Международная лицензионная торговля

Министерство транспорта Российской Федерации

Санкт-Петербургский государственный университет водных коммуникаций

Кафедра коммерции и маркетинга

Курсовая работа по дисциплине тАЬМаркетингтАЭ на тему: тАЬМеждународная лицензионная торговлятАЭ

Выполнила:  студентка группы ЭФ-45

Красовская Е.В.

Проверила:  преподаватель Пятакова Н.А.

Санкт-Петербург

1999

Содержание

Вступление        3

Лицензионная торговля        4

Основные понятия и принципы лицензионной торговли        4

Основные понятия        4

Расчет роялти        6

Традиционные методы расчета и выбора ставки роялти        7

При расчете цены лицензии на основе размера прибыли Лицензиата        7

При расчете цены лицензии на базе роялти        8

Расчет роялти по величине рентабельности производства и доли в прибыли лицензиата        9

Примеры расчета роялти        11

Практические выводы        12

Термины и определения, используемые в лицензионных соглашениях        12

Правовые акты, регулирующие лицензионную торговлю        14

Заключение        15

Литература        16

Вступление

МЕЖДУНАРОДНАЯ ТОРГОВЛЯ (world trade, international trade, world commerce) - это система (совокупность) международных товарно-денежных отношений, складывающаяся из внешней торговли всех стран мира.

Важным элементом национальной экспортной стратегии является оптимальное использование различных форм международного экономического сотрудничества для развития экспортного потенциала страны. Для России основной формой сотрудничества являются внешнеторговые операции. В последние годы получили распространение такие формы, как привлечение иностранных инвестиций и создание совместных предприятий, международных объединений и организаций, сотрудничество на компенсационной основе, кредитные соглашения, переработка давальческого сырья, лицензионная торговля, международный лизинг, инжиниринг, прибрежная и приграничная торговля, создание свободных экономических зон, компенсационные перевозки с участием более чем двух стран, иностранный туризм и др.

Мировой практике известно более двадцати основных форм экономического сотрудничества, причем многие формы применяются не в чистом виде, а в сочетании с другими формами. Каждая форма имеет свои организационные и экономические особенности, умелое использование которых в конкретных ситуациях может гарантировать наибольшую отдачу для российской стороны.

Научно-техническая революция и развитие производиВнтельных сил ведут ко все большему углублению междуВннародного разделения труда. В этих условиях торгово-экономические отношения между странами характеризуВнются быстрым расширением научно-технического и техноВнлогического обмена, значение которого намного больше коммерческого эффекта, получаемого от передачи или приВнобретения технологии на тех или иных коммерческих усВнловиях.

Именно посредством технологического обмена можно решить вопросы повышения технологического уровня тех или иных отраслей и народного хозяйства в целом, задачи ускоренного технологического перевооружения экономики, расширения возможностей экспорта и сокращения импорВнта, развития технико-экономических связей между страВннами на основе специализации и кооперации при произВнводстве различных видов продукции.

Если выделить из области торгово-экономических отВнношений обмен сырьевыми и продовольственными товараВнми, которые так или иначе связаны с географическими, климатическими условиями и наличием полезных ископаВнемых, то оставшаяся часть внешнеэкономических связей в сегодняшнем мире явится следствием международного разделения труда, базирующегося на неравномерном разВнвитии различных видов технологии, уровень которой опВнределяет конкурентоспособность товаров на рынке, их каВнчество и себестоимость, а следовательно, и получение прибыли при реализации.

Если же исключить товары широкого потребления, то оставшаяся часть международного экономического обВнмена будет представлять собой обмен технологией либо в тАЬчистом видетАЭ тАФ в виде знаний, опыта и научно-техниВнческой информации, либо тАЬовеществленнойтАЭ в материалах, машинах и оборудовании. Эта часть внешнеэкономических связей представляет собой обширную сферу обмена, коВннечная цель которого, с одной стороны, повышение техниВнческого и технологического уровня производства, с друВнгой тАФ получение прибылей.

Практически же решается основная задача: привлечение передовой технологии с целью повышения конкурентоспособности изготовляемой на ее базе продукции. В условиях нашей страны это позволяет в известной степени заменить импорт отечественными издеВнлиями, удовлетворить потребности внутреннего рынка с последующим выходом на внешний рынок.

Лицензионная торговля

Лицензионная торговля (англ. license trade) - форма международной торговли технологией, включающая сделки с "ноу-хау", патентами и лицензиями на изобретения.

Предметом лицензионной торговли являются лицензии на использование технологического опыта, изобретений, промышленных секретов, товарных знаков и др. т.д.

Ноу-хау (англ. "know-how") - знания и практический опыт технического, коммерческого, управленческого, финансового и иного характера, которые представляют коммерческую ценность, применимы в производстве и профессиональной практике и не обеспечены патентной защитой. Ноу-хау включает в себя техническую документацию (чертежи, проекты, схемы, методики, инструкции и т.д.), образцы изделий, сведения коммерческого характера, данные об организации производства, подготовке персонала и использовании информации в производстве.

Передача на коммерческой основе, обмен, распространение тАЬноу-хаутАЭ осуществляется, прежде всего, путем заключения лицензионных соглашений, предусматривающий не только передачу соответствующей документации, но также и подготовку персонала, участие специалистов в налаживании производства, оказание другой технической помощи импортеру.

Продажу за границу лицензий на использование изобретений, технических знаний, опыта, а также товарных знаков принято называть заграничным лицензированием.

В современных условиях в развитых странах практически все изобретения и новые товары патентуются. Патентные лицензии, т.е. разрешения на передачу прав использования патентов без соответствующего "ноу-хау", играют относительно скромную роль в лицензионной торговле. Это объясняется необходимостью проведения дополнительных НИОКР и расходов на внедрение, оптимизацией технологического процесса, а также риском, что данное изобретение окажется экономически нерентабельным и технологически неприемлемым.

Наибольшее распространение в международной торговле получили лицензионные соглашения, предусматривающие комплексную передачу одного или нескольких патентов и связанного с ними "ноу-хау".

Основные понятия и принципы лицензионной торговли

Основные понятия

Лицензиар (англ. lisenser) - юридическое лицо, собственник изобретения, патента, технологических знаний и пр., выдающий своему контрагенту (лицензиату) лицензию на использование своих прав в определенных пределах.

Лицензиат (англ. lisensee) - юридическое лицо, приобретающее у собственника изобретений, патентов, производственных и коммерческих знаний и пр. (лицензиара) лицензию на право их использования в определенных пределах.

Лицензия - разрешение лицензиара на использование принадлежащих ему прав промышленной собственности (на изобретение, промышленный образец, товарный знак, тАЬноу-хаутАЭ), выдаваемое другому лицу (лицензиату) на определенных условиях. Эти условия (срок, объемы, вознаграждение) составляют содержание заключаемого ими лицензионного соглашения.

По характеру и объему прав на использование технологии, предоставляемой соглашением лицензиату, различают неисключительные (простые), исключительные и полные лицензии. Неисключительная лицензия дает лицензиару право самостоятельного использования лицензии и выдачи аналогичных лицензий любым заинтересованным лицам. Исключительная лицензия предусматривает монопольное право лицензиата использовать изобретение или секрет производства на данной территории, при этом лицензиар отказывается от самостоятельного использования лицензии и ее продажи. Полная лицензия предоставляет лицензиату исключительное право на ее использование в течение всего срока действия лицензионного соглашения.

Лицензионное соглашение - соглашение о передаче прав на использование лицензий, "ноу-хау", товарных знаков и др.

Лицензионное соглашение может предусматривать передачу патентной лицензии; комплексную передачу нескольких патентов и связанного с ними "ноу-хау"; растет также число лицензионных соглашений на использование "ноу-хау" без патентов на изобретение. Лицензионные соглашения последних двух типов предусматривают помимо передачи технических знаний оказание лицензиаром (владельцем патента) сопутствующих инжиниринговых услуг по организации лицензионного производства, а также соответствующие поставки оборудования, исходного сырья, отдельных узлов и т.п.

Лицензионные соглашения различаются в зависимости от того:

  1. разрешают они экспорт лицензионной продукции, полностью исключают его или частично ограничивают;
  2. наличием или отсутствием в них обязательства лицензиара в течение срока действия соглашения предоставлять лицензиату (покупателю лицензии) информацию о новых усовершенствованиях лицензионной техники;
  3. по способу передачи технологии, т.е. лицензия предоставляется независимо или одновременно с заключением контракта на строительство объекта, поставку комплектного оборудования и оказание инжиниринговых услуг (самостоятельные или сопутствующие лицензионные соглашения).

Лицензионный договор - договор, по которому одна сторона (лицензиар) предоставляет право на использование изобретения или иного технического достижения (лицензию), а другая сторона (лицензиат) выплачивает за это определенное вознаграждение.

Объектом лицензионного договора являются технические решения, признаваемые изобретениями по закону страны, гражданином которой является приобретатель лицензии; ими могут быть также иные технические достижения, в т.ч. секреты производства, "ноу-хау" и т.п.

Условия лицензионного договора могут устанавливать:

  1. территорию применения лицензии (часть государства, одно или несколько государств),
  2. форму использования объекта лицензии (производство изделий и (или) их продажа, применение технологии и т.д.),
  3. его объем в количественном отношении,
  4. срок применения (обычно от пяти до десяти лет) и т.д.

В лицензионный договор включаются также условия для передачи приобретателю лицензии технической документации, оказания ему технической помощи путем посылки и приема специалистов, о поставке образцов машин и оборудования, взаимной информации сторон о внесенных в объект технических усовершенствованиях, об участии сторон в защите прав владельца лицензии против нарушения этих прав третьими лицами, о порядке разрешения споров по лицензионному договору и др. В лицензионном договоре устанавливается также размер лицензионного вознаграждения, порядок его определения и выплаты.

Лицензионное вознаграждение - возмещение за предоставление прав на использование лицензий, "ноу-хау" и др., являющихся предметом лицензионного соглашения.

На практике используют несколько видов расчетов за лицензии:

  • периодические процентные отчисления (тАЬроялтитАЭ) от стоимости производимой и продаваемой лицензионной продукции;
  • одноразовые вознаграждения (тАЬпаушальные платежитАЭ) - определенная твердо зафиксированная в соглашениях сумма лицензионного вознаграждения, устанавливаемая исходя из оценок возможного экономического эффекта и ожидаемых прибылей лицензиата на основе использования лицензии.

Паушальный платеж может производиться как единовременное, в разовом порядке, так и в рассрочку. Преимуществом этого вида лицензионного вознаграждения является получение лицензиаром (владельцем лицензии) всей суммы вознаграждения в относительно короткий срок и без какого либо риска.

  • в виде взаимного обмена лицензиями.
  • передача ценных бумаг и технической документации,

Расчет роялти1

В соответствии с законодательством всех промышленно-развитых стран передача технологий и имущественных прав на них в рамках международного обмена требует тАЬразумной компенсациитАЭ или тАЬразумных роялтитАЭ в качестве вознаграждения за использование интеллектуальной собственности.

РОЯЛТИ2 (англ. royalty) - периодические отчисления в виде фиксированных ставок, которые выплачиваются организацией-лицензиатом через согласованные промежутки времени в течение действия лицензионного соглашения.

В международной практике размер роялти определяют эмпирически тАФ путем установленных для различных отраслей промышленности неких усредненных (так называемых стандартных) роялти. В отечественной практике достоверной статистики на этот счет не существует, и поэтому используют зарубежные ставки роялти. В связи с этим возникает, например, проблема обоснования отдельных экономических показателей при расчете цены лицензии применительно к нашим рыночным условиям3

.

Важность и актуальность решения практических проблем ценообразования при реализации научно-технических разработок и коммерциализации интеллектуальной собственности и судебной защите их прав обусловлена неоднозначностью позиций специалистов по вопросам определения обоснованного размера упущенной выгоды или ущерба от нарушения прав интеллектуальной собственности, а также и обоснования тАЬсправедливыхтАЭ размеров лицензионных выплат.

Особенно остро проблемы оценки и ценообразования в настоящее время проявляются в связи с рассмотрением судебных дел по искам о возмещении ущерба от противоправного использования интеллектуальной собственности, при судебном определении величины возмещения на основе так называемого тАЬразумноготАЭ роялти и при определении стоимости предусмотренных законодательством принудительных лицензий.

В соответствии с законодательством всех промышленно-развитых стран передача технологий и имущественных прав на них в рамках международного обмена требует тАЬразумной компенсациитАЭ или тАЬразумных роялтитАЭ в качестве вознаграждения за использование интеллектуальной собственности.

Один из наиболее общих способов, которым оценивается компенсация - это тАЬразумные роялтитАЭ, которые, как определяет суд, должны быть уплачены ответчиком патентовладельцу, как если бы тот первоначально представил добровольную лицензию. При этом специалисты считают, что не существует каких либо определенных формул или точных правил, в соответствии с которыми патентное ведомство или суд могли бы принять справедливое решение о том, какое вознаграждение тАЬразумнотАЭ.

В то же время в действующих законодательных актах РФ отсутствуют обязательные к применению специальные методики оценки и рекомендации по ценообразованию при коммерциализации интеллектуальной собственности и расчету размера ущерба (упущенной выгоды) от противоправного использования интеллектуальной собственности.

При этом проблема оценки интеллектуальной собственности уже возникает на общегосударственном уровне. В частности, Федеральной службой России по валютному и экспортному контролю, Министерством внешнеэкономических связей и торговли РФ и Государственным таможенным комитетом было принято тАЬПоложение об осуществлении на территории РФ контроля и учета внешнеторговых бартерных сделок, предусматривающих выполнение работ, предоставление услуг и результатов интеллектуальной собственности, выраженных в материально-вещественной форметАЭ (№ 07-26/3226, 10-83/2007, 01-23/10035, 28 мая 1997 г.), в соответствии с которым предусматривается необходимость оценки и учета результатов интеллектуальной деятельности (интеллектуальной собственности). Однако, надо признать, что, до настоящего времени, отсутствуют какие-либо официальные методические разъяснения, как именно следует оценивать интеллектуальную собственность и или как рассчитывать тАЬразумныетАЭ и тАЬсправедливыетАЭ роялти.

Традиционные методы расчета и выбора ставки роялти

В международной практике лицензионной торговли под ценой лицензии обычно понимают сумму выплат покупателя лицензии (тАЬЛицензиататАЭ) в пользу продавца лицензии (тАЬЛицензиаратАЭ). Наиболее широко в международной лицензионной торговле используются два основных метода расчета цены лицензии.

  1. на основе размера прибыли Лицензиата;
  2. на базе роялти.

При расчете цены лицензии на основе размера прибыли Лицензиата

исходят из того, что размер выплат Лицензиару определяется как часть (доля) прибыли, получаемой Лицензиатом от изготовления и реализации продукции по лицензии. При этом доля Лицензиара колеблется в довольно широких пределах от 10 до 50% прибыли Лицензиата и зависит от целого ряда ценообразующих факторов, основными из которых являются объем передаваемых прав, наличие и действительность патентной охраны и размер прибыли.

При этом считается, что если объект лицензии еще не готов к промышленному или коммерческому использованию, а основную ценность представляют передаваемые по лицензионному соглашению патентные права, то тогда доля Лицензиара в прибыли Лицензиата составляет 20%, если объектом является промышленно освоенное изделие или технологический процесс, то, при исключительной лицензии (при передаче всех прав), доля Лицензиара может составлять 35 - 50 %, а при неисключительной лицензии (Лицензиату передается тольк о право на использование с сохранением прав у Лицензиара) 20 - 30 %.

При расчете цены лицензии на базе роялти

расчетную цену лицензии и, соответственно, размер выплат владельцу интеллектуальной собственности (Лицензиару) традиционно определяют как определенный процент отчислений (тАЬРоялтитАЭ) в зависимости от стоимости произведенной и реализованной продукции по лицензии.

В лицензионных соглашениях ставка роялти устанавливается в процентах от стоимости чистых продаж лицензионной продукции, ее себестоимости, валовой прибыли или определяется в расчете на единицу выпускаемой продукции. Как правило, она исчисляется по формуле

( 1 )

где  Ср -ставка роялти, R - годовая сумма роялти; S - годовая стоимость чистых продаж за вычетом косвенных налогов, сборов и пошлин, и составляет 2-10%.

Тогда цена лицензии определяется по формуле:

( 2 )

где Vi тАУ объем выпуска продукции

Zi тАУ цена единицы продукции

Ri тАУ размер роялти

Т тАУ расчетный срок заключаемого соглашения

В практике международной торговли лицензиями размер роялти обычно определяют не расчетным путем, а эмпирически - путем установленных в мировой практике для различных отраслей промышленности усредненных размеров роялти - так называемых тАЬстандартныхтАЭ роялти.

Размер известных из литературных источников тАЬстандартныхтАЭ ставок роялти чаще всего составляет от 0,5 до 14%. Однако в литературе практически отсутствует информация по обоснованию и расчету величины численных значений роялти и предлагается выбирать определенное значение роялти из диапазона тАЬстандартных среднестатистическихтАЭ значений с учетом тАЬценообразующих факторовтАЭ. К примеру, стандартные ставки роялти для электронной промышленности 4 - 10%, электротехнической промышленности 1 - 5%, фармацевтической промышленности 2 - 7%, самолетостроения 6-10%, автомобильной промышленности 1 - 3%, станкостроительной промышленности 4,5 - 7,5%, производств потребительских товаров длительного пользования 5%, производств потребительских товаров с малым сроком использования 0,2 - 1,5%.

В отечественной практике лицензионной торговли, по причине отсутствия достоверных среднестатистических данных, чаще всего размер роялти выбирают из таблиц ставок роялти, взятых из зарубежных источников информации без какого-либо расчетного обоснования, но с рекомендациями необходимости учета ценообразующих факторов, что в большинстве случаев приводит к субъективному, произвольному и недостаточно обоснованному выбору роялти. В частности, в процессе переговоров Лицензиар (продавец лицензии) в большинстве случаев настаивает на максимальном значении величины роялти из опубликованного в литературе диапазона, а Лицензиат (покупатель лицензии) - на минимальном, но при этом и тот и другой не могут расчетным путем подтвердить обоснованность своих притязаний. Значительно более неопределенная ситуация возникает, когда в литературе отсутствуют данные по конкретной отрасли промышленности или по конкретному объекту лицензии.

В связи с этим на практике возникает актуальная проблема поиска подходов к обоснованию и расчету величины ставок роялти для расчета цены лицензии применительно к реальным условиям развивающихся рыночных отношений в области коммерциализации интеллектуальной собственности.

Расчет роялти по величине рентабельности производства и доли в прибыли лицензиата

В соответствии с теорией К. Маркса цена промышленной продукции (товара), производимой и реализуемой по лицензии, может быть определена по формуле:

( 3 )

Ц - общая цена всей произведенной и реализованной Лицензиатом продукции по лицензии, руб.;

С - производственная себестоимость производства и реализации продукции по Лицензии, руб.;

Пр. л-та - прибыль Лицензиата от производства и реализации продукции по лицензии, руб.

Рентабельность промышленного производства и реализации продукции по лицензии можно определить как отношение величины прибыли Лицензиата (Пр.л-та) к себестоимости производства и реализации продукции по лицензии (С) по формуле:

( 4 )

где Рент. - рентабельность производства и реализации Лицензиатом продукции по лицензии; После преобразования формулы ( 4 ) выражение прибыли Лицензиата Пр.л-та можно представить следующей формулой:

( 5 )

В то же время величину прибыли Лицензиара (Пр л-ра) можно также выразить через часть (долю) от общей прибыли Лицензиата (Пр л-та), получаемой им от производства и реализации продукции по лицензии по формуле:

( 6 )

где: Д - доля (часть) прибыли Лицензиара (Пр. л-ра) в общем объеме прибыли Лицензиата (Пр. л-та) от производства и реализации продукции по лицензии, %.

По определению роялти представляет собой отношение величины отчислений в пользу Лицензиара (Пр. л-ра) к величине общей стоимости произведенной и реализованной Лицензиатом продукции по лицензии (цене продукции, Ц), что может быть выражено следующей формулой:

( 7 )

где: Роялти - ставка роялти как отношение отчислений Лицензиару (прибыли Лицензиара) от общего объема произведенной и реализованной продукции по лицензии (цены продукции по лицензии).

Подставляя в формулу ( 7 ) выражение прибыли Лицензиара Пр л-ра из формулы ( 6 ) и выражение цены продукции по лицензии Ц из формулы ( 3 ), получим:

( 8 )

Подставляя в формулу ( 8 ) выражение прибыли Лицензиата (Пр.л-та) из формулы ( 4 ), получим:

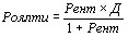
Таким образом, численное значение величины ставки роялти можно рассчитать как отношение произведения рентабельности (Рент.) и доли Лицензиара в общей прибыли Лицензиата (Д) к сумме единицы и значения рентабельности производства и реализации продукции по лицензии (1 + Рент.).

( 9 )

Достоинством данной методики является возможность использования значений рентабельности конкретного предприятия, рассчитываемой или по данным бухгалтерской и финансовой отчетности предприятия (эти данные по Указу Президента РФ не являются объектами коммерческой тайны и могут быть за установленную плату получены в органах Государственной статистики) или по официальным статистическим данным рентабельности отдельных отраслей промышленности в конкретный период времени, которые регулярно печатаются в специализированных изданиях, а также в статистических и аналитических обзорах состояния промышленного производства в периодических источниках информации.

К примеру, в еженедельнике тАЬЭкономика и ЖизньтАЭ4 были опубликованы значения рентабельности отдельных отраслей промышленности г. Москвы, в частности, химико-фармацевтическая - 44%, электроэнергетика - 43%, спиртовая - 43%, кондитерская - 28%, железнодорожное машиностроение 6%, пивоваренная - 25%, хлебопекарная - 22%, нефтеперерабатывающая - 20%.

Доля Лицензиара в прибыли Лицензиата от производства и реализации может быть выбрана в зависимости от объема передаваемых прав, степени готовности объекта лицензии и наличия патентной охраны, которые в конечном итоге должны отражать предпринимательские риски коммерческого успеха при организации промышленного использования интеллектуальной собственности, выпуска и реализации продукции по лицензии.

Анализ функциональной зависимости величины роялти от величины рентабельности производства продукции по лицензии по формуле ( 9 ) объясняет тенденцию снижения значений величин роялти для материалоёмких и ресурсоёмких производств, в которых повышенная величина себестоимости производства и реализации продукции по лицензии (за счет повышенных расходов на материалы и иные ресурсы) приводит к увеличению себестоимости производства продукции и, соответственно, к снижению значения рентабельности для одной и той же массы прибыли.

При этом становится объяснимым также увеличение значений величин роялти для новых наукоемких технологий, поскольку передовые наукоемкие научно-технические разработки способствуют (за счет использования новых материало- и ресурсосберегающих технологий) снижению себестоимости производства продукции, что, соответственно, увеличивает норму рентабельности при одной и той же массе прибыли.

Использование при практических расчетах ставки роялти по полученной выше формуле ( 9 ) объясняет также увеличение значения роялти при повышении доли Лицензиара в прибыли Лицензиата за счет снижения производственных и коммерческих рисков Лицензиата путем увеличения объема передаваемых прав (обеспечения лицензионной монополии), степени промышленного освоения предмета лицензии(снижение производственных рисков освоения новой продукции) и наличия патентной охраны (защищаемой государственными законами патентной монополии), поскольку все эти факторы в конечном итоге способствуют увеличению вероятность достижения Лицензиатом коммерческого успеха и получение дополнительной прибыли.

Примеры расчета роялти

Пример 1. Рассчитаем численное значение величины роялти для лицензионного соглашения по предоставлению неисключительного права на использование НОУ-ХАУ (не имеющей патентной охраны технологии) в области производства и реализации хлебобулочных изделий при известной из периодической печати норме рентабельности хлебопекарных производств в Москве 0,22 или 22%.

С учетом отсутствия охранных документов и реального риска использования конкурентами аналогичного НОУ-ХАУ, например, вследствие нарушения конфиденциальности, разработки собственными силами конкурентов или приобретения конкурентами аналогичных конкурентных технологий, принимаем величину доли Владельца НОУ-ХАУ (Лицензиара) в прибыли пользователя НОУ-ХАУ (Лицензиата) 0,10 или 10 %.

Тогда расчетная величина значения роялти для условий Примера 1. составит:

Пример 2. Рассчитаем численное значение величины роялти для лицензионного соглашения по предоставлению неисключительного (с сохранением права у Лицензиара предоставлять аналогичные лицензии третьим лицам) права на использование запатентованной промышленно освоенной технологии в области производства и реализации железнодорожных машин при известной из периодической печати среднеотраслевой норме производств железнодорожного машиностроения в Москве 0,26 или 26 %.

С учетом наличия охранных документов и возможности получения реальных преимуществ перед конкурентами за счет патентной монополии принимаем величину доли Владельца технологии (Лицензиара) в прибыли Лицензиата в данном случае 0,25 или 25 %.

Тогда расчетная величина значения роялти для условий Примера 2 составит:

Практические выводы

  1. Существует функциональная зависимость для расчета численных значений величины ставки роялти в зависимости от уровня рентабельности производства и реализации продукции по лицензии и обоснованной доли Лицензиара в прибыли Лицензиата.
  2. Полученная закономерность объясняет тенденции снижения ставки роялти для традиционных материалоемких и ресурсоемких технологий и, соответственно, увеличения ставки роялти для новых наукоемких материало- и ресурсосберегающих технологий.
  3. Размер ставок роялти, рассчитанных по предлагаемой зависимости вполне согласуется с используемыми в международной практике величинами значений и может быть логически и численно обоснован. Поэтому полученная функциональная зависимость может быть использована для обоснования и расчета тАЬсправедливыхтАЭ и тАЬразумныхтАЭ роялти при правомерной (законной) коммерциализации интеллектуальной собственности и при судебном разрешении споров в случае расчета понесенных убытков (неполученной прибыли) или расчета тАЬразумныхтАЭ вознаграждений при определении условий принудительных лицензий.

Термины и определения, используемые в лицензионных соглашениях5

Наличие статьи  "определения"  (либо определение терминов) - характерная особенность всех соглашений и договоров.  В ней приводятся определения понятий,  используемых в соглашениях и договорах, во избежании их двоякого толкования сторонами.

Перечень понятий  определяется  по  взаимной  договоренности сторон, однако, основными из них являются:

1) Интеллектуальная   собственность,   понимаемая   согласно  статье 2 Конвенции об учреждении Всемирной организации интеллектуальной собственности (ВОИС),  заключенной в Стокгольме 14 июля  1967г.

(В Конвенции к объектам интеллектуальной собственности относятся:

- литературные, художественных произведения и научные труды;

- исполнительская деятельность артистов, фонограммы и радиопередачи;

- изобретения во всех областях человеческой деятельности;

- научные открытия;

- промышленные образцы;

- товарные знаки, знаки обслуживания и коммерческие наименования и обозначения;

- пресечение недобросовестной конкуренции,

а также иные права,  вытекающие из интеллектуальной деятельности в промышленной,  научной,  литературной или художественной областях);

2) Промышленная собственность, понимаемая согласно Парижской Конвенции

(Промышленная собственность  включает  в себя:  изобретения, полезные модели,  промышленные образцы,  товарные  знаки,  знаки обслуживания, фирменные наименования, указания на источник, наименование места происхождения,  пресечение недобросовестной конкуренции);

3) Информация - записанная информация, относящаяся к предмету соглашения (договора);

4) Деловая конфиденциальная информация - относящаяся к предмету соглашения или договора,  информация организационно-экономического и научно-технического характера, содержащая ноу-хау, которая:

- обладает коммерческой ценностью;

- неизвестна неопределенному кругу лиц;

- недоступна из других источников;

- сохраняется ее владельцем в качестве конфиденциальной;

- не предоставлялась ее владельцем другим сторонам без получения обязательств в отношении сохранения ее конфиденциальности

(К технологическим ноу-хау на практике относят:

- различного рода технические знания и опыт,  не имеющие патентной охраны в Российской Федерации и за ее пределами, включая методы, способы и навыки,  необходимые для проведения проектирования, расчетов,  строительства и изготовления каких-либо объектов или изделий,  научно-исследовательских, опытно-конструкторских, пусконаладочных и т.п. работ;

- разработки и использования технологических процессов;

- составы и рецепты материалов, веществ, сплавов и т.п.

При трактовке  понятия "деловая конфиденциальная информация"  следует руководствоваться положениями ст.  139 и ст.  771  Гражданского Кодекса РФ);

5) Изобретение - любая записанная информация,  которая может быть защищена патентом согласно существующим законам;

6) Патент - любое право (за исключением прав на свидетельства  на  товарный знак и на право пользования наименованием места происхождения товара) промышленной собственности,  включающее  в себя патент и/или патентную заявку на изобретение,  промышленный образец,  на селекционное достижение,  свидетельство на полезную модель;

7) Программное обеспечение - программы для ЭВМ, базы данных и топологий интегральных микросхем,  которые могут быть защищены согласно существующим законам;

8) Результирующая информация - вся информация, относящаяся к предмету соглашения (договора),  создаваемая в  ходе  выполнения соглашения (договора);

) Результирующая деловая конфиденциальная информация -  деловая конфиденциальная информация,  полученная в ходе выполнения соглашения (договора);

10) Результирующие  изобретения - изобретения,  полученные в ходе выполнения соглашения (договора);

11) Результирующие патенты - патенты и патентные заявки, полученные на результирующие изобретения;

12) Результирующее  программное  обеспечение  -  программное  обеспечение, созданное в ходе выполнения соглашения (договора);

13) Собственная  информация (проприетарная информация) тАУ вся информация, созданная до выполнения работ по настоящему соглашению, но используемая для выполнения работ по настоящему соглашению (договору);

14) Собственная деловая конфиденциальная информация (проприетарная деловая конфиденциальная информация) - деловая конфиденциальная информация, созданная до выполнения работ по настоящему соглашению,  но используемая для выполнения работ по  настоящему соглашению (договору);

15) Собственные патенты - патенты и патентные заявки, поданные в Патентное Ведомство до выполнения работ по настоящему соглашению, но используемые для его выполнения;

16) Собственное  программное обеспечение - программное обеспечение, созданное до выполнения работ по настоящему соглашению, но используемое для его выполнения;

17) Промежуточные результаты - результаты работ,  полученные  в  рамках сотрудничества каждой из сторон,  но не являющиеся конечным результатом сотрудничества.

Правовые акты, регулирующие лицензионную торговлю

ПАРИЖСКАЯ КОНВЕНЦИЯ ПО ОХРАНЕ ПРОМЫШЛЕННОЙ СОБСТВЕННОСТИ от 20 марта 1883 года  (пересмотрена в Брюсселе 14 декабря 1900 г., в Вашингтоне 2 июня 1911 г., в Гааге 6 ноября 1925 г., в Лондоне 2 июня 1934 г., в Лиссабоне 31 октября 1958 г. и в Стокгольме 14 июля 1967 г. и изменена 2 октября 1979 г.)

Конвенция об учреждении Всемирной организации интеллектуальной собственности (ВОИС),  Стокгольм 14 июля 1967г.

Заключение

Лицензионная торговля играет все возрастающую роль с зарубежными инвестициями и экспортом наукоемкой продукции. Развитию экспорта технологии на основе лицензионных соглашений способствует и строительство за рубежом комплектных предприятий.

Одной из причин быстрого развития лицензионной торговли является существенное повышение ее доходности. Расширилась практика продажи лицензий на побочные технологические процессы и на отдельные изобретения при сохранении монополии на технологию изготовления готового продукта. В результате бурного роста международной торговли лицензиями и патентами и нелицензионными "ноу-хау" сформировался специфический рынок со своими особенностями и закономерностями. Международная торговля лицензиями и "ноу-хау" стала важной составной частью современной мировой торговли, фактором ускорения международного товарооборота. Экспорт лицензий и "ноу-хау" стимулирует расширение традиционных товарных потоков. Лицензирование технологии воздействует на развитие торговли объектами капитального строительства и инжиниринговыми услугами.

Литература

  1. Золотых Н. тАЬЦенообразование в практике международного обменатАЭ. - тАЬИнтеллектуальная собственностьтАЭ, № 1-2, 1996 г., стр. 8 - 15.
  2. Мухопад В.И. тАЬЛицензионная торговля: маркетинг, ценообразование, управлениетАЭ. - М.; ВНИИПИ, 1997. 285 с.
  3. тАЬСанкт-Петербургское ЭхотАЭ № 36(199), 9 октября 1996
  4. тАЬСанкт-Петербургское ЭхотАЭ № 4(20), 5 мая 1998
  5. Сесекин Б.А. тАЬОпределение расчетной цены лицензиитАЭ. -М: - ВНИИПИ, 1987, - 44 с. тАЬЭкономика и жизньтАЭ № 34(8675), август 1997г.
  6. тАЬЭкономика внешних связей России. Учебник для предприниВнмателя.тАЭ Под редакцией А.С.ВаБулатова, М., 1995.
  7. http://omega.fact400.ru/law/f002.htm
  8. http://" onclick="return false">

1 тАЬСанкт-Петербургское ЭхотАЭ N 36(199), 9 октября 1996

2 http://omega.fact400.ru/law/f002.htm

3 тАЬСанкт-Петербургское ЭхотАЭ N 4(20), 5 мая 1998

4 № 34(8675) авг. 1997г.

5 http://" onclick="return false">

Вместе с этим смотрят:

Международный маркетинг
Менеджмент и маркетинг
Методы сегментирования
Монополистическая конкуренция