Туннелирование в микроэлектронике

МИНИСТЕРСТВО ОБРАЗОВАНИЯ РЕСПУБЛИКИ БЕЛАРУСЬ

БЕЛАРУССКИЙ ГОСУДАРСТВЕННЫЙ УНИВЕРСИТЕТ

ИНФОРМАТИКИ И РАДИОЭЛЕКТРОННИКИ

Кафедра химии

Факультет компьютерного проектирования

КУРСОВАЯ РАБОТА

по курсу: ВлФизико-химические основы микроэлектроники и технологии РЭС и ЭВСВ»

на тему:

ВлТУННЕЛИРОВАНИЕ В МИКРОЭЛЕКТРОНИКЕ        В»

Выполнил:                                                                                                                            Приняла:

студент гр. 910204                                                                                                             Забелина И. А.

Шпаковский В.А. 

Минск 2001 г.

СОДЕРЖАНИЕ

       стр.

1.  Туннельный эффекттАжтАжтАжтАжтАжтАжтАжтАжтАжтАжтАжтАжтАжтАжтАжтАжтАжтАжтАжтАжтАжтАжтАжтАжтАжтАжтАжтАжтАж3

  2.  ПРОЯВЛЕНИЕ В НЕОДНОРОДНЫХ СТРУКТУРАХ, ИСПОЛЬЗОВАНИЕ В УСТРОЙСТВАХ МИКРОЭЛЕКТРОНИКИ  

2.1  Контакт металл-металлтАжтАжтАжтАжтАжтАжтАжтАжтАжтАжтАжтАжтАжтАжтАжтАжтАжтАжтАжтАжтАжтАж..тАжтАжтАжтАж.5

2.2  Структура металл-диэлектрик-металлтАжтАжтАжтАж.тАжтАжтАжтАжтАжтАжтАжтАжтАжтАжтАжтАжтАжтАжтАжтАжтАж8

2.3  Токоперенос в тонких плёнкахтАжтАжтАжтАжтАжтАжтАжтАжтАжтАжтАжтАжтАжтАжтАжтАжтАжтАжтАжтАжтАжтАжтАжтАж10

2.4  Туннельный пробой в p-n-переходетАжтАжтАжтАжтАжтАжтАжтАжтАжтАжтАжтАжтАжтАжтАжтАжтАжтАжтАжтАжтАжтАж12

2.5  Эффекты ДжозефсонатАжтАжтАжтАжтАжтАжтАжтАжтАжтАжтАжтАжтАжтАжтАжтАжтАжтАжтАжтАжтАжтАжтАжтАжтАжтАжтАж..13

2.6  Эффект Франца-КелдышеватАжтАжтАжтАжтАжтАжтАжтАжтАжтАжтАжтАжтАжтАжтАжтАжтАжтАжтАжтАжтАжтАжтАжтАжтАж.15

3     Туннельный диодтАж.тАжтАжтАжтАжтАжтАжтАжтАжтАжтАжтАжтАжтАжтАжтАжтАжтАжтАжтАжтАжтАжтАжтАжтАжтАжтАжтАжтАж17

ЛитературатАжтАжтАжтАжтАжтАжтАжтАжтАжтАжтАжтАжтАжтАжтАжтАжтАжтАжтАжтАжтАжтАжтАжтАжтАжтАжтАжтАжтАжтАжтАжтАжтАжтАж.20

  1. Туннельный эффект

Рассмотрим поведение частицы при прохождении через потенциальный барьер. Пусть частица, движущаяся слева направо, встречает на своём пути потенциальный барьер высоты U0 и ширины l (рис. 1.1). По классическим представлениям движение частицы будет таким:

         U(x)                                            - если энергия частицы будет больше высоты барьера (E>U0),                                                                                                                            

                                                              то частица  беспрепятственно проходит над   барьером;                                                                                                                                                                                                                                                                        

                                   U0                                          - если же энергия частицы будет меньше высоты барьера                                                    

E                                                         (E<U0), то частица отражается и летит в обратную сторону;                                                              

                                                           сквозь барьер частица проникнуть не может.                                                                                                                                                                                 

         I             II           III                      Совершенно иначе поведение частицы по законам квантовой            

                                                           механики. Во-первых, даже при E>U0 имеется отличная от  ну-                           

               0                l              x         ля вероятность того, что  частица отразится от потенциального                            

Рис.1.1 Прохождение частицы      барьера и полетит  обратно. Во-вторых, при  E<U0  имеется ве-     

через потенциальный барьер.         роятность  того,  что частица проникнет ВлсквозьВ» барьер и ока-                                                        

                                                           жется в области III. Такое поведение частицы описывается уравнением Шрёдингера:

.          (1.1)

Здесь - волновая функция микрочастицы. Уравнение Шрёдингера для области I и III будет одинаковым. Поэтому ограничимся рассмотрением областей I и II. Итак, уравнение Шрёдингера для области I примет вид:

                                                         ,                  (1.2)

введя обозначение:

                                                        ,                            (1.4)

окончательно получим:

                                                                                 (1.5).

Аналогично для области II:

                                                      ,                         (1.6)

где  . Таким образом, мы получили характеристические уравнения, общие решения которых имеют вид:

                                                     при x<0,       (1.7)

                                                    при x>0       (1.8)

Слагаемое   соответствует волне, распространяющейся в области I в направлении оси х, А1- амплитуда этой волны. Слагаемое соответствует волне, распространяющейся в области I в направлении, противоположном х. Это волна, отражённая от барьера, В1- амплитуда этой волны. Так как вероятность нахождения микрочастицы в том или ином месте пространства пропорциональна квадрату амплитуды волны де Бройля, то отношение  представляет собой коэффициент отражения микрочастицы от барьера.

Слагаемое соответствует волне, распространяющейся в области II в направлении х. Квадрат амплитуды этой волны отражает вероятность проникновения микрочастицы в область II. Отношение   представляет собой коэффициент прозрачности барьера.

Слагаемое должно соответствовать отражённой волне, распространяющейся в области II. Так как такой волны нет, то В2 следует положить равным нулю.

Для барьера, высота которого U>E, волновой вектор k2 является мнимым. Положим его равным ik, где является действительным числом. Тогда волновые функции и приобретут следующий вид:

                                                                       (1.9)

                                                                                     (1.10)

Так как , то это значит, что имеется вероятность проникновения микрочастицы на некоторую глубину  во вторую область. Эта вероятность пропорциональна квадрату модуля волновой функции :

                                               .                (1.11)

Наличие этой вероятности делает возможным прохождение микрочастиц сквозь потенциальный барьер конечной толщины l (рис. 1.1). Такое просачивание получило название туннельного эффекта. По формуле (1.11) коэффициент прозрачности такого барьера будет равен:

                                                ,                             (1.12)

где D0 тАУ коэффициент пропорциональности, зависящий от формы барьера. Особенностью туннельного эффекта является то, что при туннельном просачивании сквозь потенциальный барьер энергия микрочастиц не меняется: они покидают барьер с той же энергией, с какой в него входят.

Туннельный эффект играет большую роль в электронных приборах. Он обуславливает протекание таких явлений, как эмиссия электронов под действием сильного поля, прохождение тока через диэлектрические плёнки, пробой p-n перехода; на его основе созданы туннельные диоды, разрабатываются активные плёночные элементы.   

  

  

2.1 КОНТАКТ МЕТАЛЛ-МЕТАЛЛ

Рассмотрим плотный контакт двух металлов М1 и М2 с разными работами выхода А1 и А2 (рис. 2.1.1).

                                                              A1                                 A2      

                                       EF1                             n21

                                                                      n12        EF2

                                                                        d 

                                                      M1                              M2

Рис. 2.1.1  Энергетическая диаграмма контакта двух металлов в начальный момент времени

Вследствие того, что уровень Ферми EF1 в М1 (уровень Ферми это то значение энергии уровня, выше которого значения энергии электрон принимать не может при Т=0 К) находится выше, чем EF2 в М2, соответствующие работы выхода А1<А2. Если Т0 К, то при контакте металлов между ними начнётся обмен электронами за счёт термоэлектронной эмиссии. При Т=0 К электроны за счёт туннелирования будут переходить из М1 в М2, так как напротив заполненных уровней в М1 будут находиться свободные уровни в М2.

В общем случае поток электронов n12 в первоначальный момент времени будет значительно больше, чем поток n21. При этом из-за оттока электронов  М1 будет заряжаться положительно, а М2- отрицательно. Электрон, переходящий из М1 в М2, переносит заряд тАУq, создавая разность потенциалов на контакте тАУV. Последующие электроны должны преодолевать возникающий потенциальный барьер тАУqV, величина которого непрерывно увеличивается с ростом числа перешедших  в М2 электронов. Работа, совершаемая электронами по преодолению энергетического барьера тАУqV, переходит в потенциальную энергию электронов, в результате чего все энергетические уровни в М1 опускаются, а в М2 подымаются (рис. 2.1.2).

       A2

                                           qVk                 A1

                                                                               n21

             EF1                                                              EF2

                                                                               n12

                                                                              d

       M1                               M2

Рис. 2.1.2  Энергетическая диаграмма контакта двух металлов в равновесном состоянии

Этот процесс будет происходить до тех пор, пока уровни Ферми в М1 и М2 не установятся на одной высоте. После чего против заполненных уровней М1 окажутся занятые уровни в М2 с той же плотностью электронов. При этом потенциальный барьер для электронов, движущихся слева направо, станет равным потенциальному барьеру для электронов, движущихся из М2 в М1, и поток n12 станет равным n21. Между металлами устанавливается равновесие, которому отвечает контактная разность потенциалов:

                                               .                         (2.1.1)

Величина контактной разности потенциалов составляет от десятых долей вольта до нескольких вольт, но при этом из-за большой концентрации носителей заряда в металлах в создании Vk участвуют всего около одного процента электронов, находящихся на поверхности металла. В результате толщина образующего потенциального барьера очень мала.

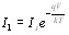
Как было сказано выше в первоначальный момент времени при контакте металлов, n12>n21 и соответствующие термоэлектронные токи I1>I2. Для этих токов мы можем записать уравнения термоэлектронной эмиссии:

                                               ;                     (2.1.2)

                                              ,                      (2.1.3)

где А* - постоянная Ричардсона; S тАУплощадь контакта.

После выравнивания уровней Ферми поток I2 останется неизменным, а поток I1 уменьшиться, так как для того, чтобы перейти электрону из М1 в М2 кроме преодоления работы выхода А1 ему необходимо преодолеть разность потенциалов в зазоре Vk. Тогда ток I1 станет равным:

                                              .                          (2.1.4)

При равенстве уровней Ферми двух металлов I1=I2 и результирующий ток через контакт равен нулю. Величину тока, текущего из одного металла в другой в равновесном состоянии, обозначим как Is=I1=I2.

Теперь рассмотрим процессы, происходящие в контакте при пропускании через него внешнего тока. Пусть внешнее поле прикладывается так, что оно складывается с напряжением Vk. Тогда полное напряжение на контакте будет равным V1=Vk+V.

Электронный ток справа налево I2=Is останется неизменным, а ток слева направо уменьшиться, так как высота энергетического барьера для этих электронов увеличится. Уравнение для тока I1 можно записать в виде:

                                              .                     (2.1.5)

Так как Is=I1 в выражении (2.4), то получим:

                                              .                                      (2.1.6)

Результирующий ток будет направлен справа налево и равен:

                                              .               (2.1.7)

В случае, если внешняя разность потенциалов приложена в обратном направлении, то ток I1 будет больше, чем I2=Is. В этом случае ток I1 равен:

                                              ,       (2.1.8)

тогда результирующий ток равен:

                                               .              (2.1.9)

Если току и напряжению приписывать положительный знак, когда они направлены слева направо, то выражение (2.1.7) для результирующего тока примет такой же вид, как и выражение (2.1.9). Поэтому выражение (2.1.9) называют уравнением вольтамперной характеристики контакта двух металлов.

Из выражения (2.1.9) видно, что контакт металл-металл обладает выпрямляющим действием. При V>0 ток увеличивается по экспоненте, а при V<0 тАУуменьшается.

В обычных условиях контакт металл-металл является невыпрямляющим, так как при плотном контакте, толщина возникающего потенциального барьера тАУqVk очень мала, и он будет прозрачен для туннельного просачивания электронов. Если же ширина зазора между металлами каким-либо образом увеличится, то туннельный эффект можно исключить и все полученные выводы будут справедливы.

Проблема электрического контакта двух металлов представляется особенно существенной в микроэлектронике. Это обусловлено тем, что в микроэлектронных устройствах используются рабочие напряжения, близкие по величине к контактным разностям потенциалов.   

         

2.2 СТРУКТУРА МЕТАЛЛ-ДИЭЛЕКТРИК-МЕТАЛЛ

Туннельный механизм прохождения электронов сквозь тонкие диэлектрические слои может проявляться и быть преобладающим при малой концентрации носителей тока в плёнке диэлектрика, сравнительно высоких барьерах на поверхности диэлектрика, низких температурах и достаточно малых, толщинах плёнки. РезульВнтирующий туннельный ток из одного электрода в другой сквозь диэлектрический слой находится как разВнность встречных туннельных составляющих токов в направлении х, перпендикулярном плоскости плёнки. СоВнставляющие этой разности определяют интегрированием произведения концентрации электронов в электродах на прозрачность барьера по всем значениям энергии электронов. Полученное таким образом уравнеВнние для туннельного тока имеет вид:

,     (2.2.1)

где n1(Е) и n2(Е)- концентрации электронов с энергиями от Е до Е+dE в первом и втором электродах соответВнственно; D(Е, py, pz)-  вероятность проникновения электрона с энергией Е сквозь потенциальный барьер (проВнзрачность барьера), h- постоянная Планка, рy, рz,- компоненты импульса электрона в плоскости, параллельной плоскости плёнки.

Зоммерфельдом А. И Бете Г.  был рассчитан туннельный ток сквозь вакуумный зазор между двумя одинакоВнвыми металлическими электродами (прямоугольный потенциальный барьер). Вольт-амперная характериВнстика системы при малых напряжениях имеет вид:

,                                       (2.2.2)

и при больших напряжениях (qu>+EF):

                                          ,                                           (2.2.3)

где - высота потенциального барьера; d- ширина зазора; u- приложенное напряжение; m- масса электрона. Из полученных выражений видно, что при малых напряжениях характеристика линейна, а при увеличении наВнпряжения ток резко возрастает.

Однако реальный барьер имеет более сложную форму. Поэтому детальный расчёт вольт-амперной характериВнстики должен производиться с учётом сил изображения, различия эффективных масс носителей заряда в металле и диэлектрике, а также с учётом пространственного заряда электронов, тунВннелировавших из металла в зону проводимости диэлектрика, и электронов, попавших на ловушки в диэлектрике. Симмонсом Дж. был предложен метод расчёта туннельного тока для барьера произВнвольной формы. Он ввёл понятие о барьере средней величины. Этот метод принципиально позвоВнляет вычислить туннельный ток с учётом названных факторов, однако при этом  получаются очень громоздкие выражения. Анализ результатов расчёта по методу Симмонса показывает, что при малых напряжениях вольтамперная характеристика является линейной, а при больших напряжениях переВнходит в экспоненциальную зависимость. При дальнейшем увеличении напряжения туннельный ток ограничивается пространственным зарядом в диэлектрике. На рис. 2.2.1 показаны расчётные вольт-амперные характеристики с учётом пространственного заряда.

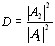
Из рисунка видно, что большой проВнстранственный заряд может сильно ограничивать туннельный ток сквозь слой диэлектрика. Большое количество экспериментальных работ было выВнполнено по изучению туннельного прохождения электронов сквозь тонкие диэлектрические слои. Плёнки диэлектриков обычно создавались либо термическим окислением металлов, либо распылеВннием в вакууме. Исследованию были подвергнуты плёнки Al2O3, Ta2O5, TiO2, Сu2O, Сu2S, SiO, GeO2, и других соединений. Практически во всех системах наблюдалось качественное совпадение экспериментальных вольт-амперных характеристик с расчётными. В начале имеет место линейное возрастание тока с ростом напряжения, затем оно пеВнреходит в экспоненциальное с последующим замедлением роста тока. Последнее обстоятельство, как и предполагалось при теоретическом расВнчёте, вызвано ловушками в диэлектрических слоях. При соответствующем подборе высоты контактВнного барьера, эффективной площади структуры, эффекВнтивной массы электрона в диэлектрике и друВнгих параметров наблюдается количественное совпадеВнние. На рис. 2.2.2 приведена вольт-амперная хаВнрактеристика туннельного тока сквозь слой А12О3 толВнщиной d=2,3 нм. Точками показаны экспериментальные результаты, сплошной линией тАУ расчётные. Наблюдаемые в отдельных случаях количественные расхождения в теоритических и экспериментальных результах вызваны, по-видимому, несовершенством структуры и геометрии плёнок.        

       j, а/см2

                                      107        1

           2

                                      103        3

                                      10-1  

                                      10-5

                                      10-9          

                                            1                10               100           1000              u, B                  

                                            

Рис. 2.2.1   Расчётные вольт-амперные характеристики туннельного тока:

1 тАУ без учёта пространственного заряда;

2 тАУ с учётом пространственного заряда подвижных носителей;

3 тАУ с учётом пространственного заряда на ловушках при большой их плотности.                       

                                                 j, а/см2 

                                                       1

                                                     10-1

                                                     10-2

                                                     10-3

                                                     10-4

                                                                     0,5     1       1,5     2        u, B          

Рис. 2.2.2   Вольт-амперная характеристика туннельного тока сквозь плёнку Al2O3. Точки тАУ экспериментальные данные, сплошная линия тАУ расчёт.

2.3  ТОКОПЕРЕНОС В ТОНКИХ ПЛЁНКАХ

Механизм токопереноса в тонких плёнках объясняется либо надбарьерной эмиссией, либо туннелированием через вакуумный зазор, либо туннелированием через ловушки в диэлектрической подложке.

Токоперенос за счёт надбарьерной эмиссии происходит благодаря переходу электрона через уменьшенный потенциальный барьер. Уменьшение потенциального барьера происходит как результат действия сил зеркального изображения и электрического поля. Более подробно это явление я рассматривать не буду, так как оно выходит за рамки курсового проекта.

Если расстояние между зёрнами плёнки лежит в пределах 1тАж5 нм (зерно тАУ это область в плёнке, где структура кристаллографической решётки симметрична), то для типичного значения работы выхода от 2 до 6 эВ при температурах, не превышающих 300 К, преобладающим механизмом токопереноса будет туннелирование.

При туннелировании полная энергия электрона не меняется. Поэтому, когда электрон переходит из одного зерна в другое, энергия его остаётся прежней (электрон переходит с энергетического уровня первого зерна на энергетический уровень второго, расположенный на такой же высоте). Такой переход возможен, если в зёрнах есть свободные энергетические уровни с соответствующей энергией и, кроме того, в одном из зёрен на этих уровнях имеются электроны (рис. 2.3.1).

Рис. 2.3.1   Туннелирование при отсутствии внешнего поля

В отсутствие электрического поля количество электронов, переходящих из одного зерна в другое, одинаковы и направленного потока электронов нет. При воздействии на систему электрического поля энергетические уровни зерен сдвигаются (рис. 2.3.2).

Рис. 2.3.2  Туннелирование при наличии внешнего поля

Уровень Ферми первого зерна смещается относительно уровня Ферми второго на величину , где u тАУ приложенное напряжение. Следовательно, против заполненных уровней первого зерна окажутся пустые уровни второго зерна. Электроны начнут переходить из первого зерна во второе. Потечёт электрический ток, плотность которого зависит от напряжённости поля. В области сильных полей, когда величина приложенного поля значительно больше значения суммы работы выхода и уровня Ферми, ток экспоненциально зависит от величины, обратной действующему полю. Заметим, что туннельный ток квадратично зависит от температуры.

В металлических плёнках дискретной структуры может быть ещё один туннельный механизм переноса носителей. Это тАУ так называемое активированное туннелирование: носители заряда, термически возбуждённые над электростатическим потенциальным барьером, туннелируют от одной нейтральной частицы к другой. В слабых полях проводимость, определяемая этим механизмом, подчиняется закону Ома и экспоненциально зависит от обратной температуры, размеров зёрен и расстояния между ними. В области сильных полей происходит отклонение от закона Ома, которое сильно зависит от температуры и пропорционально .

Рассмотренные механизмы относились к переносу носителей через свободное пространство между зёрнами. Однако высота потенциального барьера при туннелировании через вакуум близка к работе выхода металла, а при туннелировании через диэлектрик она много меньше и равна разности работ выхода металла и электронного сродства диэлектрика. Снижение высоты барьера повышает вероятность туннелирования. Кроме того, из-за большой диэлектрической проницаемости подложки энергия активации меньше, чем в вакууме. Таким образом, туннельный ток через подложку должен быть значительным. Проводимость через подложку осуществляется либо прямым туннелированием, либо туннелированием через стабильные энергетические примесные состояния и ловушки.

   

  

2.4 ТУННЕЛЬНЫЙ  ПРОБОЙ В p-n-ПЕРЕХОДЕ

Пробоем называют резкое увеличение тока через переход в области обратных напряжений, превышающих напряжение, называемое напряжением пробоя.

Туннельный пробой связан с туннельным эффектом тАУ переходом электронов сквозь потенциальный барьер без изменения энергии. Туннельный пробой наблюдается только  при очень малой толщине барьера тАУ порядка 10 нм, то есть в переходах между сильнолегированными p- и n- областями (порядка 1018 см-3). На рис.2.4.1 показана энергетическая диаграмма p-n-перехода при обратном напряжении, стрелкой обозначено направление туннельного перехода электрона из валентной зоны p-области в зону проводимости n-области.  

       p                                    n 

                                    Еп   

                                    ЕВнф        3

       Ев                                

        ОФЕз           (ПЖ0+|U|)

                                  ОФEтун                     1           2

                       Еп

               ЕВнф

               Ев

Рис. 2.4.1   Энергетическая диаграмма p-n-перехода при обратном напряжении.

Еп тАУ дно зоны проводимости; Еф тАУ уровень Ферми; Ев тАУ потолок валентной зоны.

Электрон туннелирует из точки 1 в точку 2, он проходит под энергетическим барьером треугольной формы (заштрихованный треугольник с вершинами 1-3), энергия электрона при этом не изменяется.

Туннельные переходы возможны для электронов, энергия которых соответствует интервалу туннелирования ОФЕтун, в котором по обе стороны расположены разрешённые уровни энергии. Высота барьера равна ОФЕз, она, как правило, меньше высоты p-n-перехода, равной q(ПЖ0+|U|). Толщина барьера с ростом обратного напряжения уменьшается, что повышает вероятность туннелирования. Туннельный ток резко увеличивается, так как возрастает интервал туннелирования и число электронов в нём. Туннельный пробой в чистом виде проявляется только при высоких концентрациях примесей (более ), а напряжение пробоя составляет 0-5 В. При повышении температуры ширина запрещённой зоны незначительно уменьшается и напряжение пробоя снижается. Таким образом, температурный коэффициент напряжения туннельного пробоя отрицателен.     

2.5  ЭФФЕКТЫ  ДЖОЗЕФСОНА

В п. 2.3 рассматривалось туннельное прохождение электронов сквозь тонкие диэлектрические плёнки, помещённые между проводящими электродами. Туннельный ток возникает и между двумя сверхпроводниками, разделёнными тонкой плёнкой. Однако в этом случае при толщине плёнки менее м в системе происходит качественное изменение.

Если сверхпроводящую структуру (рис. 2.5.1) включить в цепь постоянного тока, то через контакт будет протекать ток, однако падение напряжения на контакте будет равно нулю. Этот эффект впервые был открыт в 1962 г. Джозефсоном и получил название стационарного эффекта Джозефсона.

                                       1тАж5 нм         

       СП               СП

     Рис. 2.5.1  Сверхпроводящая структура

Этот эффект объясняется тем, что через плёнку туннелируют куперовские пары. Куперовская пара тАУ это два электрона с противоположно направленными спинами. Поэтому спин пары равен нулю, и она представляет собой бозон. Бозоны склонны накапливаться в основном энергетическом состоянии, из которого их сравнительно трудно перевести в возбуждённое состояние. Следовательно, куперовские пары, придя в согласованное движение, остаются в этом состоянии неограниченно долго. Такое согласованное движение пар и есть ток сверхпроводимости.

Между сверхпроводниками в этом случае возможно протекание туннельного тока обычных электронов, однако сверхпроводящий туннельный ток шунтирует его и напряжение на контакте равно нулю. Вольт-амперная характеристика туннельного джозефсоновского перехода показана на рис. 2.5.2.

            I

       I0             1

                                          Iкр

                                                        

                                                                     2

                                             0                      Оѕg/q    U0        U

 

Рис. 2.5.2  Вольт-амперная характеристика перехода Джозефсона

Имеется некоторое критическое значение тока тАУ при токах, больших критического значения, происходит скачкообразный переход на ветвь туннелирования обычных электронов. Линией 1 показана вольт-амперная характеристика при туннелировании обычных электронов при Т=0 К. В этом случае туннельный ток обычных электронов начинается лишь при напряжении U=Оѕg/q. При Т0 К этот ток протекает начиная с нулевого напряжения (линия 2). Величина критического тока зависит от типа контакта и может достигать 20 мА. Интересным свойством стационарного эффекта Джозесфона является сильная зависимость критического тока от величины магнитного поля: уже при небольших магнитных полях (порядка 10ВнВнВнВнВнВн-4 Тл) критический ток обращается в нуль.

Другим интересным проявлением эффекта Джозесфона является генерация контактом переменного электромагнитного поля тАУ нестационарный эффект Джозесфона. Если через контакт пропустить постоянный ток I0>Iкр, то на переходе появится напряжение U0 (рис2.5.2), а во внешней цепи наряду с постоянным током появится переменный ток высокой частоты. Частота колебаний достаточно высока, например при U0=1 мкВ она равна 483,6 МГц.

Кратко поясним появление переменного тока. Известно, что направление и сила туннельного тока определяются следующим соотношением:

                                                ,                                    (2.5.1)

где - разность фаз волновых функций, описывающих куперовские пары по обе стороны барьера; - максимальный ток через барьер, пропорциональный площади туннельного перехода и прозрачности барьера.

Соотношение (2.5.1) можно пояснить на модели маятников, связанных слабой пружиной. Связь приводит к тому, что когда колебание одного маятника опережает колебание другого по фазе, то энергия передаётся от первого маятника ко второму. При этом поток энергии достигает максимума при разности фаз равной ПА/2. Если с опережением колеблется второй маятник, то энергия от него передаётся первому.

В джозефсоновских контактах от одного проводника к другому переходят куперовские пары, возвращающиеся затем в первый проводник по внешней цепи. При этом величина и направление тока определяется теми же фазовыми соотношениями, что и для слабо связанных механических колебательных систем. При пропускании через джозефсоновский переход тока I от внешнего источника, автоматически изменяется таким образом, чтобы выполнялось условие (2.5.1). При наличии разности потенциалов между двумя сверхпроводниками энергия куперовских пар по обе стороны барьера отличается на величину 2qU. Известно, что между энергией частицы и частотой волн де Бройля существует связь: . Тогда по обе стороны от перехода будет существовать разность частот де Бройля: . Так как энергия куперовской пары при туннельном переходе постоянно увеличивается, то и разность фаз также будет непрерывно увеличиваться:  

                                               .               (2.5.2)

Подставив это значение в формулу (2.5.1), получим формулу для сверхпроводящей составляющей туннельного тока, текущего через переход:

                                                  .                   (2.5.3)

Как видно из этой формулы, ток будет переменный с частотой 2qU/h. Этим и объясняется генерация джозефсоновским переходом переменного тока.

  • ЭФФЕКТ ФРАНЦА-КЕЛДЫША
  • Из теории поглощения света полупроводниками известно, что если при поглощении полупроводником  кванта излучения имеет место возбуждение электронов из валентной зоны в зону проводимости, то такое поглощение называется собственным или фундаментальным. Для возбуждения собственных переходов необходимо, чтобы энергия светового кванта была больше или равна ширины запрещённой зоны полупроводника:

                                                   .                                          (2.6.1)

    Если полупроводник поместить в электрическое поле, то согласно зонной теории полупроводника, произойдёт наклон энергетических зон полупроводника. В этом случае электрон валентной зоны может туннелировать через треугольный барьер (рис. 2.6.1а).

                         Зона

                         проводимости

                                                                                                                               Зона

                                                                                                                               проводимости

                  Eg                                                                                      hОЅ

    Валентная                                                         х                                                                                        х

    зона                                                                                  Валентная

                                                                                              зона

                                                                                       

                                                                                                                         

                                 d                                                                      dтАЩ    

                            а)                                                                                                   б)

    Рис. 2.6.1  Туннелирование электрона

    а) без изменения энергии;   б)  с поглощением фотона

    Высота этого барьера равна ширине запрещённой зоны Eg, а его толщина d характеризуется выражением:

                                                   ,                                           (2.6.1)

    где - величина напряжённости электрического поля. Как видно, с увеличением величины электрического поля толщина барьера уменьшается, а, следовательно, исходя из формулы (1.12), где d=l, увеличивается вероятность туннелирования.

    В присутствии электрического поля участие фотона с энергией hОЅ, как видно из рис. 2.6.1б, эквивалентно уменьшению толщины барьера до величины:

                                                                                      (2.6.2)

    и туннельный переход становится ещё более вероятным. Уменьшение толщины барьера равносильно уменьшению ширины запрещённой зоны в сильном электрическом поле. Эффект туннелирования в присутствии электрического поля, сопровождаемый поглощением фотона, называется эффектом Франца Келдыша. В собственном полупроводнике он проявляется как сдвиг края полосы собственного поглощения в сторону меньших энергий. На рис. 2.6.2 показано изменение края полосы поглощения для GaAs при разной напряжённости поля.

                                        lnО±

                                           10 _

                                             8 _

                                            

                                             6 _

                                             4 _

     

                                             2   

                                               1,47            1,48            1,49            1,50             1,51             hОЅ, эВ                         

    Рис. 2.6.2  Край поглощения GaAs при разной напряжённости электрического поля;

    Сплошная линия - =0, штрихпунктирная - =30 кВ.

    1. ТУННЕЛЬНЫЙ  ДИОД

    Предложенный в 1958 г. японским учёным Л. Ёсаки туннельный диод изготовляется из германия или арсенида галлия с высокой концентрацией примесей (1019 тАФ 1020 см-3 ), т. е. с очень малым удельным сопротивлением, в сотни или тысячи раз меньшим, чем в обычных диодах. Такие полупроВнводники с малым сопротивлением называют вырожденными. Электронно-дырочный переВнход в вырожденном полупроводнике получается в десятки раз тоньше (10-6 см), чем в обычВнных диодах, а потенциальный барьер примерно в два раза выше. В обычных полупроводниковых диодах высота потенциального барьера равна примерно половине ширины запрещённой зоны, а в туннельных диодах она несколько больше этой ширины. Вследствие малой толщины перехода наВнпряженность поля в нём даже при отсутствии внешнего напряжения достигает 106 В/см.

    Процессы в туннельном диоде удобно рассматривать на энергетических диаграммах, показывающих уровни энергии валентной зоны и зоны проводимости в n- и р-областях. Вследствие возникновения контактной разности потенциалов в n-р-переходе границы всех зон в одной из областей сдвинуты относительно соответствующих зон другой области на высоту потенВнциального барьера, выраженную в электрон-вольтах.

    На рис.3.1-3.4 с помощью энергетических диаграмм изображено возникновение туннельных токов в электронно-дырочном переходе туннельного диода. Для того чтобы не усложнять рассмотрение тунВннельного эффекта, диффузионный ток и ток проводимости на этом рисунке не показаны. ДиаВнграмма рис. 3.1 соответствует отсутствию внешнего напряжения. Высота потенциального барьера взята для примера 0,8 эВ, а ширина запрещенной зоны составляет 0,6 эВ.

                                                                   U=0 B

           n                                   p

                                                    ЗП

                                  0,8 эВ

           

                                                                        iпр 

                                                                     iобр

                                  0,6 эВ           ЗЗ

                                                                                              ВЗ 

    Рис. 3.1  Диаграмма туннельного диода при отсутствии внешнего напряжения.

    Горизонтальными лиВнниями в зоне проводимости и в валентной зоне показаны энергетические уровни, полностью или частично занятые электронами. В валентной зоне и зоне проводимости изображены также незаштриВнхованные горизонтальными линиями участки, которые соответствуют уровням энергии, не занятым электронами. Как видно, в зоне проводимости полупроводника n-типа и в валентной зоне полупроводника р-типа имеются занятые электронами уровни, соответствующие одинаковым энергиям. Поэтому может происходить туннельный переход электронов из области n в область р (прямой туннельный ток iпр) и из области р в область n (обратный туннельный ток iобр). Эти два тока одинаковы по значению, и результирующий ток равен нулю.

    На рис. 3.2 показана диаграмма при прямом напряжении 0,1 В, за счёт которого высота потенциального барьера понизилась на 0,1 эВ и составляет 0,7 эВ. В этом случае туннельный переход электронов из области n в область р усиливается, так как в области р имеются в валентной зоне свободные уровни, соответствующие таким же энергиям, как энергии уровней, занятых электроВннами в зоне проводимости области n. А переход электронов из валентной зоны области р в область n невозможен, так как уровни, занятые электронами в валентной зоне области р, соответстВнвуют в области n энергетическим уровням запрещённой зоны. Обратный туннельный ток отсутствует, и результирующий туннельный ток достигает максимума. В промежуточных случаях, например когда Uпр=0,05 В, существуют и прямой и обратный туннельный токи, но обратный ток меньше прямого. Результирующим будет прямой ток, но он меньше максимального, получающеВнгося при Uпр= 0,1 В.

                                                                 Uпр=0,1 B

           n                                   p

                                                    ЗП

                                  0,7 эВ

           iпр

                                                                         

                                                                    

                                                                                            ВЗ

                                  0,6 эВ           ЗЗ

                                                                                       

    Рис. 3.2  Энергетическая диаграмма туннельного диода при Uпр=0,1 В

    Случай, показанный на рис. 3.3 соответствует Uпр= 0,2 В, когда высота потенциального барьера стала 0,6 эВ. При этом напряжении туннельный переход невозможен, так как уровням, занятым элекВнтронами в данной области, соответствуют в другой области энергетические уровни, находяВнщиеся в запрещённой зоне. Туннельный ток равен нулю. Он отсутствует также и при большем пряВнмом напряжении. Следует помнить, что при возрастании прямого напряжения увеличивается пряВнмой диффузионный ток диода. При рассмотренных значениях Uпр=0,2 В диффузионный ток гоВнраздо меньше туннельного тока, а при Uпр>0,2 В диффузионный ток возрастает и достигает значеВнний, характерных для прямого тока обычного диода.

                                                                 Uпр=0,2 B

           n                                   p

                                                    ЗП

                                  0,6 эВ

           

                                                                         

                                                                    

                                  0,6 эВ       ЗЗ                                     ВЗ

                                 

                                                                                       

    Рис. 3.3  Энергетическая диаграмма туннельного диода при Uпр=0,2 В

    На рис. 3.4 рассмотрен случай, когда обратное напряжение Uобр=0,2 В. Высота потенциального барьера стала 1 эВ, и значительно увеличилось число уровней, занятых электронами в валентной зоне р-области и соответствуют их свободным уровням в зоне проводимости n-области. Поэтому резко возрастает обратный туннельный ток, который получается такого же порядка, как и ток при прямом напряжении.

    Вольт-амперная характеристика туннельного диода (рис. 3.5) поясняет рассмотренные диаВнграммы. Как видно, при U=0 ток равен нулю. Увеличение прямого напряжения до 0,1 В дает возрасВнтание прямого туннельного тока до максимума (точка А). Дальнейшее увеличение прямого наВнпряжения до 0,2 В сопровождается уменьшением туннельного тока. Поэтому в точке Б получаВнется минимум тока и характеристика имеет падающий участок АБ, для которого характерно отрицаВнтельное сопротивление переменному току:

                                     (3.1)

                                                                   Uобр=0,2 B

           n                                   p

                                                   

                                                    ЗП

                                     1 эВ        

                                                                         

                                                                     iобр

                                 

                                                                                              ВЗ 

                                  0,6 эВ        ЗЗ

    Рис. 3.4  Энергетическая диаграмма туннельного диода при Uобр=0,2 В.

                            iпр, мА

                                       4 _                А

                                       3 _

                                       2 _

                                       1 _

                                                                                Б

    Uобр               

                    -0,1                                 0,1              0,2              0,3               0,4         Uпр 

                                             iпр, мА

    Рис. 3.5  Вольт-амперная характеристика туннельного диода.

    После этого участка ток снова возрастает за счет прямого диффузионного тока. Обратный ток получается такой же, как прямой, т. е. вo много раз больше, нежели у обычных диодов.

    Туннельны диоды могут примкнятся в технике СВЧ, а также во многих импульсных радиоэлектронных устройствах, рассчитанных на высокое быстродействие. Помимо весьма малой инерционности достоинством туннельных диодов является их стойкость к ионизирующему излучению. Малое потребление энерги от источника питания также во многих случаях следует считать достоинством туннельных диодов. К сожелению, эксплутация этих диодов выявила существенный их недостаток. Он заключается в том, что эти иоды подвержены значительному старению, то есть с течением времени их характеристики и параметры заметно изменяются, что может привести к нарушению нормальной работы того или иного устройства.

    Все туннельные диоды имеют весьма малые размеры. Например, они могут быть оформлены в целиндрических герметичных малостеклянных корпусах диаметром 3 тАУ 4 мм и высотой около 2 мм. Выводы у них гибкие ленточные. Масса не превышает 0,15 г.

    ЛИТЕРАТУРА
    1. И.В. Боднарь, Л.Г. Березуцкий  ВлМетодическое пособие к лабораторным работам по курсу ФХОМКиТ  РЭС и ЭВСВ». Мн.; БГУИР, 1997 г.
    2. И.В. Боднарь, Л.Г. Березуцкий  ВлМетодическое пособие для самостоятельной работы студентов по курсу ФХОМКиТ  РЭС и ЭВС. Раздел ВлКонтактные явления»». Мн.; БГУИР,  1998 г.
    3. Г.И. Епифанов, Ю.А. Мома  ВлФизические основы конструирования и технологии РЭА и ЭВАВ».  М.; ВлСоветское радиоВ», 1979 г.
    4. И.П. Жеребцов  ВлОсновы электроникиВ». Ленинград, ВлЭнергоатомиздатВ», 1985 г.
    5. В.В. Новиков  ВлТеоретические основы микроэлектроникиВ». М.; ВлВысшая школаВ», 1972 г.
    6. К.В. Шалимова  ВлФизика полупроводниковВ». М.; ВлЭнергияВ», 1976 г.
    7. Под редакцией Г.Г. Шишкина  ВлЭлектронные приборыВ». М.; ВлЭнергоатомиздатВ», 1989 г.
    8. А.А. Штернов  ВлФизические основы конструирования, технологии РЭА и микроэлектроникиВ». М.; ВлРадио и связьВ», 1981 г.

    Вместе с этим смотрят:

    Универсальный блок питания
    Управление ДПЛА через ретранслятор
    Управление тюнером спутникового телевидения
    Управляемый микроконтроллером выпрямитель