Математическое моделирование динамики обмена многокомпонентных смесей разнозарядных ионов
Министерство общего и профессионального образования
Российской Федерации
Пермский государственный технический университет
Химико-технологический факультет
Курсовая работа
по курсу спецглав математики на тему:
Математическое моделирование динамики обмена многокомпонентных смесей разнозарядных ионов.
Выполнил:
студент группы МАГ-V
Нагорный О.В.
Проверила:
д.ф-м.н. Лялькина Г.Б.
Пермь,1999
Введение.
Установление возможности смещения ионообменных равновесий в гетерогенной системе открыло широкие перспективы использования процессов ионного обмена в технике и научных исследованиях. Все больше иониты применяются в процессах умягчения воды, исследовании продуктов ядерного деления, в фармацевтической промышленности и т.д. В то же время не останавливаются исследования в области изучения и синтеза ионитов.
Исследования по синтезу ионитов и по применению не только исторически тесно переплетались между собой, но и стимулировали исследования в области теории ионообменных процессов. Вследствие обилия все новых непрерывно появляющихся фактов теория до сегодняшнего дня в известной степени отстает от практики и не в состоянии предсказать оптимальные условия проведения процесса или быстро и с достаточной точностью рассчитать результат того или иного опыта.
Переход от статического способа ионного обмена к динамическому, т.е. к пропусканию исходного раствора через слой сорбента в одном направлении, дал возможность количественно удалять ионы из исходного раствора, поскольку при этом смещение равновесия вследствие перевода ионов в твердую фазу дополняется полным удалением продуктов реакции током раствора. Именно в динамических условиях производится ионообменное умягчение и обессоливание воды, улавливание ценных отходов из сбросных вод и т.д.
Несмотря на крупные достижения в области динамики ионного обмена, полученные результаты пока еще явно недостаточны для решения многих практических задач. Такой разрыв обусловлен, с одной стороны, сложностью реальных систем (их многокомпонентностью, неравновесностью, иногда не вполне очевидным механизмом кинетики сорбции), с другой стороны простотой постановки лабораторного эксперимента. Но лабораторный эксперимент позволяет лишь изолировано, поочередно устанавливать связи между какими либо двумя свойствами системы, что недостаточно для нахождения истинно оптимальных величин в реальных системах с большим числом параметров. Кроме того, параметры многих крупномасштабных реальных ионообменных процессов не могут быть установлены без надежной комплексной математической модели процесса.
В процессе ионного обмена можно выделить несколько разделенных во времени и пространстве последовательных стадий основными из которых являются следующие:
1. Доставка десорбирующего иона из раствора к поверхности зерна иона, осуществляемая совместно диффузией и конвекцией.
- Доставка десорбирующего иона (как правило, за счет диффузии) от поверхности зерна ионита к некоторой точке в его объеме, в которой происходит обмен.
- Собственно ионообменный процесс (химический процесс).
- Отвод десорбированного иона (как правило за счет диффузии) от места десорбции к поверхности зерна ионита.
- Отвод десорбированного иона от поверхности зерна ионита в объем раствора (диффузия и конвекция).
Стадии 1 и 5 - это стадии массопереноса, стадии 2 и 4 - стадии массопередачи, 3 - химическая стадия.
Совокупное рассмотрение всех стадий ионного обмена трудно осуществимо, поэтому на практике обычно прибегают к упрощениям, используя известный принцип лимитирующей стадии, согласно которому скорость процесса, идущего в несколько последовательных стадий, определяется скоростью наиболее медленной из них. Если одна из стадий значительно медленее других, то ход всего процесса удовлетворительно описывается уравнениями кинетики медленной стадии. Поскльку стадия 3 является ионной реакцией, она обычно протекает весьма быстро. Конвективный же перенос затруднен вязкими силами, возникающими при движении жидкости у границы с твердым телом и существенно замедляющими этот процесс.
Диффузия вещества в жидкости - относительно медленный процесс. Также диффузия медленно идет в твердом теле. По этой причине стадии массопередачи и массопереноса в ионном обмене обычно оказывают определяющее влияние на скорость процесса.
Известны [1] критерии, позволяющие оценить какая из двух указанных выше диффузионных стадий является лимитирующей. Для внутренней диффузии соблюдается следующее неравенство:
![]()
a, c - концентрации иона соответственно в твердой и жидкой фазах;
Da, Dc - коэффициенты диффузии иона соответственно;
в твердой и жидкой фазе
ГBA - коэффициент распределения иона между жидкой и твердой фазами;
r0 -радиус зерна ионита;
δ - толщина диффузионного пограничного слоя;
Для внешней диффузии справедливо другое неравенство:
![]()
Величины, входящие в эти неравенства определяются главным образом определяются эмпирическим путем. Для многих имеющих прикладной характер ионообменных процессов скоростьопределяющей является внешняя диффузия[2].
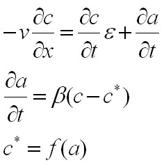
Ограничиваясь рамками внешнедиффузионного механизма можно записать систему уравнений описывающих динамику ионного обмена. Эта система описывает материальный баланс в квазигомогенной системе раствор-ионит, кинетики и статики.

![]()
Эта система должна быть дополнена начальными и граничными условиями:
с(0,t)=c0(t), a(x,0)=a0(x),
где a(x,t) - количество ионов поглощенных в точке x в момент времени t единицей объема аппаратуры, заполненной ионитом,
c(x,t) - концентрация ионов вещества в растворе,
ε - порозность слоя ионита, содержащего сорбируемые ионы через слой ионита (см. рис.1.)

Рис.1. Схема ионообменной колонны.
Аналитическое решение поставленной задачи (1) удается только в одном случае - для однокомпонентной системы (для процесса сорбции ионов из индивидуальных растворов).Это решение было получено Тихоновым, Жуховицким и Забежинским [3]. Но задача существенно усложняется при рассмотрении динамики обмена многокомпонентных систем, для случая, когда число компонентов сорбата больше одного. Примером такого процесса может служить сорбция комплексных анионов, где в исходном растворе присутствует по крайней мере два компонента: основной комплексный анион и анион лиганд. Также необходимо отметить, что кроме сорбции ионов из индивидуальных растворов, на практике часто используют сорбцию смеси разнозарядных ионов.
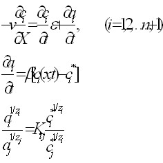
Система дифференциальных уравнений динамики обмена смесей многих разнозарядных ионов для случая внешней диффузии и первоначально чистой колнны имеет вид:
![]()

с дополнительными начальными и граничными условиями:
ci(x,0)=ci(o)(x); ai(x,0)=ai(0)(x)
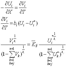
После введения безразмерных параметров, облегчающих решение задачи,

система (2) переходит систему дифференциальных уравнений (3)

![]()
при дополнительных условиях:
Ui(0,T)=Ui(0)(T), Vi(X,0)=Vi(0)(X)
Данная система решается с помощью ЭВМ методом характеристик [4]. Результаты расчета представляются в виде семейства кривых в безразмерных координатах Ui=f(T).
Рис. в - Сенявин М.М., Рубинштейн Р.Н. Основы рачета и оптимизации ионообменных процессов. М.:Наука. 1972.
Рис.2. Безразмерные выходные кривые смеси ионов, характеризуемых:
![]()
Пример для одной системы приведен на рис.2. Следует отметить, что из-за большого числа переменных, в отличие от аналогичного способа решения для однокомпонентных систем, нельзя предварительно теоретически рассчитать все возможные задачи по сорбции смесей, представив их в виде безразмерных графиков. Каждая из задач должна рассчитываться непосредственно на ЭВМ.
В заключении необходимо отметить , что рассмотренная математическая модель не охватывает круг важных задач динамики сорбции, связанных с внутренней и смешанной диффузией, а также задач многокомпонентной динамики при граничном условии
ai(x,0)=fi(x) (колонна в смешанной форме).
Список использованной литературы
- Кокотов Ю.А., Пасечник В.А. Равновесие и кинетика ионного обмена. Л.:Химия. 1970. 336с.
- Бойчинова Е.С. Цайков И.П. Динамика сорбции галогенид-ионов на гидратированной двуокиси циркония//Неорганические ионообменные материалы. Л.:1980. В.2. С.157-164.
- Тихонов А.Н., Жуховицкий А.А., Забежинский Я.Л. Поглощение газа из потока воздуха слоем зернистого материала.//Журнал физической химии.1946. T.20.№10.C.1113-1121.
- Сенявин М.М., Рубинштейн Р.Н. Основы рачета и оптимизации ионообменных процессов. М.:Наука. 1972.
- Камке Э. Справочник по обыкновенным дифференциальным уравнениям. М.:Наука, 1965.
- Камке Э. Справочник по дифференциальным уравнениям в частных производных первого порядка. М.:Наука. 1966. 260с.
Вместе с этим смотрят:
Математическое моделирование и оптимизация в химической технологииМатематическое моделирование окружающей среды
Математическое моделирование полета лыжника
Математическое моделирование системных элементов