применяются функциональные реостатные преобразователи. Нужный характер функции преобразования очень часто достигается профилированием каркаса преобразователя (рис.1.6.в).
В рассматриваемых реостатных преобразователях зависимости изменения сопротивления от перемещения щетки имеет ступенчатый характер, так как сопротивление изменяется скачками на значении сопротивления одного витка. Это вызывает погрешность преобразования. Максимальная приведенная погрешность при этом у = ОФR/R, где ОФRтАФмаксимальное сопротивление одного витка R тАФ полное сопротивление преобразователя.
Иногда применяются реохордные преобразователи, в которых щетка скользит вдоль оси проволоки. В этих преобразователях от сутствует указанная выше погрешность.
Выходной параметр реостатных преобразователей тАФ сопротивление тАФ измеряется обычно с помощью мостовой схемы.
К достоинствам преобразователей относится возможность получения высокой точности, значительных по уровню выходных сигналов и относительная простота конструкции. Недостатки тАФ наличие скользящего контакта, необходимость относительно больших перемещений движка, а иногда и значительного усилия для его перемещения.
Применяются реостатные преобразователи для преобразования сравнительно больших перемещений (угловых, линейных).
2. Индуктивные преобразователиПринцип действия преобразователей основан на зависимости индуктивности или взаимной индуктивности обмоток на магнитопроводе от положения, геометрических размеров и магнитного состояния элементов их магнитной цепи.
Индуктивность обмотки, расположенной на магнитопроводе (рис.1.7.)
Li=wВІi/ZM
где ZM тАФ магнитное сопротивление магнитопровода; w i тАФ число витков обмотки.
Взаимная индуктивность двух обмоток, расположенных на том же магнитоироводе,
М=w1w2/ZMгде w1 и w2 тАФ число витков первой и второй обмоток. Магнитное сопротивление определяется выражением
Li=wВІi/ZM

(рассеиванием магнитного потока пренебрегаем);
li, si, ОјiтАФ соответственно длина, площадь поперечного сечения и относительная магнитная проницаемость i-го участка магнитопровода;
Ој0 тАФ магнитная постоянная; Оґ тАФ длина воздушного зазора; s тАФплощадь поперечного сечения воздушного участка магнитопровода;
XM=P/(wФВІ) тАФ реактивная составляющая магнитного сопротивления, Р потери в магнитопроводе, обусловленные вихревыми токами и
гистерезисом; w тАФ угловая частота; Ф тАФ магнитный поток в магнитопроводе.

Рис. 1.7
Приведенные соотношения показывают, что индуктивность и взаимную индуктивность можно изменять, например, воздейств\ я на длину 8, сечение воздушного участка магнитопровода а, на потери в магнитопроводе и другими путями.
Этого можно достичь, например, перемещением подвижного сердечника (якоря) 1 (рис. 1.7) относительно неподвижного 2, введением немагнитной металлической пластины 3 в воздушный зазор и т. д.
На (рис. 1.8) схематически показаны различные типы индуктивных преобразователей.
Индуктивный преобразователь (рис. 1.8, а) с переменной длиной воздушного зазора 5 характеризуется нелинейной зависимостью L=f(Оґ). Такой преобразователь обычно применяется при перемещениях якоря на расстояние 0,01тАФ5 мм. Значительно меньшей чувствительностью, но линейной зависимостью L=f(s)отличаются преобразователи с переменным сечением воздушного зазора (рис. 1.8 б). Эти преобразователи используются при перемещениях якоря до 10тАФ15 мм.
Якорь в индуктивном преобразователе испытывает усилие притяжения со стороны электромагнита, которое определяется производной от энергии магнитного поля по перемещению якоря:

где WM тАФ энергия магнитного поля; L тАФ индуктивность преобразователя; I тАФ ток, проходящий через обмотку преобразователя.
Широко распространены индуктивные дифференциальные преобразователи (рис.1.8, е), в которых под воздействием измеряемой

Рис. 1.8. Индуктивные преобразователи с изменяющейся длиной зазора (а), с изменяющимся сечением зазора (б), дифференциальным (в), дифференциальный трансформаторный (г), дифференциальный трансформаторный с разомкнутой магнитной цепью (д) и магнитоупругий (е)
величины одновременно и притом с разными знаками изменяются два зазора двух электромагнитов. Дифференциальные преобразователи в сочетании с соответствующей схемой (обычно мостовой) имеют более высокою чувствительность, чем обычные преобразователи, дают возможность уменьшить нелинейность функции преобразования, испытывают меньшее влияние внешних факторов. В этих преобразователях результирующее усилие на якорь со стороны электромагнитов меньше, чем в недифференциальных.
Применяются также индуктивные дифференциальные преобразователи трансформаторного типа (рис.1.8, г), в которых две секции первичной обмотки включены согласно, а две секции вторичной обмоткитАФвстречно. При питании первичной обмотки переменным током и при симметричном положении якоря относительно электромагнитов э. д. с. на выходных зажимах равна пулю. При перемещении якоря возникает сигнал на выходных зажимах.
Для преобразования сравнительно больших перемещений (до 50тАФ100 мм) применяются индуктивные преобразователи с незамкнутой магнитной цепью. На
(Рис.1.8.d) схематически показано устройство дифференциального трансформаторного индуктивного преобразователя с незамкнутой магнитной цепью, используемого для передачи показаний различных неэлектрических приборов (манометров, дифференциальных манометров).
Если ферромагнитный сердечник преобразователя подвергать механическому воздействию F, то вследствие изменения магнитной проницаемости материала сердечника Ој. изменится магнитное сопротивление цепи, что повлечет за собой изменение индуктивности L и взаимной индуктивности М обмоток. На этом принципе основаны магнитоупругие преобразователи (рис18).
Конструкция преобразователя определяется главным образом значением измеряемого перемещения. Габариты преобразователя выбирают, исходя из необходимой мощности выходного сигнала и других технических требований.
Для измерения выходного параметра индуктивных преобразователей наибольшее применение получили мостовые схемы (равновесные и неравновесные), а также компенсационная схема (в автоматических приборах) для дифференциальных трансформаторных преобразователей.
Индуктивные преобразователи используются для преобразования перемещения и других неэлектрических величин, которые могут быть преобразованы в перемещение (усилие, давление, момент и т. д.).
По сравнению с другими преобразователями перемещения индуктивные преобразователи отличаются значительными по мощности выходными сигналами. простотой и надежностью в работе.
Недостатком их является наличие обратного воздействия преобразователя на измеряемый объект (воздействие электромагнита на якорь) и влияние инерции якоря на частотную характеристику прибора.
3. Емкостные преобразователи.
Емкостные преобразователи основаны на зависимости электрической емкости конденсатора от размеров, взаимного расположения его обкладок и от диэлектрической проницаемости среды между ними.
Для двухобкладочного плоского конденсатора электрическая емкость
![]()
где еотАФдиэлектрическая постоянная; в тАФ относительная диэлектрическая проницаемость среды между обкладками; втАФактивная площадь обкладок; 5тАФ расстояние между обкладками.
Из выражения для емкости видно, что преобразователь может быть построен с использованием зависимостей С =f1(Оµ), С =f2(s), С=f3(Оґ).
На рис. 1.9 схематически показано устройство различных емкостные преобразователей. Преобразователи на рис. 1.9, а представляют собой конденсатор, одна пластина которого перемещается под действием измеряемой величины х относительно неподвижной пластины. Изменение расстояния между пластинами 5 ведет к изменению емкости преобразователя.
Функция преобразования С = f3(Оґ) нелинейная. Чувствительность преобразователя резко возрастает с уменьшением расстояния Оґ, поэтому целесообразно уменьшать начальное расстояние между пластинами. При выборе начального расстояния между пластинами необходимо учитывать пробивное напряжение воздуха (10 кВ/см для воздуха).


Рис.1.9. Емкостные преобразователи с изменяющимся расстоянием между пластинами (а), дифференциальный (б), дифференциальный с переменной активной площадью пластин (б) и с изменяющейся диэлектрической проницаемостью среды между пластинами (г)
Такие преобразователи используются для измерения малых перемещений (менее 1 мм).
Малое рабочее перемещение пластин приводит к появлению погрешности от изменения расстояния между пластинами при колебаниях температуры. Соответствующим выбором размеров деталей преобразователя и материалов эту погрешность можно значительно снизить.
В емкостных преобразователях возникает усилие притяжения между пластинами, определяемое производной от энергии электрического поля и^ по пепемешению подвижной пластины.
![]()
где U и С тАФ соответственно напряжение и емкость между пластинами.
Применяются дифферинциальные преобразователи (рис. 1.9, б), у которых имеется одна подвижная и две неподвижные пластины, При воздействии измеряемой величины х у этих преобразователей одновременно изменяются емкости С1 и С2.
На рис. 1.9, в показано устройство дифференциального емкостного преобразователя с переменной активной площадью пластин. Такой преобразователь целесообразно использовать для измерения сравнительно больших линейных (более 1 мм) и угловых перемещений. В этих преобразователях легко получить требуемый характер функции преобразования путем профилирования пластин.
Для измерения выходного параметра емкостных преобразователей применяются равновесные и неравновесные мостовые схемы и схемы с использованием резонансных контуров. Последние позволяют создавать приборы с высокой чувствительностью, способные реагировать на перемещения порядка 10"' мм.
Цепи с емкостными преобразователями обычно питаются током повышенной частоты (до десятков мегагерц), что вызвано желанием увеличить мощность, рассеиваемую в преобразователе: P=UВІwC (а следовательно, и мощность, попадающую в измерительный прибор), и необходимостью уменьшить шунтирующее действие сопротивления изоляции.
Достоинства емкостных преобразователей тАФ простота устройства, высокая чувствительность и возможность получения малой инерционности преобразователя.
Недостатки тАФ влияние внешних электрических полей, паразитных емкостей, температуры, влажности, относительная сложность схем включения и необходимость в специальных источниках питания повышенной частоты.
IV. Применение измерительного преобразователя в системах
автоматического контроля или регулирования.
4. Общие сведения о САК или САР
ИИС- информационно - измерительная система. Позволяет измерять и обрабатывать ряд величин, кроме этого позволяет автоматизировать процесс измерения путем подключения ИИС к вычислительным комплексам.
Все метрологические характеристики присущие для измерительных устройств справедливы и для ИИС, кроме этого существуют дополнительные, присущие только ИИС:
1. Погрешность от взаимного влияния измерительных каналов
2. Погрешность аппроксимации, обусловленная неточным восстановлением непрерывного значения измеряемой величины по дискретным значениям при последовательной передаче измерительной информации
3. Погрешность обусловленная непостоянством параметров канала связи и помехами в канале связи (для телеизмерительных систем и систем телеконтроля)
ИИС делятся на ИИС с последовательной передачей измерительной информации (с временным разделением измерительных каналов) и ИИС с параллельной (одновременной) передачей измерительной информации. Системы с временным разделением каналов получили наибольшее распространение из-за возможности иметь большое число измерительных каналов. Системы с параллельной передачей измерительной информации применяются в телеизмерительных системах (частотное разделение каналов).
Одним из частных видов ИИС являются системы автоматического контроля и автоматического регулирования Эти системы обыкновенно не производят измерений, а реагируют лишь на отклонение величины от заданной.
CАК и САР очень похожи по своему строению. Различаются лишь реакцией на изменение измеряемой величины. САК выдает результат при изменившейся измеряемой величины, а САР самостоятельно регулирует величину до заданной.
5. Системы автоматического контроля
Системы автоматического контроля (САК) весьма разнообразны как по своему назначению, так и по принципу действия. САК могут быть разделены на две группы:
Системы для контроля параметров изделий, практически не изменяющихся во времени (например, сопротивлений резисторов и др.).
Системы для контроля изменяющихся во времени физических величин (например, контроль температуры различных точек объекта и др.).

Рис 2.1. Структурная схема системы контроля
параметров однородных изделий с одновременВнным сравнением контролируемого параметра и уставки
Сравнение параметра контролируемого объекта и уставки может быть одновременным и разновременным,
На рис. 2.1 показана структурная схема системы для контроля параметров однородных изделий с одновременным сравнением контролируемого параметра и уставки (Уст). Контролируемые детали поочередно поступают в устройство сравнения (УС); результат сравнения контролируемого параметра и уставки выдается в той или иной форме устройством выдачи результата УВР. Иногда результаты сравнения поступают в блок вспомогательных математических операций ВМО, например вычисления отклонения параметра от нормы или других характеристик.
На рис. 2.2 приведена структурная схема, поясняющая разновременный контроль параметра х и уставки хn. Переключатель П устройством управления УУ подключает уставку к измерительному преобразователю ИП, на выходе которого получается сигнал, пропорциональный Хп, регистрируемый У Р. Далее переключатель П включает контролируемый параметр л- и на выходе ИП получается сигнал, пропорциональный х. Устройство регистрации УР образует разность этих сигналов, пропорциональную отклонению параметрах x от Хп
Выходным сигналом ИП может быть, например, число-импульсный код. В этом случае в качестве УР применяется реверсивный счетчик

Рис 2.2 Структурная схема системы для разновременного контроля параметра и вставки
На рис. 2.3 приведена упрощенная схема системы автоматического
контроля изменяющихся во времени параметров объекта или технологического процесса. Контролируемые величины х1(t) тАФ хn(t) поступают в унифицирующие преобразователи УП1; тАФ УПn, на выходе которых получаются унифицированные сигналы, чаще всего в виде напряжения постоянного тока, пропорционально! о входным сигналам. Эти сигналы в устройстве сравнения УС сравниваются с уставками для каждого сигнала, формируемыми блоком уставок БУ. Сигналы от УС поступают в устройство УПИ представления информации (ВлнормаВ», ВлменьшеВ», ВлбольшеВ»). Управление САК производится от устройства управления УУ. Кроме того, при регистрации отклонения параметров от уставок регистрируется время, для чего предназначен блок времени БВ.
Выбор отдельных блоков САК и режим ее работы определяются требованиями,
предъявляемыми к САК. Вследствие разнообразия требовании, предъявляемых к САК в настоящее время, разработаны и выпускаются различные САК.
Рис 2.3. Упрощенная схема системы автоматического контроля изменяющихся во времени параметров объекта
Некоторые САК являются комбинированными, т. е. наряду с контролем параметров позволяют производить и измерения. Измерение отдельных величин производится по команде оператора.
V. Конкретная структурная схема САР
6. Характеристики САК
Построим систему автоматического управления самолетом с помощью гироскопа. Необходимые параметры
1. Малая погрешность
2. Большая чувствительность
3. Малая инерционность
4. Простота работы устройства.
Всем этим параметрам удовлетворяет система с применением емкостного датчика.
Структурная схема
Описание элементов структурной схемы
Г тАФ гирокомпас
Д тАФ емкостной дифференциальный датчик
УУ тАФ устройство управления
И тАФ индикатор работы
УО тАФ установка оператором
ПР дв тАФ правый двигатель самолета
Л дв тАФ левый двигатель самолета
VI. Описание работы выбранной САР1. Оператор (пилот) устанавливает начальные установки (наводит гирокомпас на необходимый курс и запускает его) через устройство УО
2. В полете при влиянии воздушных потоков на корпус самолета, самолет меняет направление полета, при этом гирокомпас Г оставляет свое положение постоянным то есть направление, указываемое гирокомпасом Г и корпусом самолета расходится, что влечет за собой поворот обкладки емкостного датчика Д. В следствии этого на датчике Д появляется напряжение, которое поступает на устройство управления УУ. При поступлении напряжения с датчика Д, устройство управления УУ выдает сигнал на один из двигателей самолета (ПР дв или Л дв), что влечет за собой разбалансировку работы двигателей (один из двигателей начинает работать быстрее а второй медленее) За счет разбалансировки работы двигателей самолет преобретает прежний курс.
Таким образом происходит регулировка направления полета самолета независимо от воздействия различных внешних фкторов.
В полете оператор (пилот) наблюдает за полетом по прибору индикации И и в случае неисправности с помощью УО отключает систему автоматического регулирования направления полетом
3. При удачной посадке пилот самолета выключает устройство управления УУ, гирокомпас Г через устройство УО.
VII. Характеристики выбранной САР
Данная система автоматизированного контроля является устойчивой к резким изменениям внешней среды. Чувствительна к малейшим изменениям направления полета, но обладает рядом недостатков, таких как Чувствительна к микроклимату (влажность в кабине, запыленность, высокая или низкая температура все что изменяет электрическую проницаемость воздуха между обкладками) кроме этого из-за высокой чувствительности повышается расход топлива (постоянные изменения в работе двигателей), повышается износ двигателей .
VIII. Выводы
Автоматизированные системы контроля и регулирования позволяют ускорить процесс измерения, имеют меньшую погрешность, чем система измерительный прибор - человек и в таких отраслях науки и техники как исследование космоса, океана, производство микросхем, управление электростанциями и т. д.
1. Существующие датчики обладают малой погрешностью, высокой
чувствительностью и широким спектром применения. Так например реостатные преобразователи применяются для измерения сравнительно больших перемещений, индуктивные - для более маленьких перемещений (но к преимуществам можно отнести возможность использования выходного сигнала без усилителя), емкостные преобразователи применяются для изготовления микромеров кроме этого эти датчики обладают малой инерционностью.
2. На сегодняшний день существует огромное количество информационно-измерительных систем. И выбор как самой ИИС так и отдельных блоков ИИС определяется в первую очередь требованиями к самой ИИС
3. В данной работе не были описаны другие виды датчиков и ИИС, так например не были описаны индукционные ПИЛ, тензочувствительные датчики, так как они не являются основными для измерения перемещения.
Литература
1."Электрические измерения" Фремке АВ
2. "Электрические измерения" Шрамков ЕГ
3. "Датчики" Wigleb G.
4. "Электрические измерения неэлектрических величин" Методическое пособие Лукьянов ВГ
5. "Датчики измерительных систем" J Ash
6. "Параметрические ПИЛ" Горбов Евстигнеев
Вместе с этим смотрят:
Определение параметров p-n переходаОптические системы светоизлучающих диодов
Оптроны и их применение
Основы дискретизации и восстановления сигналов по теореме Котельникова