Случайные процессы
Сибирский Государственный Университет Телекоммуникаций и Информатики
Кафедра РТС
Реферат по дисциплине ВлТеория электрической связиВ» на тему:
ВлСлучайные процессыВ».
Выполнил: студент группы тАж
Принял: Криволапов Геннадий Илларионович
Новосибирск 2002
Содержание:
- Случайные процессы и их характеристики
- Определение одномерной функции распределения вероятностей случайных процессов.
Случайные процессы и их характеристики.
Детерминированное, т. е. заранее известное сообщение не содержит информации. Поэтому в теории связи источник сообщения следует рассматривать как устройство, осуществляющее выбор из некоторого множества возможных сообщений. Каждая конкретная реализация сообщения возникает с определённой вероятностью, которая в общем случае зависит от того, какие сообщения передавались раньше. Точно так же и посылаемая в канал реализация сигнала является элементом некоторого множества, выбираемого с определённой вероятностью. Множество, на котором задана вероятностная мера, называют ансамблем. Ансамбли сообщений и сигналов могут быть конечными (в дискретном случае) или бесконечными.
Ансамбль
функций времени является случайным процессом.
Случайными процессами называются такие процессы, которые математически описываются случайными функциями времени. Случайной называется функция, значения которой при каждом значении аргумента являются случайными величинами.
Случайная функция времени
, описывающая случайный процесс, в результате опыта принимает ту или иную конкретную форму
, неизвестную заранее. Эти возможные формы случайной функции называются реализациями случайного процесса.
Мгновенные значения случайного процесса в фиксированный момент времени ti являются случайными величинами и называются сечением случайного процесса.
Статистические свойства случайного процесса
как множества (ансамбля) реализации
, характеризуются законами распределения, аналитическими выражениями которых являются функции распределения.
Для некоторого фиксированного момента времени ti одномерная функция распределения
![]()
определяет вероятность того, что мгновенное значение случайного процесса в этот момент времени примет значение, меньшее или равное X, то есть вероятность того, что
.
В общем случае скалярный процесс X(t) полностью задан, если для любого набора моментов времени
и любых значений
можно вычислить вероятность того, что X(t) принимает в указанные моменты времени значения, не превышающие соответственно
.
.
Функция
называется n-мерной функцией распределения вероятности процесса.
Если существует частная производная функции распределения по xi, то можно определить плотность распределения вероятности. Одномерная плотность распределения вероятностей случайного процесса определяется соотношением
.
Аналогично определяются многомерные (n-мерные) функции распределения для совокупности моментов времени t1, t2,.,ti,.,tn, которые более полно характеризуют случайный процесс одновременно в n сечениях, обозначаемые как
.
В теории связи наиболее широкое применение находят двумерные функции распределения
![]()
и
.
Во многих практических случаях для характеристики случайных процессов достаточно знать лишь его усредненные, так называемые, числовые характеристики (моментные функции). Наиболее часто используются математическое ожидание (первый начальный момент), дисперсия (второй центральный момент), ковариационная функция и корреляционная функция.
Простейшей характеристикой случайного процесса является его математическое ожидание
,
которое представляет собой неслучайную функцию времени, около которой различным образом располагаются отдельные реализации случайного процесса.
Математическое ожидание случайного процесса - сигналов электросвязи представляет собой постоянную составляющую.
Дисперсией случайного процесса называется неслучайная функция времени, значения которой для каждого момента времени равны математическому ожиданию квадрата отклонения случайного процесса от его математического ожидания
.
Дисперсия определяет степень разброса значений случайного процесса около математического ожидания.
Применительно к сигналам электросвязи дисперсия является мощностью переменной составляющей на нагрузке 1 Ом и измеряется в Ваттах.
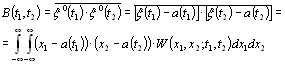
В качестве характеристики, учитывающей статистическую связь между значениями случайного процесса в различные моменты времени, используется ковариационная функция случайного процесса
,
определяемая как математическое ожидание от произведения значений случайного процесса в два различных момента времени (в двух сечениях).
На практике чаще используют корреляционную функцию, которая определяется как математическое ожидание произведения центрированного случайного процесса в два различных момента времени. Центрированный процесс представляет собой только переменную составляющую.
![]()

Таким образом, числовые характеристики получаются путем усреднения соответствующей случайной величины по множеству (ансамблю) ее возможных значений. Операция усреднения по множеству обозначается прямой горизонтальной чертой сверху.
Важнейшим классом случайных процессов, встречающихся на практике, является класс стационарных случайных процессов. Случайный процесс называется стационарным в узком смысле, если его многомерная функция распределения (и, следовательно, числовые характеристики) не зависит от начала отсчета времени, т.е. от сдвига всех сечений вправо или влево на один и тот же интервал времени тИЖt. При этом оказывается, что одномерная функция распределения, математическое ожидание и дисперсия вообще не зависят от времени:
,
а двухмерная функция распределения и корреляционная функция, и ковариационная функция зависят только от расстояния между сечениями
:
![]()
.
Иногда случайный процесс называют стационарным в широком смысле, если приведенные условия выполняются лишь для числовых характеристик. Узкое и широкое определения стационарности не тождественны. Случайные процессы, стационарные в узком смысле, всегда стационарны в широком смысле, но не наоборот.
Если приведенные выше условия не выполняются, то случайный процесс будет нестационарным. Для нестационарного процесса плотность вероятности является функцией времени. При этом со временем могут изменяться математическое ожидание, дисперсия случайного процесса или то и другое вместе.
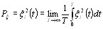
Среди стационарных случайных процессов очень важное значение имеют так называемые эргодические процессы, для которых статистические характеристики можно найти усреднением не только по ансамблю реализации, но и по времени одной реализации продолжительностью Т. При этом числовые характеристики, полученные по одной реализации путем усреднения по времени, с вероятностью, сколь угодно близкой к единице, совпадают с соответствующими числовыми характеристиками, полученными путем усреднения по множеству (ансамблю) реализации в один момент времени. Следовательно, для эргодических процессов:


![]()
Операция усреднения по времени одной реализации обозначается волнистой линией сверху.
Существует теорема, согласно которой стационарные в узком смысле процессы при достаточно общих предположениях являются эргодическими.
Свойство эргодичности стационарных случайных процессов имеет большое практическое значение. Для таких процессов любая реализация полностью определяет свойства всего процесса в целом. Это позволяет при определении статистических характеристик случайного процесса ограничиться рассмотрением лишь одной реализации достаточно большой длительности, как это и делается в настоящей лабораторной работе при определении одномерной плотности вероятности.
Если
представляет собой ток или напряжение, то
будет являться переменной составляющей тока или напряжения. Следовательно,

есть полная мощность процесса, a ПГВІ=Р~ тАУ характеризует мощность переменной составляющей процесса.
Полная мощность процесса равна сумме мощностей переменной и постоянной составляющих, т.е.
, где
.
У любого случайного процесса следует различать кроме мгновенных значений и максимальные значения, которые также являются случайными величинами и характеризуются своими законами распределения. Огибающая случайного процесса определяется как геометрическое место точек, соответствующих максимальным значениям процесса, и обозначается E(t) с плотностью распределения вероятностей W(E).
Остановимся коротко на методике практического измерения временных характеристик случайных процессов.
Математическое ожидание (постоянная составляющая) эргодического случайного процесса определяется выражением. Следовательно, измерение
должно сводиться к достаточно длительному интегрированию реализации процесса и умножению на величину 1/Т. Очень часто операция интегрирования (т.е. усреднения по времени) осуществляется с помощью фильтров нижних частот и в частности, интегрирующих RC тАУ цепочек.
.
Для измерения полной мощности эргодического случайного процесса в соответствии с выражением

необходимо осуществить операции возведения в квадрат исследуемого процесса и интегрирования.
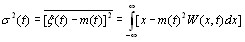
Для случайного процесса с ненулевым математическим ожиданием дисперсия (мощность переменной составляющей) равна
.
В соответствии с этим выражением при измерении полной мощности случайного процесса можно исключить постоянную составляющую и тем самым упростить измерение.
Для измерения ковариационной функции случайного процесса К(ПД) необходимо осуществить операции задержки на различное время ПД
, умножения и интегрирования. Обычно ограничиваются измерением В(ПД) в нескольких точках. При этом необходимо располагать набором перемножителей и линий задержки на фиксированное время задержки kОФt (чаще всего используют линию задержки с отводами).
Определение одномерной функции распределения вероятностей случайных процессов.
Для эргодических случайных процессов по одной реализации могут быть определены не только числовые характеристики, но и функция распределения вероятностей Р(ПД) или плотность распределения вероятностей W(x). Функция распределения Р(х) определяется как относительное время пребывания одной реализацию длительностью Т (интервал наблюдения) ниже уровня x.

Соответственно плотность вероятности равна
,
где
представляет собой относительное время пребывания реализации в интервале (х, х+ОФх).
Таким образом, аппаратурное определение функции распределения эргодического процесса по одной реализации основано на измерении относительного времени пребывания случайного напряжения в интервале значений от U до (U + ОФU).
При реальных ОФU измеряется вероятность
,
для различных U и строится распределение вероятностей в виде гистограммы. Для получения функции плотности вероятностей W(U) необходимо аппроксимировать гистограмму непрерывной кривой или ожидаемым законом распределения, пользуясь критериями согласия.
Список использованной литературы:
- Методическое указание к лабораторной работе ВлВероятностные характеристики случайных сигналовВ».
- ВлТеория передачи сигналовВ», А. Г. Зюко, ВлРадио и связьВ», 1986.
Вместе с этим смотрят:
Современное телевидение - HDTVСовременные микропроцессоры
Спиральные антенны
Способ определения живучести связи