Мостовой RC-генератор синусоидальных колебаний с мостом Вина
Министерство Высшего образования Украины
Одесский Государственный Политехнический Университет
Кафедра информационно-измерительной техники
Утверждаю
Зав. Каф. Р.Г. Джагупов
" " 1998
Мостовой RC-генератор синусоидальных колебаний с мостом Вина
ПОЯСНИТЕЛЬНАЯ ЗАПИСКА
ИТКР 7.0913.05
Курсовая работа по дисциплине "Электронные устройства для первичных преобразователей"
Выполнил студент 4 курса
группы АИ-941
Дёгтев А.Ю.
Дата выполнения:
Руководитель: Азаркин В.А.
Оценка:
Одесса 1998
СОДЕРЖАНИЕ
1. Введение . . . . . . . . . . . . . . . . . . . . . . . . . . . . . . . . . . . . . . . . . . . . . . . . . . . 4
2. Аннотация . . . . . . . . . . . . . . . . . . . . . . . . . . . . . . . . . . . . . . . . . . . . . . . . . 5
3. Выбор, обоснование и описание работы схемы электрической
принципиальной генератора с мостом Вина. . . . . . . . . . . . . . . . . . . . . . . 6
4. Описание схемы операционного усилителя и его параметры . . . . . 9
5. Выбор элементной базы . . . . . . . . . . . . . . . . . . . . . . . . . . . . . . . . . . . . 19
6. Расчет погрешности прибора. . . . . . . . . . . . . . . . . . . . . . . . . . . . . . . . . 20
6.1 Расчет неинвертирующего ОУ и анализ его
погрешностей . . . . . . . . . . . . . . . . . . . . . . . . . . . . . . . . . . . . . . . . . . 20
7. Графическое приложение . . . . . . . . . . . . . . . . . . . . . . . . . . . . . . . . . 23
ПРИЛОЖЕНИЕ 1 - Спецификация. . . . . . . . . . . . . . . . . . . . . . . . . . . . . 23
ПРИЛОЖЕНИЕ 2 - Схема электрическая принципиальная мостового генератора синусоидальных колебаний с мостом Вина.
8. Заключение. . . . . . . . . . . . . . . . . . . . . . . . . . . . . . . . . . . . . . . . . . . . . . . 24
9. Список использованной литературы. . . . . . . . . . . . . . . . . . . . . . . . . . 25
В В Е Д Е Н И Е
Эти генераторы отличаются от релаксационных тем, что в их состав входят электрические цепи или компоненты, обладающие резонансными свойствами. Благодаря им условие возникновения автоколебаний (ку≥1,
) выполняется только в узкой полосе частот. Компоненты с резонансными свойствами или соответствующие резонансные цепи могут быть установлены в межкаскадных цепях усилителя или в цепях, создающих положительную или отрицательную обратную связь. Причем параметры выбирают так, чтобы условия возникновения выполнялись только в узкой полосе частот Δƒ при всех колебания усилителя и цепи ООС.
В диапазонах низких, звуковых и радиочастот в качестве резонансных цепей и компонентов применяют RC-цепи, LC-контуры, кварцевые резонаторы, электромеханические колебательные системы (например, камертоны и др.)
Избирательные RC-цепи имеют сравнительно пологие фазо- и амплитудно-частотные характеристики петлевого усиления. Поэтому, если коэффициент усиления больше единицы, даже на небольшую величину, условия возникновения автоколебаний выполняются в сравнительно широкой полосе частот Δƒ. При этом форма выходного сигнала существенно отличается от синусоидальной. Поэтому у автогенераторов с резонансными RC-цепями (RC-генераторов) приходится вводить дополнительные цепи автоматического регулирования коэффициента усиления.
В RC-генераторах выходное напряжение практически повторяет форму тока, создаваемого усилителем.
Для RC-генераторов характерны:
- Простота реализации;
- Дешевизна;
- низкие массо-габаритные показатели;
- Диапазон частот автоколебаний от долей герц до нескольких сотен килогерц.
Недостатки:
- Невысокая стабильность частоты;
- Существенные искажения формы автоколебаний (Кг>10.5%)
Аннотация
Разрабатываемый в данной курсовой работе прибор предназначен выполнять функцию генерации синусоидальных колебаний. В генераторе обеспечена автоматическая регулировка уровня усиления колебаний. Применение высокоточного (прецизионного) усилителя обеспечивает высокую точность и хорошую стабильность работы схемы генератора. Большое внимание уделено описанию принципа работы схемы генератора синусоидальных колебания с мостом Вина. Разработка подобных генераторов на современной элементной базе является весьма перспективным направлением в электронике.
The instrument, developed in the given course operation, is intended to execute the function of generation of sine wave oscillations. In the generator the automatic adjustment of a level of amplification of oscillations is supplied. The application precision of the amplifier provides high accuracy and good stability of operation of the circuit of the generator. The large attention is given to the description of a principle of operation of the circuit of the generator of a sine wave oscillation with the bridge Fault. The development of similar generators on modern element base is a rather perspective direction in electronics.
3. Выбор, обоснование и описание работы схемы электрической принципиальной генератора с мостом Вина.
Как известно, частота автоколебаний в таком генераторе определяется формулой ![]()
(1), а затухание в частотно-зависимой ветви обратной связи на частоте ƒ0
. Для улучшения формы кривой выходного напряжения частотно-независимую ветвь ООС в мосте Вина обычно выполняют инерционно-нелинейной. [4]
Нужный характер нелинейности обеспечивается тогда, когда с ростом амплитуды сигнала уменьшается сопротивление R3 или увеличивается сопротивление R4. Поэтому в качестве R3 используется полупроводниковый терморезистор. В качестве инерционно-нелинейного резистора применяют переход сток-исток полевого транзистора, на затвор которого подают выпрямленное и сглаженное выходное напряжение генератора.
В устройстве реализована двухступенчатая цепь ООС. Первая ступень: резистор R3 и полевой транзистор, вторая ступень: резисторы R4, R5.
При
в устройстве возникают автоколебания, частота которых определяется формулой
. Обычно используют в частотно-зависимой ветви моста Вина R1=R2=R, C1=C2=C, а частоту автоколебаний:
, причем автоколебания возникают при условии, что коэффициент усиления усилителя, состоящего из ОУ и резисторов R3, R4, больше чем три, иначе говоря, должно быть выполнено условие 
Установившиеся автоколебания в замкнутой цепи возможны только при условии точного равенства единице единичного коэффициента петлевого усиления на частоте f0. Но, для возникновения автоколебаний нужно, чтобы в начале коэффициент петлевого усиления был более 1. После возникновения автоколебаний их амплитуда стабилизируется в конечном счете на таком уровне, при котором за счет нелинейного элемента в петле коэффициент уменьшается до 1. Если не предпринимать специальных мер, то упомянутая нелинейность проявится в амплитудной характеристике ОУ, в этом случае форма автоколебаний может заметно отличаться от синусоиды.
Нужный характер нелинейности обеспечивается тогда, когда с ростом амплитуды сигнала падает сопротивление R3 или растет сопротивление R4.
При построении генераторов с частотно-зависимыми цепями, обеспечивающими на частоте автоколебаний сдвиг фазы, равный π, удобно использовать потенциально-токовые разновидности избирательных цепей. Такие цепи предназначены для использования совместно с усилителями, имеющими малые входное и выходное сопротивление. [2]
4. Описание схемы операционного усилителя и его параметры.
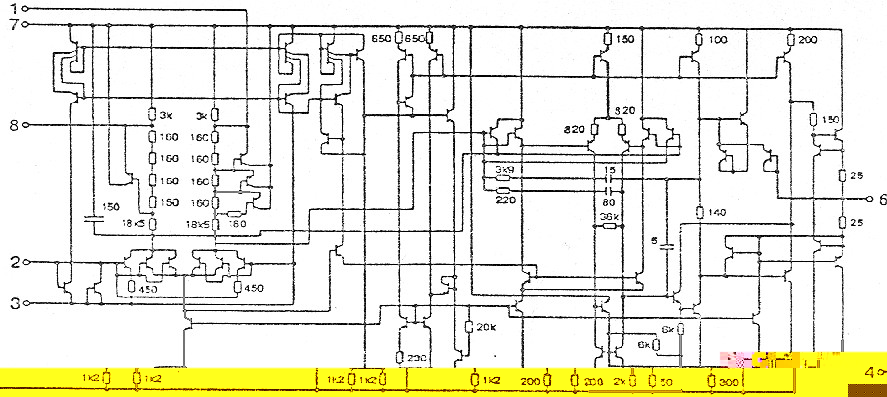
ОУ 140УД26 [3]
К140УД26 - широкополосный прецизионный операционный усилитель со сверхнизким значением входного напряжения шума, высоким коэффициентом усиления напряжения. Внутренняя частотная коррекция отсутствует.

Рис. 1 Принципиальная схема операционного усилителя 140УД26
Таблица 1
Электрические параметры
(при Uп=±15 В, RН=2 кОм, Т=+35°С)
Параметры |
Буквенное обозначение |
Режим измерения |
К140УД26В |
Единицы измерения |
Напряжение смещения |
Uсм |
Uп=±15 В |
±10 |
мкВ |
Входной ток |
Iвх. |
Uп=±15 В |
±100 |
нА |
Разность входных токов |
ΔIвх. |
Uп=±15 В |
75 |
нА |
Ток потребления |
Iпот. |
Uп=±15 В |
5.7 |
мА |
Коэффициент усиления напряжения |
Ку.U. |
Uп=±15 В |
7000 |
тыс. |
Максимальное синфазное входное напряжение |
Uвх.сф.макс. |
T=+25°C |
±110 |
В |
Входное сопротивление для дифф. Сигналов |
Rвх. |
Uп=±15 В |
6 |
МОм |
Выходное сопротивление при разомкнутой цепи ООС |
Rвых. |
Uп=±15 В |
70 |
Ом |
Частота единичного усиления |
ƒ1 |
20 |
МГц |
Амплитудно-частотная и фазочастотная характеристики представлены на рис.2.

Рис.2
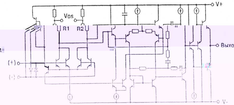
Схема построена по двухкаскадной технологии. Первый каскад совмещает исполнение двух функций. Во-первых, функцию дифференциального усилителя с симметричным входом и выходом по усилению разностного входного сигнала. Для подавления синфазного входного напряжения в эмиттерную цепь дифференциального каскада, построенного на составных биполярных транзисторах, включен БТ. Для сравнения привожу схему электрическую принципиальную зарубежного аналога (ОР-37А) отечественного усилителя К140УД26.
Малошумящий быстродействующий прецизионный операционный усилитель ОР-37А

Рис.3 Схема электрическая принципиальная операционного усилителя ОР-37А
Таблица 2
Электрические параметры (при Vs=15В, ТА=25°С)
Электрические параметры
Параметры |
Численное значение |
Единица измерения |
Напряжение смещения (макс.) |
25 |
мкВ |
Разность входных токов (макс.) |
35 |
нА |
Входной ток (макс.) |
±40 |
нА |
Входное сопротивление для диф-х сигналов |
6 |
МОм |
Диапазон входных напряжений |
±110 |
мкВ |
Коэффициент усиления напряжения |
250 |
тыс. |
Размах входного напряжения |
±10 |
В |
Входное сопротивление при разомкнутой ООС |
70 |
Ом |
Потребляемая мощность (макс.) |
140 |
мВ |
Диапазон регулирования напряжения смещения |
±4 |
мВ |
СТАБИЛИЗИРОВАННЫЙ ИСТОЧНИК ПИТАНИЯ
Стабилизированный источник питания вырабатывают два равных выходных напряжения противоВнположной полярности с малым уровнем пульсаций. ТочВнное равенство положительного и отрицательного выходных напряжений обеспечивается общим источником опорного напряжения и цепью следящей обратной свяВнзи. Два операционных усилителя, входящие в состав стабилизатора, питаются его же выходными напряжеВнниями. Выходной ток стабилизатора ограничен максиВнмально допустимыми токами коллекторов транзисторов VT4, VT5.
Верхняя часть схемы представляет собой обычный последовательный стабилизатор, формирующий выходное напряжение +15 В. Источником опорного напряжения, поданного на неинвертирующий вход операционного усиВнлителя DА2, является стабилитрон, питающийся выходным стабилизированным напряжением. На инвертирующий вход ОУ DА2 через делитель R6тАФ R8 поступает выходное напряжение стабилизатора. Разностный сигнал ошибки на выходе DА2 управляет составным транзистором VT2, VT4 таким образом, чтобы минимизировать величину ошибки.
Резистор R1 обеспечивает начальное смещение регуВнлирующего составного транзистора VT1, VT4, а конденВнсатор С1 предотвращает возникновение паразитной геВннерации. Для обеспечения заданного выходного тока P составного транзистора VT1, VT4 должно быть не менее 400 Вт. Защитный резистор R3 ограничивает выходной ток ОУ в случае короткого замыкания на выходе. Снижение уровня пульсаций выходного напряжения обеспечивается конденсатором С3.
В другой части стабилизатора, вырабатывающей выВнходное напряжениетАФ 15 В, операционный усилитель DА3 работает как инвертирующий усилитель с единичным коэффициентом усиления: резистор R15 является входВнным, а резистор R16 включен в цепь обратной связи. Поскольку на вход такого усилителя поступает стабиВнлизированное напряжение +15 В, то опорное напряжеВнние, формируемое стабилитроном VD6, используется для обеих частей стабилизатора. Благодаря единственному источнику опорного напряжения обеспечивается хорошее слежение за равенством положительного и отрицательВнного выходных напряжений стабилизатора. Назначение остальных схемных элементов то же, что и в стабилиВнзаторе положительного напряжения.
Выходные напряжения стабилизатора устанавливают при помощи потенциометра (резистор R12).
Точность установки выходного напряжения тАФ15 В относительно выходного напряжения +15 В определяетВнся соотношением номиналов сопротивлений резисторов R15, R16 и напряжением смещения операционного усиВнлителя DА3. Для уменьшения разности между абсолютВнными значениями выходных напряжений стабилизатора можно подобрать сопротивления резистора R15 или R16 или же включить между резисторами R15, R16 потенциВнометр, движок которого должен быть соединен с инверВнтирующим входом операционного усилителя DА3. Этим же потенциометром при необходимости можно устаноВнвить нужную асимметрию выходных напряжений. СохВнранение равенства выходных напряжений при изменении температуры окружающей среды достигается установкой резисторов R15, R16 с низким или равным температурными коэффициентами (ТКС), например сопротивления типа ВС.
Для обеспечения нормального теплового режима транзисторов VT4, VT5 при максимальных токах нагрузки их необходимо устанавливать на радиаторы.
Стабилизированный источник питания обеспечивает выходные напряжения от В± 12В до В± 15В при выходном токе до 500 мА с уровнем пульсаций выходного напряВнжения не более 10 мВ.
Блок питания
Маломощный блок питания предназначен для питания от сети портативных транзисторных устройств, измерительных приборов и других маломощных устройств. Трансформатор Т1 имеет коэффициент трансформации равный 1 и служит только как разделительный для создания безопасности пользования блоком питания. Ограничителем сетевого напряжения служит цепочка R1С1. В табл. 3 приведены данные для варианта исполнеВнния блока питания. В первом из них на выходе блока при напряжении 9 В можно питать нагрузку, потребляющую 50 мА; во втором варианте при том же напряжении на выходе можно получить ток до 20 мА. В первом варианте блока сердечник трансформатора стержневой, его набирают из Г-образных пластин. Обмотки - размещают на противоположных стержнях. Если при приеме мощных станций будет прослушиваться фон переменного тока, следует перевернуть вилку XI в сетевой розетке либо заземлить общий плюсовой провод блока.
Основные параметры
Таблица3
Название параметра |
Числовое значение |
Единица измерения |
Ток нагрузки |
70 |
мА |
Напряжение на выходе |
20 |
В |
Коэффициент ослабления |
100 |
- |
Напряжение пульсаций |
5 |
мВ |
Стабилизатор выпрямителя защищен от перегрузок вовремя короткого замыкания на выходе или в нагрузке. Для уменьшения
габаритов трансформатор Т1 выполнен на сердечнике из пластин Ш6 при толщине набора 40 мм. Обмотка/ содержит 3200 витков провода ПЭВ-1 тАФ 0,1 с прокладками из конденсаторной бумаги через каждые 500 витков, обмотка // имеет 150 витков ПЭВ-1 тАФ 0,2. Между обмотками / и // намотан один слой провода ПЭВ-1 тАФ 0,1, служащий экраном. Максимальный ток нагрузки (до 120 мА) можно увелиВнчить, если вместо транзистора МП16 (VT6) установить П213, резисторы R1, R2 и R3 заменить соответственно на резисторы сопротивлением 220 0м, 2,2 кОм
Маломощный блок питания [20] предназначен для питания от сети портативных транзисторных приемников, измерительных приборов и других маломощных устройств. Трансформатор имеет коэффициент трансформации равный ) и служит только как разделительный для создания безопасности пользования блоком питания. Ограничителем сетевого напряжения служит щепочка R1С1. В табл. 4 приведены данные для блока питания. На выходе блока при напряжении 9 В можно питать нагрузку, потребляющую 50 мА; Блок сердечник трансформатора стержневой, его набирают из Г-образных пластин. Обмотки размещают на противоположных стержнях. Если при приеме мощных станций будет прослушиваться фон переменного тока, следует перевернуть вилку X1 в сетевой розетке либо заземлить общий плюсовой провод блока.
Таблица 4
Условное обозначение |
Элемент |
Tl |
Сердечник 6,5 x 10, окно 25х11 MM, Обмотки содержат по 850 витков провода ПЭЛ диаметром 0,22 мм |
C1 |
2,0х300 В |
VT |
Д815Г |
V2 |
Д815Г |
C2 |
400,0х15 В |
R2 |
51 0м 0.5 Вт |
5. Выбор элементной базы
2.1 Для обеспечения заданной частоты квазирезонанса (ƒ=2 кГц) (согласно формулы для частоты квазирезонанса RC-генератора -
R1=R2, C1=C2) выбираем, резистор R1=820 Ом (из ряда Е24) типа МЛТ-0.25. Исходя из формулы (1)
, типа К53-30.
6. Расчет погрешности прибора
6.1 Расчет неинвертирующего ОУ и анализ его погрешностей
Исходные данные
- Кu=70
- Uвх.ном.=±450 mV
- Rвх.=6 МОм
- γприв.=1 %
- Диапазон рабочих температур: Δt=±(20±10°C)
Проанализируем погрешность, для чего примем исходную мультипликативную и аддитивную погрешности равными по величине.
(1)
![]()
1. Проанализируем аддитивную составляющую погрешности проектируемого ОУ:
1.1 Вычислим погрешность от ЭДСсм.:
есм.=10⋅10-6 mV
(2)
Следовательно нет необходимости проводить дополнительную корректировку дрейфа нуля, обусловленную ЭДС смещения.
2. Анализ составляющей погрешности от входных токов.
2.1 Примем погрешность от входных токов равную 0.01%, определим по выражению:
(3)
Из этой формулы определим допустимую величину R2, для чего в формулу (3) подставим значение Δi=75⋅10-9 А и
- коэффициент усиления по неинвертирующему входу:
(4)
2.2 Определим суммарную погрешность от дрейфа нуля (аддитивную погрешность)
(5)
2.3 Определим величину сопротивления
(6)
2. Проанализируем мультипликативную составляющую погрешности
2.1 Вычислим погрешности обусловленные неточностью подгонки резисторов R3, R4. Тогда погрешность от нестабильности сопротивлений резисторов может быть определена:
Пусть ΔR1=5% от R1 и равна 2100 Ом тогда:

Проанализируем вторую составляющую мультипликативной составляющей погрешности от нестабильности коэффициента усиления ОУ, принимая отношение
и в соответствии с формулой:
(*)
Как видно из формулы (*) изменения кu будет вносить тем меньшую погрешность, чем большее усиление по замкнутому контуру βк (петлевое усиление).
![]()
Глубина ООС: 1+βк = 
СПЕЦИФИКАЦИЯ
Поз. обозначение |
Наименование |
Кол |
Примечание |
Конденсаторы |
|||
C1, С2 |
К53-30-0.1 мкФ |
2 |
|
C3 |
К50-30-0.5 мкФ |
1 |
|
C4, С5 |
2.2 мкФ |
2 |
|
C6 |
500 мкФ |
1 |
|
С7, С8 |
22 мкФ |
2 |
|
Операционные усилители |
|||
D1 |
К140УД26 |
||
D2, D3 |
К140УД8А |
2 |
|
Резисторы |
|||
R1 |
МЛТ - 0.25 - 820 Ом |
1 |
|
R2 |
МЛТ - 0.25 - 820 Ом |
1 |
|
R3 |
МЛТ - 0.25 - 42 кОм |
1 |
|
R4 |
МЛТ - 0.25 - 600 Ом |
1 |
|
R5 |
МЛТ - 0.25 - 600 Ом |
1 |
|
R6 |
МЛТ - 0.25 - 1.2 кОм |
1 |
|
R7 |
МЛТ - 0.25 - 1.2 кОм |
1 |
|
R8 |
МЛТ - 0.25 - 3.9 кОм |
1 |
|
R9 |
МЛТ - 0.25 - 3.9 кОм |
1 |
|
R10 |
МЛТ - 0.25 - 1 кОм |
1 |
|
R11 |
МЛТ - 0.25 - 10 кОм |
1 |
|
R12 |
МЛТ - 0.25 - 4.7 кОм |
1 |
|
R13 |
МЛТ - 0.25 - 15 кОм |
1 |
|
R14 |
МЛТ - 0.25 - 4.7 кОм |
1 |
|
R15 |
МЛТ - 0.25 - 10 кОм |
1 |
|
R16 |
МЛТ - 0.25 - 10 кОм |
1 |
|
Трансформатор |
|||
Т1 |
1 |
||
Диоды |
|||
VD1 |
К510А |
1 |
|
VD2-VD5 |
К510А |
4 |
|
VD6 |
Д814А |
1 |
|
Транзисторы |
|||
VT1 |
КП304А |
1 |
|
VT2 |
КТ315Б |
1 |
|
VT3 |
КТ203Б |
1 |
|
VT4 |
П701Б |
1 |
|
VT5 |
П605А |
1 |
Заключение
На основе тщательного анализа литературы по данной теме я разработал генератор синусоидальных колебаний с мостом Вина с использованием современной элементной базы. Данный тип генераторов позволяет получить синусоидальные колебания в относительно узкой полосе частот. Особым достоинством, которое хотелось бы отметить, является простота и дешевизна изготовления таких генераторов, наряду с хорошими техническими и метрогическими характеристиками
Список использованной литературы:
1. Руденко В.С. Основы промышленной электроники, - М., 1985, - 640 с.
2. Гутников В.С. Интегральная электроника в измерительных устройствах, - М., 1988, - 380 с.
3. В.Н. Михальченко Операционные Усилители, - М., 1993, - 240 с.
4. Гутников В.С. Применение Операционных Усилителей в измерительной технике, - М., 1975, - 180 с.
Вместе с этим смотрят:
Направления развития телефонной связиНелинейные электрические цепи
Однозеркальная антенна
Определение линейных и угловых перемещений параметрическими измерительными преобразователями