Передающие спиральные антенны
ТЕХНИЧЕСКОЕ ЗАДАНИЕ
Рассчитать спиральную антенну по данным параметрам:
1.Рабочая частота 800 МГц
2.Коэффициент усиления 30
3.Режим передающий
4.Мощность передачи 10 кВт
в импульсном режиме
при скважности 100
5. Уровень боковых лепестков -15 дБ
1.Введение.
Спиральные антенны (далее СА) относятся к антеннам бегущей волны и представляют собой металлическую спираль, питаемую коаксиальной линией
(рис.1).
Основным режимом работы антенны является режим осевого излучения. С.А. формирует диаграмму направленности (далее Д.Н.) вдоль оси спирали
(рис.2).[л.2.стр306]
Рисунок 1.
Рисунок 2.Излучение цилиндрической С.А.
Введем обозначение:
Λ-рабочая длина волны в свободном пространстве
Λ=С/F,где↑↑↑↑ С-скорость света, F-рабочая частота
Λ=300/800=36.5 (см)
D-диаметр витка спирали (см)
Если длина витка спирали лежит в пределах от 0.75λ до 1.3λ то излучение С.А. максимально вдоль оси спирали. Это основной режим работы С.А.[л.2.стр307]
Расчётные соотношения цилиндрической спирали.
n-число витков С.А.
α-угол подъёма витка
R-радиус спирали
S-шаг витка С.А.
L-длина витка спирали
S L
α
2ΠR
Рисунок 3.Развёртка витка С.А.
Основные соотношения:
2 2 2
L =(2ΠR)+S {1}
Sinα=S/L {2}
l=nS {3}
следуют из рисунка 3.
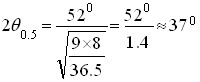
Ширина Д.Н. по половинной мощности выражаемая в градусах
![]()
2θ0.5
=
![]()
![]()
(4) [л.3.стр323]
![]()
Коэффициент направленного действия
D0=15
n
(5)
Входное сопротивление
(Ом) (6)
2.Расчёт цилиндрической С.А. [л.3.стр321]
Наиболее характерен режим С.А., который устанавливается, когда:
(См)
-примем равным
Т.К. ![]()
К.П.Д в нашем случае будет близок 100 % при достаточно большой площади сечения С.А.
См
Шаг спирали для получения круговой поляризации [л.1.стр235]
См
Число витков спирали
округляем
виткам
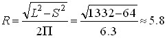
Радиус спирали из (1)
См
Ширина Д.Н. по формуле (4)

Диаметр диска экрана принимается равным (0.9
1.1)
[л.1.стр237]
В нашем случае диаметр диска экрана
См.
Диаметр провода спирали берется порядка (0.03
0.05)![]()
.
См
В нашем случае лучше взять медную трубку близкого диаметра т.к. токи высокой частоты текут лишь по поверхности металла.
Входное сопротивление
требует согласующего устройства к линии 75 ом
Угол подъёма спирали из (2) ![]()
3.Конструкция и питание С.А.
С.А. состоит из следующих составных частей:
1.Спираль из медной трубки.
2.Сплошной экран.
3.Согласующее устройство.
4.Питающий фидер.
5.Диэлектрический каркас.
В качестве каркаса можно применить твёрдый пенопласт. При этом расчетные соотношения останутся неизменными т.к. диэлектрическая проницаемость пенопласта практически равна диэлектрической проницаемости воздуха.
В качестве экрана можно применить более дешёвый алюминий. Расстояние от первого витка берут
. В нашем случае 2 см.
Поскольку входное сопротивление фидера 50 или 75 Ом, а сопротивление спирали 140 Ом, то для согласования надо применить согласующее устройство СВЧ. Так как сопротивление С.А. практически активное, то для согласования можно применить конусообразный переход (рис.4) из коаксиальных линий передачи.
D1 d1 d2 D2
![]()
![]()
![]()
Рис.4.Коаксиальный трансформатор волновых
сопротивлений передающего тракта
Если длину конусной части (
) взять равной
(в нашем случае
см)
этот переход работает как четвертьволновый трансформатор. [л.3.стр159]
Для согласования линии с разным волновым сопротивлением (75 Ом и 140 Ом)
Волновое сопротивление конусной части линии, должно быть:
(7) [л.3.стр159] где:
-волновое сопротивление конусной части перехода
-волновое сопротивление подводящего фидера 75 Ом
-волновое сопротивление спиральной антенны
Ом
По известному волновому сопротивлению можно определить отношение диаметров элементов коаксиального тракта:
lg
( Ом ) (8)
Для коаксиального устройства с воздушным заполнением и
Ом отношение
, а для
Ом
и для
Ом
![]()
Выбрав, в качестве подводящего мощность фидера РК-9-13 по допустимой предварительной мощности имеем: диаметр центральной жилы 1.35 мм.
Отсюда можно определить все размеры коаксиального трансформатора рис.4.
мм
мм
выберем равным
мм., тогда
мм.
В качестве основания спирали можно применить твердый пенопласт. Он не изменит электрических параметров антенны, т.к. по своим электрическим параметрам пенопласт близок к воздуху.
При мощности передатчика 10 кВт и скважности 100 средняя площадь излучения примерно 100 Вт, при КСВ антенны лучше 1.35 отражённая мощность не более 5%, т.е. не более 5 Вт. Будем считать, что эта мощность тепло и рассеивается на спирали.
Для уменьшения уровня боковых лепестков следует увеличить размер рефлектора и сделать его форму более сложной. Эскиз на рисунке 7.
40 см
![]()
20 см
Рис.7. Эскиз рефлектора для уменьшения уровня боковых лепестков.
Рефлектор следует делать из листа толщиной не менее 3 мм, т.к. он является несущим для фидера спирали и какого-либо опорно-поворотного устройства.
Диаграмма такой антенны достаточно широка (
>
),так что особой точности наведения она не требует. Антенна достаточно проста в изготовлении, надежна в эксплуатации.
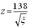
Уровень боковых лепестков.
Наряду с шириной луча очень важным параметром является уровень боковых лепестков, который можно определить через К.Н.Д. по формуле [л.2.стр201]:
![]()
![]()
где
- это Влэффективный уровень боковых лепестковВ»
или
дБ.
Список используемой литературы:
1.Антенно-фидерные устройства СВЧ.
(под общей редакцией Маркова)
2.Антенны.
(Д.М.Сазонов)
3.Антенны и устройства СВЧ.
(В.В.Никольский)
Вместе с этим смотрят:
Печатные излучателиПЛИС Xilinx семейства Virtex
Полосно-пропускающий фильтр
Понятие о телевидении