Расчет редуктора приборного типа
Министерство науки высшей школы из технической политики Российской Федерации
Кафедра ВлДМ и ТММВ»
Расчётно-пояснительная записка на тему: ВлКонструирование редуктора приборного типаВ»
Группа:
Студент:
Руководитель
проекта:
1997г.
Содержание задания курсового проекта:
Предлагается спроектировать редуктор механизма азимутального вращения зеркала антенны самолетной РЛС приборного типа по приведённой в задании схеме с заданными параметрами:
- Угол обзора зеркала по азимуту, α,град . . . . . . . . . . . 140
- Скорость обзора, ν, град/с . . . . . . . . . . . . . . . . . . . . . . 105
Редуктор приводится в действие от электродвигателя ДПР тАУ 52 - 03, который имеет следующие технические характеристики:
- Напряжение питания, U, В . . . . . . . . . . . . . . . . . . . . . . . . 27
- Частота тока, f, Гц . . . . . . . . . . . . . . . . . . . . . . . . . . . . . . 400
- Номинальная мощность, W, Вт . . . . . . . . . . . . . . . . . . . 4.5
- Число оборотов вала двигателя, nдв, мин-1 . . . . . . . . . . 4500
- Номинальный крутящий момент на валу
- двигателя, М, 10-2Н⋅см . . . . . . . . . . . . . . . . . . . . . . . . . . 100
- Пусковой момент, М, 10-2Н⋅см . . . . . . . . . . . . . . . . . . . . 650
- Число зубьев шестерни, насажанной на вал двигателя, z
. . . . . . . . . . . . . . . . . . . . . . . . . . . . . . . . . . . . . . . . . . . . . . . . . . . . 18
- Модуль . . . . . . . . . . . . . . . . . . . . . . . . . . . . . . . . . . . . . . . . 0.4
Допускаемое отклонение передаточного числа редуктора не более ±2%.
1. Описание назначения и работы редуктора.
Малогабаритные зубчатые редукторы широко используются в различных конструкциях приборов и устройств автоматики. Редукторы, применяемые в следящих системах, в большинстве случаев определяют срок службы того прибора или автомата, в который они входят. К данным редукторам предъявляют следующие требования:
- Безотказность в работе в течение 1500-2500 часов при возможных перепадах температур от - 60о до + 60о и относительной влажности до 98%;
- Плавность вращения зубчатых колёс в условиях непрерывного реверса, т.е. изменения направления вращения;
- Небольшой суммарный момент трения;
Данный редуктор собран на двух платах, соединённых между собой стойками при помощи 3-х винтов. Между платами располагаются узлы зубчатых передач, которые опираются на подшипники качения. На одной из плат крепиться двигатель ДПР тАУ 52 - 03. Для установки редуктора предусматривают 2 отверстия в платах с целью фиксации редуктора штифтами по месту и ещё 4 отверстия для закрепления его винтами.
Выходным звеном такого редуктора является выходная шестерня с числом зубьев z = 22 и модулем m = 0.6, которая после установки редуктора в приборе входит в зацепление с другим зубчатым колесом устройства.
Примечания:
- При определении передаточного числа редуктора временем реверса и переходным процессом пренебречь.
- При расчётах исходить из того, что приводимый к валу двигателя требуемый крутящий момент (с учётом динамических нагрузок, сил трения и к.п.д.) равен номинальному крутящему моменту двигателя, определяемому мощностью двигателя и числом оборотов его вала.
2. Кинематический расчёт редуктора.
2.1. Разбиение передаточного числа редуктора по ступеням:
2.1.1. Приближённое значение передаточного числа редуктора определяется из отношения частоты вращения вала двигателя к частоте вращения антенны:
Up=
, где
nант=![]()
и ωант=
;
где nант тАУ частота вращения антенны;
ωант тАУ угловая скорость антенны;
ωант=
;
nант=
;
Up
;
Рекомендуемое число ступеней из условия рационального уменьшения приведённого момента инерции редуктора n = 5 (см.[2])
2.1.2. Разбиение передаточного числа редуктора по ступеням осуществляется в соответствии с формулами (см.[2]):
Uср=
; Uср=
=3,034;
U1=
; U1=
=1,569;
U2=
; U2=
=1,742;
U3=Uср; U3=3,034;
U4=
; U4=
=5,285;
U5=
; U5=
=5,868;
где Ui тАУ передаточное число iтАУой ступени.
2.2. Определение числа зубьев зубчатых колёс:
Число зубьев зубчатого колеса определяется по формуле (см.[2]):
![]()
где zш тАУ число зубьев шестерни, которое задаётся исходя из конструктивных соображений;
Ui тАУ передаточное число iтАУой ступени;
В приведённых далее расчётах используются следующие обозначения:
- Номер при z обозначает номер шестерни от двигателя;
- Штрих над z обозначает, что данное число зубьев относиться к колесу;
Число зубьев шестерни, насажанной на вал двигателя: z1=18.
z1= 18; z1'=18⋅1.569=28.242≈28;
z2= 19; z2'=19⋅1.742=33,098≈33;
z3= 19; z3'=19⋅3.034=57,640≈58;
z4= 20; z4'=20⋅5.285=105.70≈106;
z5= 20; z5'=20⋅5.868=117.36≈117;
2.3. Определение геометрических размеров шестерней и зубчатых колёс редуктора.
2.3.1. Диаметр делительной окружности (в мм) определяется по формуле (см.[2]):
di = m⋅z,
где m тАУ модуль зацепления, мм,
z тАУ число зубьев шестерни или зубчатого колеса;
m = 0.4; d1 = 0.4⋅18=7.2; d1' =0.4⋅28=11.2;
m = 0.4; d2 = 0.4⋅19=7.6; d2' =0.4⋅33=13.2;
m = 0.5; d3 = 0.5⋅19=9.5; d3' =0.5⋅58=29.0;
m = 0.5; d4 = 0.5⋅20=10.0; d4' =0.5⋅106=53.0;
m = 0.6; d5 = 0.6⋅20=12.0; d5' =0.6⋅117=70.2;
2.3.2. Диаметр (в мм) окружности вершин зубьев определяется по формуле (см.[2]):
da = m⋅(z+2)
da1= 0.4⋅(18+2)=8; da1'=0.4⋅(28+2)=12;
da2= 0.4⋅(19+2)=8.4; da2'=0.4⋅(33+2)=14;
da3= 0.5⋅(19+2)=10.5; da3'=0.5⋅(58+2)=30;
da4= 0.5⋅(20+2)=11; da4'=0.5⋅(106+2)=54;
da5= 0.6⋅(20+2)=13.2; da5'=0.6⋅(117+2)=71.4;
2.3.3. Диаметр (в мм) окружности впадин зубьев определяется по формуле (см.[2]):
df = m⋅(z-2.5)
df1= 0.4⋅(18-2.5)=6.2; df1'=0.4⋅(28-2.5)=10.2;
df2= 0.4⋅(19-2.5)=6.6; df2'=0.4⋅(33-2.5)=12.2;
df3= 0.5⋅(19-2.5)=8.25; df3'=0.5⋅(58-2.5)=27.75;
df4= 0.5⋅(20-2.5)=8.75; df4'=0.5⋅(106-2.5)=51.75;
df5= 0.6⋅(20-2.5)=10.5; df5'=0.6⋅(117-2.5)=68.7;
2.3.4. Межосевое расстояние (в мм) рассчитывается по формуле:
,
где di тАУ делительный диаметр шестерни i тАУ ой ступени;
di' тАУ делительный диаметр зубчатого колеса i тАУ ой ступени;
aw1=
aw2=![]()
aw3=
aw4=![]()
aw5=![]()
2.3.5. Определение ширины шестерней и зубчатых колёс.
Ширина зубчатого колеса (в мм) определяется по формуле (см.[2]):
bi' = ( 3тАж10)⋅m,
( 3 . . . 10) - выбирается из конструктивных соображений,
а ширина шестерни (в мм):
bi = bi'⋅1.6
b1' = 3⋅0.4=1.2; b1 = 1.2⋅1.6=1.92;
b2' = 4⋅0.4=1.6; b2 = 1.6⋅1.6=2.56;
b3' = 4⋅0.5=2.0; b3 = 2.0⋅1.6=3.2;
b4' = 5⋅0.5=2.5; b4 = 2.5⋅1.6=4.0;
b5' = 5⋅0.6=3.0; b5 = 3.0⋅1.6=4.8;
2.4. Расчёт реальных передаточных чисел и вычисление относительной погрешности.
2.4.1. Действительное передаточное число ступени редуктора определяется по формуле:
![]()
где zзк и zш тАУ соответственно числа зубьев зубчатого колеса и шестерни, входящих в зацепление;
U1=
=1.56; U2=
=1.74;
U3=
=3.05; U4=
=5.30;
U5=
=5.85;
Следовательно, Uред = U1⋅U2⋅U3⋅U4⋅U5
Uред = 1.56⋅1.74⋅3.05⋅5.30⋅5.85=256.688
2.4.2. Относительная погрешность определяется по формуле:
,
где Uред тАУ истинное значение передаточного числа редуктора;
Uр тАУ приближённое передаточное число редуктора![]()
![]()
не должно превышать допустимого значения ±2%
- 0.177%
Такой процент погрешности удовлетворяет заданной точности:
|- 0.177|% < 2%
2.5. Расчёт угловых скоростей вращения валов редуктора.
Угловая частота вращения вала ( в об/с )двигателя определяется по формуле:
![]()
где
тАУ угловая частота вращения вала двигателя,
тАУ угловая частота вращения последующих валов;
![]()
![]()
2.6. Расчёт крутящих моментов валов производиться по формуле:
где W1- мощность на валу двигателя (в Вт);
Wi тАУ мощность последующих валов (в Вт);
Ti тАУ крутящий момент на валу (в Нмм);
η- к.п.д. ступени η = 0.97
W1=4.5;
W11=4.5⋅0.97=4.365;
W111=4.365⋅0.97=4.23; ![]()
W1v=4.23⋅0.97=4.11; ![]()
Wv=4.11⋅0.97=3.98; ![]()
Wv1=3.98⋅0.97=3.86; ![]()
2.7. Расчёт диаметров валов и подбор подшипников.
2.7.1. Примерный расчёт диаметров валов.
Диаметр вала под подшипник определяется по формуле (см.[2]):
;
Диаметр вала под зубчатое колесо/шестерню принимается равным:
;
dII=4⋅0.4=1.6; DII=1.6⋅1.6=2.56;
dIII=4⋅0.5=2.0; DIII=2.0⋅1.6=3.2;
dIV=4⋅0.5=2.0; DIV=2.0⋅1.6=3.2;
dV=4⋅0.6=2.4; DV=2.4⋅1.6=3.84;
dVI=4⋅0.6=2.4; DVI=2.4⋅1.6=3.84;
2.7.2. Подбор действительных размеров валов в соответствии с размерами подшипников:
В таблице №1 приведены сведения о подшипниках сверхлёгкой стали:
№ п/п |
Условное обозначение |
Внутренний диаметр подшипника, d, мм |
Внешний диаметр подшипника, D, мм |
Ширина, B, мм |
1 |
1000091 |
1.0 |
4.0 |
1.6 |
2 |
1000092 |
2.0 |
6.0 |
2.3 |
3 |
1000093 |
3.0 |
8.0 |
3.0 |
4 |
1000094 |
4.0 |
11.0 |
4.0 |
таблица №1 тАЭПодшипникитАЭ
В соответствии с таблицей №1 принимаем следующие значения для валов:
№ п/п |
1 |
2 |
3 |
4 |
5 |
Условное обозначение подшипника |
1000091 |
1000092 |
1000094 |
1000093 |
1000094 |
Внутренний диаметр подшипника, d, мм |
1.0 |
2.0 |
4.01 |
3.0 |
4.0 |
Внешний диаметр подшипника, D, мм |
4.0 |
6.0 |
11.0 |
8.0 |
11.0 |
Ширина, B, мм |
1.6 |
2.3 |
4.0 |
3.0 |
4.0 |
Диаметр вала, di, мм |
1.0 |
2.0 |
4.0 |
3.0 |
4.0 |
Диаметр вала, Di, мм |
1.6 |
3.2 |
6.4 |
4.8 |
6.4 |
2.7.3. В соответствии с толщиной большего подшипника (№4) выбираем толщину пластин редуктора:
подшипник №4(1000094): B = 4.0 (мм);
Принимаем толщину пластин редуктора равной В′ = 4.5 (мм).
3. Проверочный силовой расчёт выходной зубчатой передачи.
Сделаем проверочный силовой расчёт на выносливость выходной зубчатой передачи по изгибной усталости.
Условие прочности:
, (3.1)
где
- напряжение при изгибе;
[
] - предельно допустимое напряжение при изгибе, определяемое по формуле:
для колеса: ![]()
(3.2.1),
для шестерни:
(3.2.2);
где σT- предел текучести материала (в Н/мм2);
σB - предел прочности материала (в Н/мм2);
σ-1 тАУ предел выносливости материала, определяемый по формуле:
, (3.2.3)
Sn - запас прочности;
kFC = 0.8 - коэффициент, учитывающий влияние реверсивности передачи;
m - модуль зубчатого колеса;
YF - коэффициент, учитывающий влияние формы зуба;
WFt -
удельная, нагрузка по ширине зуба, определяемая по формуле:
(3.3)
где T тАУ крутящий момент, действующий на зубчатое колесо;
kF - коэффициент, учитывающий влияние неравномерности распределения нагрузки;
, (3.4)
где
- коэффициент, учитывающий влияние неравномерности распределения нагрузки между зубьями;
- коэффициент, учитывающий влияние неравномерности распределения нагрузки по ширине зуба;
- коэффициент, учитывающий влияние динамической нагрузки;
bω - рабочая ширина венца зубчатой передачи;
dω=d - диаметр делительной окружности зубчатого колеса.
1). Проведём расчёт на выносливость колеса.
Материал колеса: Бр. ОЦ 4-3т
Мпа;
Мпа;
По формуле (3.2.1) определяем :
![]()
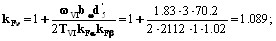
По [3]:
=1;
=1.02;
![]()
По формуле (3.4) определяем
:
=1⋅1.02⋅1.089=1.11
По формуле (3.3) определяем
:
;
По [3]:
для z = 117;
По формуле (3.1) определяем
:
![]()
133.56 < 139.2 т.е.
<
;
Условие прочности выполняется.
2). Проведём расчёт на выносливость шестерни.
Материал шестерни: Сталь 40ХН, обработка - улучшение
МПа;
Sn = 1.1
По формуле (3.2.3) определяем:
![]()
По формуле (3.2.2) определяем:
![]()
По [3]:
=1;
=1.02;
![]()
По формуле (3.4) определяем
:
=1⋅1.02⋅1.508=1.538;
По формуле (3.3) определяем
:
;
По [3]:
для z = 20;
По формуле (3.1) определяем
:
![]()
258.77 < 381.8 т.е.
<
;
Условие прочности выполняется.
- Расчёт предохранительной фрикционной муфты.
Проведём расчёт числа дисков предохранительной фрикционной муфты, исходя из следующих условий:
- Наружный диаметр трущихся поверхностей D2=8, (определён в процессе конструирования);
- Внутренний диаметр трущихся поверхностей D1=3, (определён в процессе конструирования);
- Материал дисков тАУ закалённая сталь по бронзе без смазки;
- Допустимое удельное давление на рабочих поверхностях (см.[1]): [p] = 1.2Мпа, коэффициент трения скольжения f = 0.2;
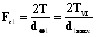
- Момент ТV = 372;
Расчёт муфты производиться по формуле:
, (4.1)
где Ттр тАУ момент трения, развиваемый на парах рабочих поверхностей z;
Q тАУ сила прижатия;
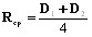
Rcp тАУ средний радиус трения, определяемый по формуле:
, (4.2)
z тАУ число трущихся поверхностей;
β - коэффициент запаса сцепления,
(принимаем β = 1.25);
kD тАУ коэффициент динамической нагрузки,
(принимаем kD = 1.2);
Исходя из формул (4.1) и (4.2), z определяется как:
, (4.3)
Удельное давление:
, (4.4)
где S тАУ площадь поверхности трения, определяемая по формуле:
, (4.5)
Из формул (4.4) и (4.5) определяем силу прижатия:
, (4.6)
Исходя из формул (4.3) и (4.6) имеем формулу для расчёта числа трущихся поверхностей z:
![]()
![]()
Число фрикционных дисков n определяется по формуле:
![]()
- Расчёт выходного вала на выносливость.
5.1. Расчёт действующих в зацеплении сил.
Действующие в зацеплении силы рассчитываются по следующим формулам:
, (5.1)
где
- крутящий момент, действующий на зубчатое колесо;
- окружная составляющая силы зацепления, действующей на колесо.
, (5.2)![]()
где
- окружная составляющая силы зацепления, действующей на шестерню.
, (5.3)
где
- радиальная составляющая силы зацепления, действующей на колесо;
- угол зацепления.
, (5.4)
где
- радиальная составляющая силы зацепления, действующей на шестерню.
По формуле (5.1) определяем
:
;
По формуле (5.2) определяем
:
;
По формуле (5.3) определяем
:
;
По формуле (5.4) определяем
:
;
5.2. Приближённое определение диаметра выходного вала.
Приближённо определим диаметр вала под колесом dв:
{где τ = 20..35Мпа}![]()
5.3. Расчёт нагрузок на опоры валов.
Расчёт нагрузок на опоры валов (см. рис.1) проводим по формулам статики.
Исходя из конструкции вала следует:
|ВD|=25(мм); |АС|=11(мм); |АВ|=17.5(мм); |АD|=7.5(мм); |СВ|=6.5(мм);
- Расчёт горизонтальных составляющих сил реакций т.А и т.В.
Уравнение моментов для т.А:
;
;
Уравнение моментов для т.В:
;
;
Уравнение сил используем для проверки:
;
;
5.3.2. Расчёт вертикальных составляющих сил реакций т.А и т.В.
Уравнение моментов для т.В:
;
![]()
![]()
Уравнение моментов для т.А:
;
![]()
Уравнение сил используем для проверки:
;
;
5.4. Построение эпюр изгибающих и крутящего моментов и определение опасного сечения.
5.4.1. Построение эпюры изгибающего момента
:
1). 0 < y1 < 7.5 (мм);
;
;
;
2). 0 < y2 < 11 (мм);
;
;
;
3). 0 < y3 < 6.5 (мм);
;
;
;
5.4.2. Построение эпюры изгибающего момента
:
1). 0 < y1 < 7.5 (мм);
;
;
;
2). 0 < y2 < 11 (мм);
;
;
;
3). 0 < y3 < 6.5 (мм);
;
;
;
5.4.3. Построение эпюры крутящего момента:
1). 0 < y1 < 7.5 (мм); Т=2112 (Н⋅мм);
2). 0 < y2 < 11 (мм); Т=2112 (Н⋅мм);
Из приведённых выше вычислений и эпюр, показанных на
рис.1, следует, что опасным сечением является т.А. В таком случае, расчёт коэффициента запаса усталости вала проведём для сечения в т.А.
- Расчёт коэффициента запаса усталости вала для опасного сечения.
Коэффициент запаса усталости n определяется по формуле:
, (5.5)
где
- коэффициент запаса для нормальных напряжений;
- коэффициент запаса для касательных напряжений.
Коэффициент запаса n должен удовлетворять следующему требования:
, (5.6)
где
- коэффициент предельного запаса усталости.
Для определения
существуют следующие соотношения:
, (5.7)
где
- предел усталости для нормальных напряжений при знакопеременном цикле, определённый по формуле:
, (5.7*)


Рис.1
где
- предел прочности материала;
где
- амплитудное значение нормального напряжения, определяемое по формуле:
, (5.8)
где d - диаметр вала в опасном сечении;
- изгибающие моменты в опасном сечении;
- среднее значение нормального напряжения;
- коэффициент, учитывающий чувствительность материала к асимметрии цикла нормальных напряжений, определяемый по формуле:
, (5.8*)
- комплексный коэффициент, определяемый по формуле:
, (5.9)
где
- коэффициент, характеризующий вид упрочнения;
- эффективный коэффициент концентрации напряжения;
- коэффициент влияния абсолютных размеров сечения;
- коэффициент, характеризирующий влияние шероховатости поверхности;
Для определения
существуют следующие соотношения:
, (5.10)
где
- предел усталости для касательных напряжений при знакопеременном цикле, определяемой по формуле:
, (5.10*)
- амплитудное значение касательного напряжения, определяемого по формуле:
![]()
, (5.11)
где d - диаметр вала в опасном сечении;
Т - крутящий момент в опасном сечении;
- среднее значение нормального напряжения, определяемое по формуле:
![]()
, (5.11*)
- коэффициент, учитывающий чувствительность материала к асимметрии цикла нормальных напряжений, определяемый по формуле:
(5.11**)
- комплексный коэффициент, определяемый по формуле:
, (5.12)
Материал рассчитываемого вала :
Сталь 40Х (упрочненная азотированием);
;
(по [5]);
шероховатость поверхности: ![]()
(по [5]);
![]()
![]()
d = 4 (мм);
[n] = 1.5;
1). По формуле (5.7*) определяем:
По формуле (5.8) определяем:
;
По [5] определяем отношение ![]()
В таком случае
по формуле (5.9) определяется как:
![]()
При таких исходных данных по формуле (5.7) определяем:
![]()
2). По формуле (5.10*) определяем:
![]()
Из соотношения (5.11) и (5.11*):
![]()
![]()
Коэффициент
по формуле (5.12) имеет следующее значение:
![]()
По формуле (5.8*) определим:
![]()
Исходя из формулы (5.11**):
![]()
В таком случае по формуле (5.10) определяем:
![]()
По формулам (5.5) и (5.6) вычисляем:

Коэффициент запаса усталости для выходного вала больше предельного значения.
6. Расчёт подшипников выходного вала.
Расчёт подшипников производиться по тому из них, на который приходиться максимальная нагрузка. В данном случае по эпюрам действующих на вал моментов, показанных на рис.1, легко определить, что наибольшая нагрузка приходиться на подшипник, расположенный между колесом и выходной шестернёй (т.А).
При конструировании редуктора были применены радиальные однорядные подшипники качения. По этой причине расчёт проводиться по приведённой ниже схеме, где подшипники подбираются по динамической грузоподъёмности Ср исходя из следующего соотношения:
![]()
, (6.1)
где С - табличное значение динамической грузоподъёмности рассчитываемого подшипника;
L - долговечность в млн. оборотов, определяемая по формуле:
, (6.2)
где n - число оборотов вала, рассчитываемое по соотношению:
, (6.3)
t - количество рабочих часов за расчётный срок службы;
- эквивалентная нагрузка, определяемая из соотношения:
, (6.4)
где
-радиальная нагрузка на подшипник, определяемая по формуле:
![]()
, (6.5)
- осевая нагрузка на подшипник (
)
x, y - коэффициенты радиальной и осевой нагрузки, соответственно;
v - коэффициент, учитывающий какое из колец подшипника вращается;
- коэффициент, учитывающий температуру работы редуктора;
- коэффициент безопасности;
Т.к. выходной вал установлен в подшипниках 1000094, то (по[3]) определяем, что Ср = 950(Н).
По эпюрам (рис.1) определяем хА = 479.4(Н), zА = 158.3(Н). В таком случае по формуле (6.5) определяем:
![]()
Принимая
= 1 (условия работы при 1000),
= 1.5, v = 1 (вращение внутреннего кольца), x = 1, y = 0 (прямозубая передача), определяем по формуле (6.4):
![]()
Согласно тому, что
, по формуле (6.3) имеем:
(об/мин);
По формуле (6.2), считая, что t = 2000 (ч), определяем:
(млн.ч);
При таких условиях по формуле (6.1) (принимая n = 3, т.к. тело качения - шарик), рассчитываем:
![]()
938(Н) < 950(Н) - условие (6.1) выполняется.
7. Смазка редуктора.
В редукторе смазываются опоры качения. Часто смазка разбрызгивается и попадает на зубчатые колёса.
Дополнительная смазка не производиться.
Подшипники качения покрывают пластичной смазкой И-30А ГОСТ 6267-59, которую заменяют 1 раз в 6-8 месяцев.
Формат |
№ п/п |
Обозначение |
Наименование |
Кол. |
Примечание |
Документация |
|||||
А1 |
РПТ.257.000. СБ |
Сборочный чертёж |
|||
Детали |
|||||
РПТ.257.001. |
Нижняя плата |
1 |
Сталь G3 |
||
РПТ.257.002. |
Верхняя плата |
1 |
Сталь G3 |
||
РПТ.257.003. |
Вал |
1 |
Сталь 40Х |
||
РПТ.257.004. |
Вал |
1 |
Сталь 40Х |
||
РПТ.257.005. |
Вал |
1 |
Сталь 40Х |
||
РПТ.257.006. |
Вал |
1 |
Сталь 40Х |
||
А3 |
РПТ.257.007. |
Вал |
1 |
Сталь 40Х |
|
РПТ.257.008. |
Вал |
1 |
Сталь 40Х |
||
РПТ.257.009. |
Колесо зубчатое |
1 |
Бр.ОЦ 4-3т |
||
РПТ.257.010. |
Колесо зубчатое |
1 |
Бр.ОЦ 4-3т |
||
А3 |
РПТ.257.011. |
Колесо зубчатое |
1 |
Бр.ОЦ 4-3т |
|
РПТ.257.012. |
Колесо зубчатое |
1 |
Бр.ОЦ 4-3т |
||
А3 |
РПТ.257.013. |
Колесо зубчатое |
1 |
Бр.ОЦ 4-3т |
|
РПТ.257.014. |
Шестерня |
1 |
Сталь 40ХН |
||
РПТ.257.015. |
Шестерня |
1 |
Сталь 40ХН |
||
РПТ.257.016. |
Шестерня |
1 |
Сталь 40ХН |
||
А3 |
РПТ.257.017. |
Шестерня |
1 |
Сталь 40ХН |
|
РПТ.257.018. |
Шестерня |
1 |
Сталь 40ХН |
||
А3 |
РПТ.257.019. |
Шестерня |
1 |
Сталь 40ХН |
|
РПТ.257.020. |
Крышка муфты |
1 |
i15-32 |
||
РПТ.257.021. |
Диск фрикционный |
3 |
i15-32 |
||
А3 |
РПТ.257.022. |
Стакан |
1 |
i15-32 |
|
РПТ.257.023. |
Диск фрикционный |
2 |
i15-32 |
||
РПТ.257.024. |
Пружина |
1 |
40-13 |
||
РПТ.257.025. |
Стойка |
3 |
БрАЖ9-4Л |
||
РПТ.257.026. |
Крышка |
2 |
i15-32 |
||
РПТ.257.027. |
Крышка |
2 |
i15-32 |
||
РПТ.257.028. |
Крышка |
2 |
i15-32 |
||
РПТ.257.029. |
Крышка |
2 |
i15-32 |
||
РПТ.257.030. |
Крышка |
1 |
i15-32 |
||
31. |
РПТ.257.031. |
Шпонка по Гост23360-78 |
1 |
Сталь 45 |
|
32. |
РПТ.257.032. |
Шпонка по Гост23360-78 |
1 |
Сталь 45 |
|
33. |
РПТ.257.033. |
Крышка |
1 |
i15-32 |
|
Стандартные изделия |
|||||
34. |
РПТ.257.034. |
Подшипник качения 1000091 Гост3395-74 |
2 |
||
35. |
РПТ.257.035. |
Подшипник качения 1000092 |
2 |
||
36. |
РПТ.257.036. |
Подшипник качения 1000093 |
2 |
||
37. |
РПТ.257.037. |
Подшипник качения 1000094 |
4 |
||
38. |
РПТ.257.038. |
Шайба 5.01.08.кн.016 Гост11371-78 |
6 |
||
39. |
РПТ.257.039. |
Винт АМБ-69*12-1048 Гост14473-80 |
6 |
||
40. |
РПТ.257.040. |
Винт АМБ-69*4-1048 Гост1476-75 |
24 |
||
41. |
РПТ.257.041. |
Электродвигатель ДПР-52-03 |
1 |
||
Список литературы:
- Рощин Г.И. Несущие конструкции и механизмы РЭА. тАУ М: Высшая школа, 1981г., 374с.
- Никифоров В.В. проектирование редукторов приборного типа с мелкомодульными зубчатыми колёсами. тАУ М., 1992г., 16с.
- Анурьев В.И. Справочник конструктора машиностроителя. Т.2. тАУ М: Машиностроение, 1978г., 559с.
- Элементы приборных устройств. Курсовое проектирование. Под ред. Тищенко О.Ф. тАУ М: Высшая школа, 1978г., 326с.
- Селезнёв Б.И. Расчёт валов на прочность на персональных компьютерах. тАУ М., 1994г., 50с.
- Курсовое проектирование механизмов РЭС. Под ред. Рощина Г.И. тАУ М: Высшая школа, 1983г., 243с.
- Курсовое проектирование деталей машин. Под ред. Чернавского С.А. тАУ М: Машиностроение, 1988г., 416с.
1 На этом валу установлена муфта
Вместе с этим смотрят:
Расчёт супергетеродинного приёмника ДВ, СВ волнРасчет усилителя низкой частоты
Расчет усилителя низкой частоты с блоком питания
Расчёт усилителя постоянного тока и источника питания