Двухзеркальная антенна по схеме Кассергена
Министерство образования Российской Федерации
УГТУ-УПИ имени С.М. Кирова
Кафедра ВЧСРТ
группа Р-398
оценка
двухзеркальная антенна
по схеме кассергена
ПОЯСНИТЕЛЬНАЯ ЗАПИСКА
КУРСОВОй ПРОЕКТ
по курсу: Устройства СВЧ и Антенны
201600 000000 013 ПЗ
Зачётная книжка №: 09832013
Студент: Аникин К. С. 06.03.02
подпись дата
Руководитель: Наймушин М. П.
подпись
дата
ЕКАТЕРИНБУРГ
2001год
содержание
введение 1
1. исходные данные и задание на проектирование 2
2. Расчёт основных конструктивных элементов антенны и линии передачи 3
2.1. расчёт размера рефлекторов, фокусных расстояний, угловых размеров. 3
2.2. расчёт размеров облучателя. 6
2.3. выбор типа линии передачи и расчёт её параметров. 9
3. электрические характеристики антенны. 13
3.1. диаграмма направленности облучателя. 13
3.2. поле в раскрыве рефлекторов. 15
3.3 диаграмма направленности и коэффициент усиления всей антенны. 16
4. конструкция антенны. 17
заключение. 18
библиографический список. 19
приложение 1. (Д.Н. облучателя). 20
приложение 2. (Распределение поля в раскрыве). 21
приложение 3. (Д.Н. всей антенны). 22
приложение 4. (Конструкция облучателя). 23
приложение 5. (Общий вид антенны). 24
приложение 6. (Профили сечения зеркал). 25
введениеЗеркальные антенны являются наиболее распространёнными остронаправленными антеннами. Их широкое применение в самых разнообразных радиосистемах объясняется простотой конструкции, возможностью получения разнообразных видов Д.Н., высоким КПД, малой шумовой температурой, хорошими диапазонными свойствами и т.д. В радиолокационных применениях зеркальные антенны позволяют легко получить равносигнальную зону, допускают одновременное формирование нескольких Д.Н. общим зеркалом (в том числе суммарных и разностных). Некоторые типы зеркальных антенн могут обеспечивать достаточно быстрое качание луча в значительном угловом секторе. Зеркальные антенны являются наиболее распространённым типом антенн в космической связи и радиоастрономии, и именно с помощью зеркальных антенн удаётся создавать гигантские антенные сооружения с эффективной поверхностью раскрыва, измеряемой тысячами квадратных метров.
Двухзеркальня антенна по схеме Кассегрена представляет собой систему состоящую из двух отражающих поверхностей тАУ софокусных параболоида и гиперболоида тАУ и облучателя, установленного во втором фокусе гиперболоида. Все расстояния по ломанной линии от фокуса до раскрыва одинаковы, что обеспечивает синфазность поля в раскрыве. Двухзеркальная антенна является более компактной, чем однозеркальная, и обеспечивает более равномерное распределение возбуждения по раскрыву, а также является более помехозащищённой, даёт возможность укоротить тракт СВЧ, и разместить основную часть конструкции облучателя за зеркалом, что особенно удобно в моноимпульсных радиолокаторах. При оптимизации размеров облучателя и малого зеркала удаётся получить КИП (0,60÷0,65). Недостаток системы тАУ затенение раскрыва малым её зеркалом, а также обратная реакция малого зеркала на облучатель.
Принцип работы двухзеркальной антенны по схеме Кассегрена состоит в том, что электромагнитное поле от облучателя, отражаясь от второго зеркала (гиперболоида) попадает на поверхность первого зеркала (параболоида), аотражённое о него, наконец, излучается в пространство причём вид излучаемого в простанство поля совпадает с полем излучаемым плоской синфазной поверхностью.
- исходные данные и задание на проектирование
Выбрать и расчитать:
- Параметры облучателя;
- Основные геометрические размеры зеркал;
- Распределение поля в раскрыве;
- Диаграммы направленности в вертикальной и горизонтальной плоскостях;
- Линию передачи;
- Коэффициент усиления и эффективность антенны;
- Профили сечения зеркал.
Вычертить:
- Конструкцию облучателя;
- Общий вид антенны;
- Профили сечения зеркал.
Расчётный вариант №42.
В данном варианте при расчётах необходимо учесть и придерживаться следующих исходных данных:
- Частота F, ГГц. 11
- Ширина диаграммы направленности Δθ по уровню тАУ3дБ (град.) 1,5
- Уровень боковых лепестков δ в дБ. -23
- Мощность передатчика в импульсе PИ, кВт. 80
- Коэффициент усиления тАСтАС
- Тип облучателя: диэлектрическая антенна.
- Расчёт основных конструктивных элементов антенны и линии передачи
Перед началом расчётов основных конструктивных параметров зеркал двух зеркальной антенны по схеме Кассегрена рассмотрим рисунок 2.1., на котором показаны основные параметры зеркал.

Рис. 2.1. Эквивалентный параболоид.
На рисунке 2.1.: e тАУ эксцентриситет гиперболического зеркала; ψ0 тАУ угол раскрыва большого зеркала (или параболоида); φ0 тАУ угол зрения на малое зеркало (или угол раскрыва эквивалентного параболоида); f тАУ фокусное расстояние большого зеркала (или параболоида); fЭ тАУ фокусное расстояние эквивалентного параболоида; ρφ тАС расстояние до второго фокуса гиперболоида; ρψ тАС расстояние до первого фокуса гиперболоида; D тАУ диаметр раскрыва большого зеркала (или параболоида); d тАУ диаметр раскрыва малого зеркала (или гиперболоида).
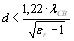
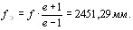
Эксцентриситет гиперболического зеркала определяется соотношением:
(2.1.) И поскольку для нашей антенны выбраны φ0 =15°, а ψ0 0=90°, то значение эксценнтриситета e=1,303.
С учётом того, что нам заданы: ширина диаграммы направленности по уровню (тАУ3дБ), т.е. Δθ тАС3дБ =1,5° и уровень боковых лепестков δ =-23 дБ и с учётом расчётных соотношений для круглого раскрыва, которые предоставлены в [1] (таблица 3.2, с. 26), рассчитаем диаметр большого зеркала D воспользовавшись соотношением:
(2.2.) тАС где λс в длина волны в свободном пространстве.
(2.3.) тАС где С тАУ скорость света 3⋅108 м/с, а F тАУ заданная рабочая частота антенны 11 ГГц.
Таким образом, получаем расчётное значение диаметра раскрыва большого зеркала:
D=1290,023мм.
Используя соотношение, связывающее диаметр раскрыва большого зеркала D, угол раскрыва большого зеркала ψ0 и фокусное расстояние большого зеркала f , описанное в [1] на с. 23, найдём фокусное расстояние большого зеркала по формуле:
(2.4.)
Воспользовавшись соотношениями 3.16 на с. 30 в [1] рассчитаем fЭ по формуле:
(2.5.)
Используя соотношение 3.17 (тот же источник, и та же страница) произведём расчёт по формуле:
(2.6.)
Используя соотношения 3.18 и 3.19 из [1] с 31 найдём ρψ и ρφ по формулам:
36,85мм. (2.7.)
280,042мм. (2.8.)
Профиль сечения зеркал z(x) определяется для большого зеркала из уравнения параболоида вращения в прямоугольной системе координат (x, y, z), имеющего вид:
(2.9.)
а для малого зеркала из уравнения гиперболоида вращения:
(2.10.)
Здесь:
;
; c=a⋅e
Размеры теоретически рассчитанных профилей сечения зеркал незначительно отличается от рассчитанных по программе (смотрите приложение 6), поскольку для обеспечения заданной Δθ пришлось уменьшить теоретически рассчитанное по (2.4) фокусное расстояние f до 290мм., воспользовавшись при этом методическими указаниями из [1] с. 44, в которых говорится о том, что если расчётная ширина главного лепестка или коэффициента усиления антенны отличается от заданных значений на (10 тАС 20)%, то можно произвести коррекцию зеркал, умножая все их линейные размеры на отношение:
Δθ ПОЛУЧЕННОЕ/ Δθ ЗАДАННОЕ
При этом, размеры облучателя и угловые размеры зеркальной системы остаются неизменными и сохраняется функция распределения поля и уровень боковых лепестков.
В нашем случае в качестве облучателя в двухзеркальной антенне по схеме Кассегрена используется диэлектрическая стержневая антенна (вид антенн бегущей волны). Как и все антенны бегущеи волны стержневая диэлектрическая антенна реализует режим осевого излучения и выполняется на осное замедляющей системы, способной поддерживать поверхностные волны. Диэлектрические стержневые антенн применяются на частотах от 2ГГц и выше и представляют собой диэлектрические стержни (иногда трубки ) круглого или прямоугольного поперечного сечения длиной L (смотрите рис. 2.2.) длиной несколько длин волн, возбуждаемые отрезком круглого или прямоугольного металлического волновода. В диэлектрическом стержне используется низшая гибридная замедленная электромагнитная волна HE11 (смотрите рис. 2.3.). Наибольшее распространение получили диэлектрические антенны со стержнем круглого сечения, вставленным в круглый волновод.

Рис. 2.2. Диэлектрические стержневые антенны.
На рисунке 2.2.: а) цилиндрическая; б) коническая; D1=dMAX; D2=dMIN; 1 тАУ цилиндрический стержень (или трубка); 2 тАС конец круглого волновода.
На частотах менее 3 ГГц круглый волновод обычно возбуждается от коаксиального кабеля (при этом диэлектрическая антенна тАУ цилиндрический стержень), а на частотах выше 3 ГГц чаще используется волноводное возбуждение с плавным переходом от прямоугольного волновода к круглому (при этом диэлектрическая антенна тАУ конический стержень).
В нашем случае рабочая частота 11 ГГц, поэтому в качестве облучателя зеркальной антенны будем использовать диэлектрическую стержневую антенну конической формы. Кроме того, диэлектрические стержни формы выбираются конической формы для уменьшения отражения поля от конца диэлектрической антенны и снижения уровня боковых лепестков (в волноводе коническая часть стержня, не учитывающаяся при расчёте длины диэлектрической антенны L и равная 1,5⋅λВ, где ⋅λВ тАС длина волны в волноводе, так же используется для уменьшения отражения поля от конца диэлектрического стержня большего диаметра поперечного сечения). Материал конического диэлектрического стержня выберем фторопласт с относительной диэлектрической проницаемостью εr=2. Расчитаем размеры данного облучателя.
Диэлектрическая антенна, как антенна бегущей волны имеет максимальный коэффициент направленного действия КНД (см. [1] с. 9):
=6,971 (2.11.)
Для эффективного возбуждения стержня его начальный диаметр должен быть в соответствие с соотношением из [1] на с. 10 приблизительно равен:
=15,38 мм. (2.12.)
Фазовая скорость волны в конце стержня должна соответствовать фазовой скорости волны в свободном пространстве и в соответствие с выражением из [1] на с. 10 диаметр конца диэлектрического стержня обращённого во внешнее пространство определяется по формуле:
=9,72 мм. (2.13.)
Поскольку диаметр сечения диэлектрического стержня переменный то необходимые значения L, и d расчитываются исходя из предположения, что ξОПТ определяется средним значением диаметра стержня:
=12,55 мм. (2.14.)
На основе рассчитанного среднего диаметра dСР диэлектрического стержня выберем оптимальный коэффициент замедления фазовой скорости волны в стержне (близкий к 1) из рис. 1.6 в [1] на с. 9 (из рисунка видно, что величина замедления зависит от диаметра и материала стержня) ξОПТ≅0,95, т.е. используя соотношение 1.7 из [1] можем расчитать длину диэлектрического стержня по формуле:
=258,91 мм. (2.15.)
Для того, чтобы в стержне не возбуждались высшие типы волн искажающие диаграмму направленности диэлектрической стержневой антенны, необходимо выполнять соотношение:
(2.16)
У нас это соотношение выполняется т.к. d= 12,55 мм.< 33,25 мм.

Рис. 2.3. Структура поля гибридной волны HE11.
В качестве линии передачи выберем прямоугольный волновод с размерами а и b (а-широкая стенка волновода, b-узкая стенка волновода), который вместе с плавным переходом от волновода прямоугольного сечения к круглому и диэлектрической конической стержневой антенной (облучателем) образует линию питания антенны.
В прямоугольном волноводе могут распостраняться волны электрических (Emn, m,n=l,2,3,..) и магнитных (Нmn , m,n=l,2,3..) типов. Электромагнитная волна типа Emn (Hmn) распостраняется по волноводу, если выполняется условие:
(2.17.) для частоты.
(2.18.) для длины волны
Где:
(2.19.) тАС критическая частота волны типа Emn (Hmn)
![]()
(2.20.) тАС критическая длина волны типа Emn (Hmn)
m, n тАС индексы, показывающие число вариаций (полуволн) компонентов поля соответственно вдоль осей X и Y.
Волну, обладающую в волноводе заданных размеров а и b наименьшей критической частотой, называют основной волной. Все остальные волны называются волнами высших типов. Из формул (2.19.), (2.20.) следует, что при a>b основной волной будет волна Н10.
На рисунке 2.4. изображено распределение поля основной волны Н10 в прямоугольном волноводе.

Рис. 2.4. прямоугольный волновод.
Рис. 2.4. Структура поля основной волны Н10 в прямоугольном волноводе (тАФтАФтАФтАФ линии электрического поля; тАФ тАФ тАФ линии магнитного поля).
Исходя из мощности передатчика в импульсе и частоты генератора линии питания, из таблицы 7.7 [5] с. 186 выберем волновод R-120 со следующими параметрами:
- Номинальные размеры:
а=19,03 мм., b=9,525 мм.;
- Критическая частота волны Н10, fKP= 7,869 ГГц;
- Рабочий диапазон частот 1,25fKPтАж1,9fKP, для волны Н10=9,84..15,0 ГГц;
- Номинальная рабочая частота 1,5fKP =11,8 ГГц;
- Теоретическое затухание меди на 1,5fKP тАС α=0,133 дБ/м;
- Пробивная мощность РПР =0,201 МВт;
- Номинальная толщина стенки S=1,27 мм.;
- Погонная масса трубы m =0,72 кг.
Для основной волны Н10:
мм. (2.21.)
мм.(2.22.)
Следующей по критической частоте в выбранном прямоугольном волноводе будет волна Н20 с (
). (2.23.)
Диапазон частот, при которых в волноводе может распространяться только основная волна Н10, задается неравенством:
(2.24.)
7,877<f<15,754 ГГц.
Следовательно, в выбранном волноводе в одномодовом режиме на заданной частоте 11 ГГц будет распространяется с волна Н10, а другие типы волн на данной частоте в прямоугольном волноводе распространяться не будут.
Возбуждение волны Н11 в круглом волноводе возможно с помощью плавного перехода с постепенной деформацией поперечного сечения от прямоугольного волновода к круглому. Для того, что бы влияние отражения было незначительным, длину такого перехода берут 2⋅λСВ.
Теперь необходимо выбрать круглый волновод для того чтобы питать облучатель.
Рассчитанный ранее конец стержня конической диэлектрической антенны с наибольшим диаметром поперечного сечения
15,38 мм. и будет приблизительно определять диаметр поперечного сечения круглого волновода.
Выбираем круглый волновод из таблицы 7.14 [5] на с. 193 СтАС120 который имеет следующие конструктивные и электрические параметры:
- Критическая частота ГГц колебаний вида:
H11: тАС 10,0;
Е01: тАС 13,1;
H21: тАС 16,7;
H01: тАС 20,9;
- Внутренний диаметр в мм.:
Номинал тАУ 17,475;
Допуск тАУ 0,017;
- Номинальная толщина стенок в мм. тАУ 1,27.
- Частота в ГГц тАУ 12,07;
- Затухание колебаний вида H11 в дБ/м:
Теоретически рассчитанное тАУ 0,1524;
- Затухание колебаний вида H11 в дБ/м максимальное значение отсутствует в таблице.
Структура поля волны H11 в круглом волноводе имеет вид такой же как на рис. 2.5.


Рис. 2.5.Структура поля H11 в круглом волноводе
Рис. 2.5. Структура поля H11 в круглом волноводе:(тАФтАФтАФтАФ линии элек-трического поля; тАФ тАФ тАФ линии магнитного поля.
Электромагнитная волна типа Emn (Hmn) распостраняется по волноводу, если ыполняется условие (2.18.).
Критическая длина волны для волн типа Hmn определяется из соотношения:
(2.25.)
где тАС ηm n тАУ ВлnВ»-ый корень производной функции Бесселя ВлmВ»-го тАУпорядка.
Для волн типа Emn:
(2.26.)
где тАСξmn тАУ ВлnВ»-ый корень функции Бесселя ВлmВ»-го порядка.
Расчитаем критические длины волн для волн, которые могут распостраняться на частоте 11 ГГц в выбранном круглом волноводе.
Для основной волны H11:
29,298 мм.
Для волны E01
22,88 мм.
Для волны H21:
17,95 мм.
Для волны H01:
14,34 мм.
Волны E01, H21, H01, на зданной частоте распосграняться не будут, так как не выполняется условие (2.18).
Примерный вид конструкции спользуемого для согласования плавного перехода от прямоугольного волновода к круглому изображён на рис. 2.6. и в приложении 4.

Рис. 2.6. Конструкция плавного перехода с прямоугольного волновода с сечением 48×24 мм. на круглый диаметром 70 мм.
- электрические характеристики антенны.
Как было определено ранее, в качестве облучателя зеркальной антенны был выбран конический диэлектрический стержень (он изображён на рис. 2.4., причём в центре осей координат расположен фазовый центр диэлектрической антенны и второй фокус гиперболоида (или малого зеркала), а также угол θ = φ0, где φ0 тАУ угол зрения на край малого рефлектора).
рис. 2.4.
Диаграмма направленности диэлектрической антенны изображённой на рис. 2.4. может быть рассчитана по приближённой формуле:
(2.27.)
Где угол θ отсчитывается от оси диэлектрического стержня, а также:
тАС в плоскости
(2.28.)
тАС в плоскости
(2.29.)
Ширину главного лепестка диаграммы направленности по уровню половинной мощности приближённо можно рассчитать по формуле:
= 22,72° (2.30.)
Расчётные формулы взяты из [1] на с. 10
Диаграмма направленности диэлектрической антенны должна получиться такой, чтобы нули главного лепестка приходились на такой угол θ, что нулевое излучение диэлектрической антенны приходилось на края гиперболоида.
Рассчитанная диаграмма направленности изображена в приложении 1.
Наиболее просто направленные свойства параболической антенны рассчитываются так называемым апертурным методом, т.е. по полю в её раскрыве.
При установке в фокусе главного рефлектора облучателя с диаграммой направленности FОБЛ (ψ,α) в раскрыве зеркала наводится синфазное поле с амплитудным распределением и это амплитудное распределение поля можно рассчитать воспользовавшись формулой из [1] на с. 23, которая учитывает, что облучателем параболоида является гиперболоид:
(2.31.)
При этом координаты точек раскрыва xp, yp, fp, αp связаны с углами ψ и α соотношениями, обусловленными геометрией задачи (смотрите рис. 2.5.):
(2.32.)
(2.33.)
(2.34.)
(2.35.)
Рассчитанное по этим формулам амплитудное распределение поля в раскрыве рефлекторов изображено в приложении 2.
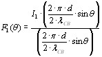
По известному полю в раскрыве рефлекторов рассчитывается F(θ, φ) по формуле:
(3.1.)
Где:
(3.2.);
S тАС поверхность раскрыва;
ST тАУ площадь проекции на раскрыв затеняющих элементов.
Коэффициент усиления антенны с учётом апертурного коэффициента исполизования γа (или КИП), обусловленного амплитудной неравномерностью поля в раскрыве, и коэффициента перехвата мощности облучателя зеркалом γп рассчитывается по формуле:
(3.3.)
Где:
(3.4.)
Общая эффективность антенны γа=γа⋅γп определяется из соотношения:
(3.5.)
Все расчётные соотношения взяты из [1] на с. 23-24.
Рассчитанная диаграмма направленности всей антенны по схеме Кассегрена вместе с параметрами изображена в приложении 3.
- конструкция антенны.
С учетом рисунка 4.1. и 4.2., а также рассчитанных ранее размеров рефлекторов в соответствующем пункте 2 предлагается, конструкция антенны (смотрите приложение 5) позволяющая реализовать данную антенну.

Рис. 4.1. Двухзеркальная параболическая антенна по схеме Кассегрена.

а тАУ схема и ход лучей; б тАУ распределение излучающих токов по радиусу.
заключение.В ходе курсового работы была спроектирована двухзеркальная параболическая антенна по схеме Кассегрена и произведены основные расчеты параметров, характеризующих работу антенны, построены диаграммы направленности всей антенны и облучателя, т.е. стержневой конической диэлектрической антенны.
В процессе проектирования удалось реализовать антенно-фидерное устройство удовлетворяющее исходным данным курсового проекта, а именно обеспечить работу двухзеркальной антенны по схеме Кассегрена на частоте 11 ГГц с шириной ДН Δθ по уровню тАУ3 дБ в 1,5 градуса с уровнем боковых лепестков не более тАУ18,3 дБ, коэффициентом усиления 41 дБ и коэффициентом использования поверхности КИП равным 0,704. Все основные рассчитаные данные имеются на рисунке в приложении 6.
Было выяснено, что:
- Ширина диаграммы направленности синфазного раскрыва обратно пропорциональна размеру раскрыва, выраженного в длинах волн, а также зависит от его формы и распределения поля на нём;
- Чем сильнее спадает поле в раскрыве к его краям, тем при тех же размерах антенны больше ширина главного лепестка и ниже уровень боковых лепестков;
- Затенение раскрыва зеркала облучателем, или другими элементами антенны может значительно повысить уровень боковых лепестков по сравнению с незатенённым раскрывом;
- Фазовый центр облучателя должен совпадать со вторым фокусом гиперболоида и незначительные сдвиги или изменение размеров облучателя сильно влияют на диаграмму направленности и распределение поля в раскрыве главного рефлектора антенны;
- В качестве облучателей параболической антенны по схеме Кассегрена могут использоваться простые слабонаправленные облучатели: рупорные, вибраторные, спиральные, щелевые, полосковые.
- Форма диаграммы направленности облучателя должна соответствовать форме раскрыва главного зеркала. Необходимый спад интенсивности облучения к краям зеркала обусловлен двумя факторами: общей интенсивностью антенны и уровнем боковых лепестков (УБЛ).
Так же в ходе курсового проектирования был лучше изучен и закреплен материал курса СВЧ устройства и антенны и получен ценный практический опыт по расчёту основных параметров двухзеркальной антенны по схеме Кассегрена.
библиографический список.Литература: [1], [2], [3], [4], [5].
- ВлПроектирование антенных систем СВЧ: Методические указания и задания к курсовому проекту для студентов всех форм обучения радиотехнических специальностейВ». Составители: Наймушин М.П., Панченко Б.А., Шабунин С.Н.; Научный редактор проф., д тАУ р. техн. наук Панченко Б.А. Екатеринбург: УГТУ тАУ УПИ, 1993 год 48 с.
- Драбкин А.Л., Зузенко В.Л., Кислов А.Г. ВлАнтенно-фидерные устройстваВ». Изд. Сов. радио, 1974. 536 стр.
- Жук М.С., Молочков Ю.Б. ВлПроектирование антенно-фидерных устройствВ». М.: Энергия, 1996 год 648 с.
- Сазонов Д.М. ВлАнтенны и устройства СВЧ: Учебник для радиотехнических специальных вузовВ». М.: Высш. шк., 1988. тАС 432 с.: ил. ISBN 5тАС06тАС001149тАС6.
- ВлСправочник конструктора РЭА: Компоненты, механизмы, надёжностьВ». Барканов Н.А., Бердычевский Б.Е., Верхопятницкий П.Д. и др.; Под. ред. Варламова Р.Г. тАУ М.: Радио и связь, 1985 тАУ 384 с., ил. Впер.: 2р. 40000 экз.







Вместе с этим смотрят:
Двухосный индикаторный стабилизатор телекамер на ВОГДетектирование амплитудно-модулированных сигналов
Диагностика отказов элементов и устройств автоматического управления
Диаграмма направленности антенны