Терморезисторный эффект. Терморезисторы
Министерство образования Российской Федерации
УГТУ-УПИ
Кафедра РЭИС
Курс ФОЭ
Р Е Ф Е Р А Т
НА ТЕМУ:
Терморезисторный эффект. Терморезисторы.
Студент: Косилов А. Н. Группа: Р-136а Преподаватель: Болтаев А. В. Дата сдачи: |
Г. Екатеринбург, 2003 г.
Аннотация
Терморезистор - это устройство, сопротивление которого меняется с температурой. Правда, надо заметить, что не все устройства, изменяющие сопротивление с температурой, называются терморезисторами. Например, резистивные термометры, которые изготавливаются из маленьких катушек витой проволоки или из напыленных металлических плёнок, хотя их параметры и зависят от температуры, однако, работают не так, как терморезисторы. Обычно термин ВлтерморезисторВ» применяется по отношению к чувствительным к температуре полупроводниковым устройствам. Терморезисторы с отрицательным ТКС изготавливаются из полупроводникового материала тАУ спеченной керамики, изготовленной из смеси оксидов металлов.
Терморезисторы широко применяются везде, и мы встречаемся с ними каждый день: на них основаны системы противопожарной безопасности, системы измерения и регулирования температуры, теплового контроля, схемы температурной компенсации, измерения мощности ВЧ. Также применение терморезисторы находят в промышленной электронике и бытовой аппаратуре, в медицине, метеорологии, в химической и других отраслях промышленности.
В этой работе рассматриваются основы самого терморезисторного эффекта, устройство терморезисторов и важнейшие их характеристики.
Содержание:
Краткое описание сущности физического эффекта |
4 |
Устройство терморезисторов |
5 |
Используемые материалы |
7 |
Основные параметры терморезисторов |
9 |
Основные характеристики терморезисторов |
10 |
Классификация и маркировка |
12 |
Сведения о нескольких конкретных приборах |
13 |
Применение |
16 |
Библиографический список |
18 |
Затраты времени |
19 |
Краткое описание сущности физического эффекта.
Терморезистор тАУ это устройство, сопротивление которого сильно изменяется с изменением температуры. Это резистивный прибор, обладающий высоким ТКС (температурным коэффициентом сопротивления) в широком диапазоне температур. Различают терморезисторы с отрицательным ТКС, сопротивление которых падает с возрастанием температуры, часто называемые термисторами, и терморезисторы с положительным ТКС, сопротивление которых увеличивается с возрастанием температуры. Такие терморезисторы называются позисторами. Терморезисторы обоих типов изготавливают из полупроводниковых материалов, диапазон изменения их ТКС тАУ (-6,5; +70)%/оC.
На самом деле терморезисторный эффект совсем не сложен для понимания. Он заключается в изменении сопротивления полупроводника в большую или меньшую сторону за счет убывания или возрастания его температуры. Однако сам механизм изменения сопротивления с температурой отличен от подобного явления в металлах (о чем и говорит факт уменьшения сопротивления при увеличении температуры), и особенности этого физического эффекта будут подробнее рассмотрены ниже.
В 1833 году Фарадей обнаружил отрицательный ТКС у сульфида серебра, но отсутствие сведений о явлении в контактах металл-полупроводник препятствовало изготовлению приборов с воспроизводимыми характеристиками. В 30-х годах уже двадцатого века у некоторых оксидов, как Fe3O4 и UO2, обнаружили высокий отрицательный температурный коэффициент сопротивления. В конце 30-х тАУ начале 40-х этот ряд пополнился NiO, CoO, системой NiO-Co2O3-Mn2O3. Интервал удельных сопротивлений расширился благодаря добавлению оксида меди Mn3O4 и в систему NiO-Mn2O3.
Терморезисторы с отрицательным ТКС изготавливаются из оксидов металлов с незаполненными электронными уровнями, и при достаточно низких температурах обмен электронами соседних ионов затрудняется, при этом электропроводность вещества мала. Если температура увеличивается, то электроны приобретают энергию в виде тепла, процесс обмена ионов электронами становится интенсивнее, поэтому резко увеличивается подвижность носителей заряда.
Далее приведем несколько слов о физических особенностях терморезисторов (вернее полупроводниковых материалов, на основе которых изготовлены терморезисторы), имеющих положительный температурный коэффициент сопротивления в некотором интервале температур. Такие терморезисторы часто называют позисторами.
Терморезисторы с положительным ТКС можно разделить на 2 группы:
- Терморезисторы из полупроводникового материала (обычно Si) в форме небольших пластин с двумя выводами на противоположных сторонах. Их применение основано на том, что легированные кристаллы Si (кремния) как n-, так и p- типа имеют положительный ТКС при температуре от криогенных до 150oC и выше, причем ТКС при комнатной температуре примерно равен 0,8% на 1oC.
- Терморезисторы с большим ТКС (до 70% на 1oC), но в более ограниченном диапазоне температур. Материалом в данном случае является поликристаллический полупроводниковый титанат бария с большим изменением ТКС при температуре 120oC, соответствующей сегнетоэлектрической точке Кюри этого материала. Добавляя другие материалы, например титанат свинца или стронций, такое изменение ТКС можно получить при температурах от -100 до +250oC. Можно также изменить наклон кривой сопротивления так, что большое изменение температур будет происходить в более узком интервале температур, например 0-100oC.
Можно сказать несколько слов о титанате бария. При низких температурах это вещество представляет собой диэлектрик с преобладающей спонтанной поляризацией, потенциальный барьер между кристаллами мал. Очень важна температура, соответствующая точке Кюри для TiBa. При нагреве до этой температуры спонтанная поляризация исчезает, возрастает высота барьера и, следовательно, сопротивление сильно увеличивается.
Подробнее многие свойства и характеристики данного эффекта и приборов на его основе для материалов как с положительным, так и с отрицательным ТКС будут рассмотрены далее.
Устройство терморезисторов.
Чтобы описать устройство терморезисторов, необходимо сначала углубиться в суть физических особенностей этих приборов и рассмотреть важные зависимости характерных для них физических величин.
Температурная зависимость сопротивления является главной характеристикой терморезисторов, в значительной степени определяющей остальные характеристики этих изделий. Естественно, она аналогична температурной зависимости удельного сопротивления полупроводника, из которого изготовлен данный терморезистор.
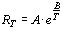
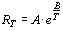
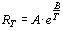
Измерения показывают, что температурная зависимость сопротивления большинства типов отечественных терморезисторов с отрицательным ТКС с достаточной для практики точностью во всем рабочем интервале температур или в его части аппроксимируется выражением
, где RT тАУ величина сопротивления терморезистора при температуре Т, К, постоянная
зависит от физических свойств материала и габаритов терморезистора (l тАУ расстояние между электронами в см и S тАУ площадь поперечного сечения полупроводникового элемента терморезистора в см2); постоянная B зависит от физических свойств материала и может иметь одно или два значения в интервале рабочих температур.
Прологарифмировав
, получим
. Это выражение в координатах lg R и
представляет уравнение прямой, что значительно облегчает определение интервала температур, в котором формула с необходимой точностью аппроксимирует действительную зависимость RT(T). По результатам измерений RT и T строят график зависимости
. Если через полученные экспериментально точки можно провести прямую, то считают, что в данном интервале температур выражение для RT справедливо.
Для практических расчетов удобно исключить постоянную A. Написав формулу для RT для двух температур T2 и T1 и разделив одно на другое, получим:
.
Из этой формулы можно рассчитать величину сопротивления терморезистора при любой температуре T2 (в интервале рабочих температур), зная значение постоянной B и сопротивление образца при какой-то температуре T1.
Величина B определяется экспериментально измерением сопротивления терморезистора при двух температурах T1 и T2. Логарифмируя предыдущее выражение, легко получить
, где
, а
. Размерность B тАУ градусы Цельсия или Кельвина. B тАУ это коэффициент температурной чувствительности. Если определить ТКС терморезистора О± как это обычно принято:
, то из
следует, что
.
Для позисторов температурные зависимости сопротивления, снятые в широких интервалах температур, имеют сложный характер. При достаточно низких и высоких температурах сопротивление уменьшается при увеличении температуры по закону, близкому к экспоненциальному. В промежуточной области сопротивление R резко возрастает при повышении температуры. Крутизной графика, а, следовательно, и величиной ТКС, можно управлять в широких пределах различными технологическими приемами.
Для многих типов позисторов сопротивление в довольно большом интервале температур (порядка нескольких десятков градусов Цельсия/Кельвина) меняется строго по экспоненциальному закону.
,
где A тАУ постоянная, О± тАУ температурный коэффициент сопротивления при температуре toC в абсолютных единицах.
Итак, терморезисторы изготавливаются из материала, изменяющего свое сопротивление с изменением температуры в соответствии с перечисленными выше основными зависимости R = f(T). В терморезисторах с отрицательным ТКС полупроводниковый материал тАУ спеченная керамика, которой придают различные форму и размеры. Ее изготавливают из смеси оксидов металлов, таких, как Mn, Ni, Co, Cu, Fe. Изменяя состав материала и размеры терморезистора, можно получить сопротивления от 1 до 106 Ом при комнатной температуре и ТКС от -2 до 6,5% на 1oC.
Терморезисторы, как уже было сказано, изготавливаются разных размеров: от бусинок диаметром 0,2 мм, дисков и шайб диаметром 3-25 мм до стержней диаметром 12 и длиной до 40 мм. Бусинковые терморезисторы можно заливать стеклом, помещать в стеклянные или пластмассовые оболочки или в транзисторные корпуса. Дисковые защищают чаще изоляционными пленками из лака или эпоксидных смол.
Важная технологическая операция в производстве терморезисторов тАУ создание омических контактов к термочувствительным элементам. Для этого на торцевых поверхностях термочувствительных элементов, выполненных в виде стержней, дисков или шайб создают серебряные контакты с помощью специальных паст. Для повышения стабильности параметров эти элементы подвергают термообработке при 200-300oC. Окончательная стабилизация происходит путем прогрева элементов в течение сотен часов при максимальной рабочей температуре.
Когда терморезистивный элемент получен, его защищают специальными лаками, а в ряде случаев помещают в стеклянный или металлический корпус. При измерении сопротивления надо поддерживать температуру терморезистора с высокой точностью (0,05-0,1oC), так как сопротивление является функцией температуры.
Используемые материалы.
Материал для создания терморезисторов должен удовлетворять следующим требованиям: чисто электронная проводимость материала и возможность регулирования ее, стабильность характеристик материала в диапазоне рабочих температур, простота технологии изготовления изделий. Материалы должны быть нечувствительными к загрязнениям в процессе технологического изготовления изделий.
Наибольший интерес вызывают полупроводниковые материалы, обладающие большим ТКС, кроме комплекса необходимых свойств. Большое распространение получили CuO, Mn3O4, Co3O4, NiO и их смеси. На основе смесей оксидов меди и марганца получены полупроводниковые материалы с электропроводностью от 10-8 до 10-1 (ОмтИЩсм)-1. Электропроводность кобальто-марганцевых окисных полупроводников лежит в пределах от 10-9 до 10-3 (ОмтИЩсм)-1. Получение необходимой электропроводности и ТКС достигается выбором процентного соотношения оксидов металлов в композиции при использовании метода совместного охлаждения щелочью азотнокислых соединений марганца, кобальта, меди и последующего прокаливания гидратов окислов.
Также используют окислы титана, ванадия, железа. При изменении соотношения компонентов соответствующих материалов можно получить заданные значения удельного сопротивления и ТКС. Использованием указанных компонентов и несколько видоизмененных способов смешения и термического обжига удалось создать терморезисторы с косвенным подогревом (ТКП).
Интерес для производства терморезисторов вызывают тройные марганцевые системы окислов, так как электропроводность таких материалов слабо зависит от примесей, следовательно, можно получать на их основе терморезисторы с малым разбросом по сопротивлению и ТКС, а значит массовый выпуск терморезисторов с заданными электрическими параметрами.
Современные терморезисторы с отрицательным ТКС обычно изготавливают из следующих оксидных систем: никель-марганец-медь, никель-марганец-кобальт-медь, кобальт-марганец-медь, железо-титан, никель-литий, кобальт-литий, медь-марганец. Кроме того, практикуется добавление таких элементов, как железо, алюминий, цинк, магний, которые позволяют модифицировать свойства перечисленных систем.
Тенденции развития современных материалов с отрицательным ТКС выявили три основных направления в производстве терморезисторов. Главное тАУ получение более стабильных терморезисторов. В результате появились взаимозаменяемые высокостабильные приборы с отрицательным ТКС. Это было достигнуто за счет использования более чистых исходных материалов, подбора соответствующих композиций и тщательного контроля на всех стадиях изготовления терморезистора.
Второе направление тАУ расширение верхней границы рабочих температур. Было создано несколько типов терморезисторов, у которых эта граница приблизительно равна 1000oC. Это было достигнуто за счет применения высокотемпературных материалов.
Третье направление тАУ создание переключающих терморезисторов с отрицательным ТКС. Они имеют очень большое изменение сопротивления в узком интервале температур и называются терморезисторы с критической температурой и терморезисторы на основе металлоксидных соединений, в которых используется резкое изменение проводимости от полупроводниковой к металлической, например VO2 с температурой перехода 68oC.
Довольно перспективное направление представляют собой терморезисторы с положительным ТКС. Терморезистивные элементы с положительным ТКС выпускают на основе титанато-бариевой керамики, сопротивление этих элементов значительно снижено добавлением редкоземельных элементов. Титанат бария BaTiO3 тАУ диэлектрик, поэтому его удельное сопротивление при комнатной температуре велико (1010-1012) ОмтИЩсм. При введении туда примесей, таких, как лантан или церий, в ничтожно малых количествах (0,1-0,3 атомного процента) его удельное сопротивление уменьшается до 10-100 ОмтИЩсм. Если ввести эти примеси в титанат бария, его сопротивление в узком интервале температур увеличится на несколько порядков.
Основные параметры терморезисторов.
Как и любой технический прибор, терморезисторы имеют ряд параметров и характеристик, знание которых позволяет выяснить возможность использования данного терморезистора для решения определенной технической задачи.
Основные параметры терморезисторов с отрицательным ТКС:
- Габаритные размеры.
- Величина сопротивления образцов Rt и RT (в Ом) при определенной температуре окружающей среды в t, oC, или T, К. Для терморезисторов, рассчитанных на рабочие температуры примерно от -100 до 125-200 oC, температуры окружающей среды принимается равной 20 или 25oC и величина Rt называется Влхолодным сопротивлениемВ».
- Величина ТКС О± в процентах на 1oC. Обычно она указывается для той же температуры t, что и холодное сопротивление, и в этом случае обозначается через О±t.
.
- Постоянная времени ПД (в секундах), характеризующая тепловую инерционность терморезистора. Она равна времени, в течение которого температура терморезистора изменяется на 63% от разности температур образца и окружающей среды. Чаще всего эту разность берут равной 100oC.
- Максимально допустимая температура tmax, до которой характеристики терморезистора долгое время остаются стабильными.
- Максимально допустимая мощность рассеивания Pmax в Вт, не вызывающая необратимых изменений характеристик терморезистора. Естественно, при нагрузке терморезистора мощностью Pmax его температура не должна превышать tmax.
- Коэффициент рассеяния H в Вт на 1oC. Численно равен мощности, рассеиваемой на терморезисторе при разности температур образца и окружающей среды в 1oC.
- Коэффициент температурной чувствительности B, размерность тАУ [К].
.
- Коэффициент энергетической чувствительности G в Вт/%R, численно равен мощности, которую нужно рассеять на терморезисторе для уменьшения его сопротивления на 1%. Коэффициенты рассеяния и энергетической чувствительности зависят от параметров полупроводникового материала и от характера теплообмена между образцом и окружающей средой. Величины G, H и О± связаны соотношением:
. В самом деле,
. - Теплоемкость C в Дж на 1oC, равная количеству тепла (энергии), необходимому для повышения температуры терморезистора на 1oC. Можно доказать, что ПД, H и C связаны между собой следующим соотношением:
.
Для позисторов, кроме ряда приведенных выше параметров, обычно указывают также еще примерное положение интервала положительного температурного коэффициента сопротивления, а также кратность изменения сопротивления в области положительного ТКС.
Основные характеристики терморезисторов.
ВАХ тАУ зависимость напряжения на терморезисторе от тока, проходящего через него. Снимается в условиях теплового равновесия с окружающей средой.
На графике: (а) тАУ терморезистор с отрицательным ТКС, (б) тАУ с положительным.
Температурная характеристика тАУ зависимость R(T), снимающаяся в установившемся режиме.
Принятые допущения: масштаб по оси R взят возрастающий по закону 10x, по оси T пропущен участок в интервале (0-223) К.

Подогревная характеристика тАУ характеристика, свойственная терморезисторам косвенного подогрева тАУ зависимость сопротивления резистора от подводимой мощности.
Принятые допущения: масштаб по оси R взят возрастающий по закону 10x.
Классификация и маркировка.
Наиболее распространенные терморезисторы изготавливают на основе медно-марганцевых (ММТ и СТ3), кобальто-марганцевых (КМТ и СТ1) и медно-кобальто-марганцевых (СТ3) оксидных полупроводников.
По конструктивному оформлению терморезисторы можно разделить на следующие типы:
- в виде цилиндрических стержней (КМТ-1, ММТ-1, КМТ-4,ММТ-4);
- в виде дисков (СТ1-17, СТ3-17, СТ5-1);
- в виде миниатюрных бусинок (СТ1-18, СТ1-19 и др.);
- в виде плоских прямоугольников (СТ3-23).
Особенностью бусинковых терморезисторов типов СТ1-18, СТ3-18 и СТ3-25 является то, что термочувствительный элемент для защиты от внешних воздействий покрыт тонким слоем стекла, а тонкие платиновые контакты приварены или припаяны (СТ3-25) к траверсам из толстой проволоки.
Терморезисторы типов СТ1-18 и СТ3-18 имеют бусинку диаметром 0,5 мм (выводы диаметром до 0,05 мм), терморезисторы типа СТ3-25 тАУ 0,3 и 0,03 мм соответственно. Терморезисторы типов КМТ-14, СТ1-19 и СТ3-19 имеют герметичную конструкцию. Термочувствительный элемент резистора КМТ-14 тАУ бусинка диаметром не более 0,5 мм, нанесенная на две параллельные платиновые проволоки, приваренные к платиновым выводам диаметром 0,4 мм. Бусинка герметизирована в коническом конце стеклянной трубки, которая является корпусом терморезистора. Термочувствительные элементы терморезисторов СТ1-19 и СТ3-19 помещены в конец миниатюрной капсулы, которая защищает термочувствительный элемент и места соединения контактов с выводами. СТ1-19 и СТ3-19 имеют меньшие размеры и более стойки к механическим нагрузкам, чем КМТ-14.
Терморезисторы ММТ-1 и КМТ-1 предназначены для работы в закрытых сухих помещениях, ММТ-4 и КМТ-4 герметизированы, работоспособны в условиях с повышенной влажностью и даже в жидкой среде.
Также существуют измерительные терморезисторы, предназначенные для измерений в маломощных цепях сверхвысокочастотных колебаний. Терморезисторы типа ТП (ТП2/0,5, ТП2/2, ТП6/2 тАУ цифра в числителе тАУ номинальное значение напряжения в В, знаменатель тАУ рабочий ток в мА) тАУ для стабилизации напряжения в цепях постоянного или переменного тока с частотой до 150 кГц. По конструкции тАУ круглые опрессованные стержни, заключенные в стеклянный баллон, воздух из которого откачан до давления 10-5 мм рт. ст.
Терморезисторы ТКП, СТ1-21, СТ3-21 и СТ3-27 применяются в радиотехнических устройствах и схемах автоматики как регулируемые бесконтактные резисторы. Они имеют косвенный подогрев от специальной спирали, при изменении тока в которой происходит плавное изменение сопротивления терморезистора. Используются, когда необходимо отделить управляемую цепь от управляющей.
Рабочий элемент и подогреватель терморезисторов типа ТКП помещены в стеклянный баллон с нормальным октальным цоколем. Терморезисторы типов СТ1-21, СТ3-21 и СТ3-27 (более новые) имеют более совершенную конструкцию по сравнению с ТКП.
В отличие от понятия ВлнаименованиеВ» резистора, применяемого для его характеристики в конструкторской и товаропроизводительной документации, под маркировкой резистора понимают цифры, буквы и символы, наносимые на корпус резистора.
Маркировка содержит лишь самые необходимые и важнейшие сведения о резисторе. Обязательным показателем во всех случаях является номинальное сопротивление.
Сведения о нескольких конкретных приборах.
Терморезисторы с отрицательным ТКС прямого подогрева.
Стержневые и трубчатые.
КМТ-1, ММТ-1, СТ3-1.
Терморезисторы негерметизированные неизолированные предназначены для измерения и регулирования температуры в электрических цепях постоянного, пульсирующего и переменного тока частотой до 400 Гц, а также для температурной компенсации элементов электрических схем, имеющих положительный температурный коэффициент сопротивления.
Масса: не более 0,6 г
Диапазон номинальных сопротивлений:
КМТ-1: 22тИЩ103-1тИЩ106 Ом
ММТ-1: 1тИЩ103-220тИЩ103 Ом
СТ3-1: 680-2,2тИЩ103 Ом
Примечание: промежуточные значения номинальных сопротивлений соответствуют ряду Е6 с допуском В±20% (ММТ-1, КМТ-1); ряду Е12 с допусками В±10, В±20% (СТ3-1).
Максимальная мощность рассеяния:
КМТ-1: 1000 мВт
ММТ-1, СТ3-1: 600 мВт
Температурный коэффициент сопротивления:
КМТ-1: -(4,2-8,4) %/oC
ММТ-1: -(2,4-5,6) %/oC
СТ3-1: -(3,35-3,95) %/oC
Коэффициент температурной чувствительности:
КМТ-1: 3600-7200 К
ММТ-1: 2060-4300 К
СТ3-1: 2870-3395 К
Коэффициент рассеяния: 5 мВт/ oC
Коэффициент энергетической чувствительности:
КМТ-1: 1 мВт
ММТ-1, СТ3-1: 1,3 мВт
Постоянная времени: не более 85с
Предельные эксплуатационные данные:
Температура окружающей среды:
КМТ-1: от -60 до +155 oC
ММТ-1, СТ3-1: от -60 до +125 oC
Относительная влажность воздуха:
КМТ-1, ММТ-1 при температуре В±25 oC: до 98%
СТ3-1 при температуре +35 oC: до 98%
Пониженное атмосферное давление: до 133 Па (1 мм рт. ст.)
Минимальная наработка:
КМТ-1, ММТ-1: 15Ва000 часов
СТ3-1: 5Ва000 часов
Срок сохраняемости:
КМТ-1, ММТ-1: 15 лет
СТ3-1: 12 лет
Бусинковые.
ТР-4.
Терморезисторы герметизированные изолированные предназначены для использования в сигнализаторах уровня жидкости, измерения и регулирования температуры, а также для температурной компенсации элементов электрической цепи с положительным ТКС.
Масса: не более 0,3 г
Номинальное сопротивление: 1тИЩ103 Ом.
Примечание: допуск В±20%.
Максимальная мощность рассеяния: 70 мВт
Коэффициент температурной чувствительности: 1600-1960 К
Температурный коэффициент сопротивления: -(1,8-2,2)%/oC
Коэффициент температурной чувствительности: 0,15 мВт
Постоянная времени: не более 3 с
Предельные эксплуатационные данные:
Температура окружающей среды: от -60 до +200 oC
Относительная влажность воздуха при +35 oC: до98%
Пониженное атмосферное давление: до 0,00013 Па (10-6 мм рт. ст.)
Минимальная наработка: 20Ва000 часов
Срок сохраняемости: 15 лет
Терморезисторы с положительным ТКС тАУ позисторы.
СТ5-1, СТ6-1А, СТ6-1Б.
Терморезисторы негерметизированные неизолированные предназначены для измерения и регулирования температуры, противопожарной сигнализации, тепловой защиты, ограничения и стабилизации тока в электрических цепях постоянного тока.
Масса: не более 0,7 г
Диапазон номинальных сопротивлений:
СТ5-1: 20-150 Ом
СТ6-1А: 40-400 Ом
СТ6-1Б: 180; 270 Ом
Примечание: допуск для СТ6-1Б В±20%.
Максимальная мощность рассеяния:
СТ5-1: 700 мВт
СТ6-1А: 1100 мВт
СТ6-1Б: 800 мВт
Температурный коэффициент сопротивления, не менее:
СТ5-1: 20 %/oC
СТ6-1А: 10 %/oC
СТ6-1Б: 15%/oC
Примерный температурный интервал положительного ТКС:
СТ5-1: от +120 до +200 oC
СТ6-1А: от +40 до +155 oC
СТ6-1Б: от +20 до +125 oC
Кратность изменения сопротивления в области положительного ТКС: не менее 103
Коэффициент рассеяния: 9 мВт/oC
Коэффициент энергетической чувствительности:
СТ5-1: 0,01 мВт
СТ6-1А: 0,3 мВт
СТ6-1Б: 0,5 мВт
Постоянная времени: не более 20 с
Предельные эксплуатационные данные:
Температура окружающей среды:
СТ5-1: от -20 до +200 oC
СТ6-1А: от -60 до +155 oC
СТ6-1Б: от -60 до +125 oC
Относительная влажность воздуха при +25 oC:
СТ5-1: до 85%
СТ6-1А, СТ6-1Б: до 98%
Пониженное атмосферное давление: до 133 Па (1 мм рт. ст.)
Минимальная наработка:
СТ5-1: 3Ва000 часов
СТ6-1А, СТ6-1Б: 10Ва000 часов
Срок сохраняемости:
СТ5-1: 3 года
СТ6-1А, СТ6-1Б: 10 лет
Применение.
На основе терморезисторов действуют системы дистанционного и централизованного измерения и регулирования температуры, системы теплового контроля машин и механизмов, схемы температурной компенсации, схемы измерения мощности ВЧ. Терморезисторы находят применение в промышленной электронике и бытовой аппаратуре: рефрижераторах, автомобилях, электронагревательных приборах, телевизорах, системах центрального отопления и пр. В телевизорах часто используются терморезисторы с положительным ТКС для размагничивания кинескопа.
Самые первые устройства, где применялись терморезисторы тАУ это датчики для измерения или регулирования температуры
Терморезисторы широко используются в различных устройствах не только в качестве датчиков температуры. После соответствующей модификации их можно применять в электронных устройствах задержки с достаточно широким интервалом времен задержки, в качестве конденсаторов или катушек индуктивности в низкочастотных генераторах, для защиты от выбросов напряжения в емкостных, индуктивных или резистивных схемах, в качестве ограничителей тока, напряжения, для измерения давления газа или теплопроводности.
Итак, терморезисторы находят применение во многих областях. Практически ни одна сложная печатная плата не обходится без терморезисторов. Они используются в температурных датчиках, термометрах, практически в любой, связанной с температурными режимами, электронике. В противопожарной технике существуют стандартные температурные датчики. Подобный датчик содержит два терморезистора с отрицательным температурным коэффициентом, которые установлены на печатной плате в белом поликарбонатном корпусе. Один выведен наружу тАФ открытый терморезистор, он быстро реагирует на изменение температуры воздуха. Другой терморезистор находится в корпусе и реагирует на изменение температуры медленнее. При стабильных условиях оба терморезистора находятся в термическом равновесии с температурой воздуха и имеют некоторое сопротивление. Если температура воздуха быстро повышается, то сопротивление открытого терморезистора становится меньше, чем сопротивление закрытого терморезистора. Отношение сопротивлений терморезисторов контролирует электронная схема, и если это отношение превышает пороговый уровень, установленный на заводе, она выдает сигнал тревоги. В дальнейшем такой принцип действия будет называться тАЬреакцией на скорость повышения температурытАЭ. Если температура воздуха повышается медленно, то различие сопротивлений терморезисторов незначительно. Однако, эта разница становится выше, если соединить последовательно с закрытым терморезистором резистор с высокой температурной стабильностью. Когда отношение суммы сопротивлений закрытого терморезистора и стабильного резистора и сопротивления открытого терморезистора превышает порог, возникает режим тревоги. Датчик формирует режим ВлТревогаВ» при достижении внешней температуры 60В°С вне зависимости от скорости нарастания температуры.
Конечно же, применение терморезисторов в качестве датчиков температуры имеет не только плюсы, но и свои минусы. Так, например, это инерционность, обусловленная постоянной времени ПД, плохая стабильность в определенных условиях и т.д.
В примерах терморезисторов были указаны цели использования некоторых терморезисторов, среди них и температурная компенсация электрических цепей в широком диапазоне температур тАУ еще одна область применения терморезисторов.
Библиографический список.
- Мэклин Э. Д. Терморезисторы. М. 1983. 208 с.
- Шашков А. Г. Терморезисторы и их применение. М. 1967. 320 с.
- Зайцев Ю. В. Полупроводниковые резисторы. М. 1969. 48 с.
- Шефтель И. Т. Терморезисторы. М. 1973. 416 с.
- Зайцев Ю. В. Полупроводниковые термоэлектрические преобразователи. М. 1985. 120 с.
- Гендин Г. С. Все о резисторах. Справочное издание. М. 2000. 192 с.
- Дубровский В. В. Резисторы: справочник. М. 1991. 528 с.
Затраты времени.
Затрачено времени (часов) приблизительно:
- Поиск и сортирование информации: 14.
- Оформление и редактирование: 26.
Вместе с этим смотрят:
Термосорбционный масс-спектрометрТермоэмиссионные преобразователи энергии
Технологические измерения и приборы
Технология получения монокристаллического Si