Методы и приемы решения задач
1. Дополнительное построение
Продли медиану
Характеристика метода. Довольно часто, когда в условии задачи фигурирует медиана треугольника, бывает полезным продлить ее за точку, лежащую на стороне треугольника, на отрезок, равный самой медиане. Полученная новая точка соединяется с вершиной (вершинами) исходного треугольника, в результате чего образуются равные треугольники. Равенство соответствующих элементов этих треугольников помогает найти неизвестную величину или доказать предложенное утверждение.
Задача. Докажите, что треугольник является равнобедренным, если совпадают проведенные из одной и той же вершины медиана и биссектриса.
Решение. Рассмотрим треугольник ABC (рис. 1). Пусть отрезок BM тАУ его медиана и биссектриса. Продлим BM на отрезок MD = BM. Образовались равные треугольники AMB и MCD (1-й признак равенства треугольников).
Из равенства этих треугольников имеем:
(1) AB = CD и (2) ∠ 1 = ∠ 3.
Используя равенство (2) и то, что ∠ 1 = ∠ 2 (по условию), получим, что треугольник BCD равнобедренный, а, следовательно, BC = CD. Используя полученный вывод и равенство (1) доказываем, что AB = BC, откуда следует истинность утверждения задачи.
2. Принцип непрерывности
Характеристика метода. Пусть величина k (угол, длина, площадь) зависит от положения точки X на отрезке (ломаной или другой линии). Если при одном положении X на отрезке k < 0, а при другом положении X на отрезке k > 0, то найдется такое положение X на этом отрезке, при котором k = 0.
Задача. В равностороннем треугольнике ABC проведена медиана AA1. Есть ли такая точка X на AA1, из которой отрезок BC виден под прямым углом.
Решение. Будем искать такое положение точки X, при котором ∠ BXC = 90В°. Начнем мысленно перемещать точку X по отрезку AA1 от A к A1. Обозначим величину угла BXC за φ. Когда точка X находится достаточно близко от точки A (рис. 2), тогда яБк мало отличается от 60В°, а поэтому φ< 90В°. Когда точка X находится достаточно близко от (рис. 3), тогда φ.
мало отличается от 180В°, а поэтому φ> 90В°. Значит при каком-то положении точки X на AA1 φ.
= 90В°.
3. Метод доказательства Влот противногоВ»
Характеристика метода. Имеем для доказательства утверждения вида A ⇒B (A тАУ условие, B тАУ заключение). Суть доказательства данным методом состоит в следующем:
1) Предполагаем, что заключение B не выполняется.2) Путем логических рассуждений приходим к тому, что условие A не выполняется, т. е. получаем противоречие с условием.3) Дальнейший анализ показывает, что причина полученного противоречия кроется в первоначальном предположении.4) Делаем вывод, что это предположение неверно и, следовательно, заключение B выполняется (что и требовалось доказать).
Задача. Какое наибольшее число острых углов может быть в выпуклом многоугольнике?
Решение. Легко показать, что три острых угла в многоугольнике может быть (например, в треугольнике). Все попытки построить какой-нибудь выпуклый n-угольник с четырьмя острыми углами оказываются тщетными. Возникает гипотеза: максимальное количество острых углов выпуклого многоугольника тАУ три. Докажем ее.
1) Пусть найдется выпуклый многоугольник с большим числом углов, например, с четырьмя.2) В этом случае сумма четырех острых углов будет меньше, чем 90В°тАв4 или 180В°тАв2. Сумма же остальных n тАУ 4 углов будет меньше, чем 180В°тАв(n тАУ 4). Тогда сумма всех углов n-угольника меньше, чем 180В°тАв2 + 180В°тАв(n тАУ 4) = 180В°тАв(n тАУ 2), а это невозможно для выпуклого n-угольника (сумма его углов равна 180В°тАв(n тАУ 2)).3) Полученное противоречие кроется в исходном предположении.4) Наше предположение относительно существования четырех (а как показывает анализ рассуждений и большего количества) острых углов неверно. Следовательно, максимальное количество острых углов выпуклого n-угольника тАУ три.
Доказательство выдвинутой гипотезы завершает решение задачи.
4. Метод доказательства Влот противногоВ» тАУ 2
Характеристика метода. Имеем для доказательства утверждения вида
A ⇒ B (*)
(A тАУ условие, B тАУ заключение). Идея доказательства опирается на равносильность теоремы (*) и теоремы противоположной для обратной к данной, т. е. теоремы
B ⇒яАа ДА (**)
Суть доказательства данным методом состоит в следующем:
1) Составляем теорему вида (**).2) Доказываем составленную теорему.3) Основываясь на описанной выше равносильности делаем вывод, что теорема (утверждение) (*) верна.
Задача. Какое наибольшее число острых углов может быть в выпуклом многоугольнике?
Решение. Легко показать, что три острых угла в многоугольнике может быть (например, в треугольнике). Все попытки построить какой-нибудь выпуклый n-угольник с четырьмя острыми углами оказываются тщетными. Возникает гипотеза: максимальное количество острых углов выпуклого многоугольника тАУ три. Докажем ее.
1) Составим теорему, противоположную для обратной к данной: если в многоугольнике максимальное число острых углов больше трех, то он не выпуклый.2) Доказательство: если в многоугольнике острых углов больше трех, то количество тупых углов, смежных к ним (и взятых по одному при вершине) будет так же больше трех. В этом случае сумма всех смежных углов, взятых по одному при вершине, для данного многоугольника будет больше 360В°. Известно, что у выпуклого многоугольника данная сумма равна 360В°, поэтому данный многоугольник тАУ не выпуклый.3) Доказав утверждение, сформулированное в пункте 1), мы тем самым доказали и нашу гипотезу.
5. Метод доказательства через контрпример
Характеристика метода. Данный метод применяется в ситуации, когда надо показать ложность утверждения вида
A ⇒ B. (*)
В этом случае создается (строится) объект (фигура, формула), который обладает свойствами, входящими в условие A, но не обладает свойствами, присутствующими в заключении B. Существование такого объекта показывает ложность утверждения (*).
Конечно, редко встречаются задачи, где явно требуется доказать ложность некоторого утверждения, но иногда, например после выдвижения гипотезы, легче попытаться опровергнуть ее через контрпример, а потом, в случае неудачи, начать доказывать, чем сразу приступать к доказательству.
Задача. Справедливо ли утверждение: если диагонали четырехугольника перпендикулярны, то это ромб?
Решение. Построим контрпример. На рис. 4 изображен четырехугольник, диагонали которого перпендикулярны, но который не является ромбом. Существование такого объекта доказывает ложность исходного утверждения.
6. Метод вспомогательных фигур Bспомогательный треугольник
Характеристика метода. При помощи некоторого дополнительного построения (продление отрезка, геометрическое преобразование и др.) получают треугольник, который дает возможность получить решение задачи. Обычно такой треугольник обладает двумя важными для решения задачи свойствами:
1) его элементы некоторым образом связаны с элементами, фигурирующими в условии задачи; 2) для его элементов легче найти характеристики, позволяющие получить решение, чем для фигур непосредственно заданных условием.
Задача. Доказать, что средние линии треугольника параллельны его сторонам и вдвое меньше их.
Решение. Пусть точки K, L, M тАУ середины сторон AB, BC, CA треугольника ABC соответственно (рис. 5). Продолжим отрезок KL за точку L на отрезок NL = KL и получим вспомогательный треугольник NLC. Тогда D KBL = D NLC (по двум сторонам и углу между ними). Поэтому BK = CN и ∠B = ∠4. Следовательно, AK = CN (так как AK = KB и KB = CN) и AK || CN (так как ∠ B = ∠4). Поскольку AK = CN и AK || CN, то KN = AC и KN || AC. Поэтому ∠3 = ∠A, ∠1 = ∠C и KL = 0,5AC. Значит, углы треугольника KBL равны углам треугольника ABC, а стороны его вдвое меньше сторон треугольника ABC. Это же верно и для треугольников AKM, MCL, KML, так как они равны треугольнику KBL.
P.S. Кроме описанного метода, при решении данной задачи используется известное дополнительное построение тАУ продление отрезка на отрезок, равный самому себе.
7. Метод введения вспомогательного элементаВспомогательный отрезок
Характеристика метода. Длину некоторого отрезка рассматриваемой в задаче фигуры полагают равной, например, x и затем находят искомую величину. При этом в одних случаях вспомогательная величина в процессе решения задачи ВлисчезаетВ» (сокращается), а в других ее нужно определить через данные условия и поставить в полученное для искомой величины выражение.
Задача. Найдите площадь выпуклого четырехугольника, диагонали которого перпендикулярны и равны d1 и d2.
Решение. Заметим, что диагонали разбивают четырехугольник на треугольники. Удобно представить его площадь в виде суммы площадей треугольников ABC и ACD (рис. 6). При этом площадь каждого из указанных треугольников будем вычислять по известной формуле
S=1/2Ah
причем в качестве основания каждого треугольника выберем диагональ d1. В этом случае высоты треугольников будут давать в сумме диагональ d2, а в отдельности будут неизвестны.
Для использования в решении формулы (*) введем вспомогательный отрезок тАУ высоту OD треугольника ACD, длину которого обозначим за x. Тогда длина высоты OB треугольника ABC будет равна (d2 тАУ x). Вычислим теперь площадь четырехугольника ABCD:
S=1/2d1x + 1/2d1(d2-x)=1/2d1d2
В результате получили правило: площадь выпуклого четырехугольника с взаимно перпендикулярными диагоналями равна их полупроизведению.
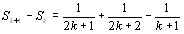
8. Метод площадей
Характеристика метода. Из названия следует, что главным объектом данного метода является площадь. Для ряда фигур, например для треугольника, площадь довольно просто выражается через разнообразные комбинации элементов фигуры (треугольника). Поэтому весьма эффективным оказывается прием, когда сравниваются различные выражения для площади данной фигуры. В этом случае возникает уравнение, содержащее известные и искомые элементы фигуры, разрешая которое мы определяем неизвестное. Здесь и проявляется основная особенность метода площадей тАУ из геометрической задачи он ВлделаетВ» алгебраическую, сводя все к решению уравнения (а иногда системы уравнений).
Само сравнение выражений для площади фигуры может быть различным. Иногда площадь фигуры представляется в виде суммы площадей ее частей. В других случаях приравниваются выражения, основанные на различных формулах площади для одной и той же фигуры, что позволяет получить зависимость между ее элементами.
Суть метода площадей не ограничивается только описанным выше приемом. Иногда бывает полезно рассмотреть отношение площадей фигур, одна из которых (или обе) содержит в себе искомые элементы.
Задача. Найти формулу для площади произвольного треугольника.
Решение. Пуст S тАУ площадь треугольника ABC (рис. 7). Проведем высоту BD и получим прямоугольные треугольники ABD и CBD. Очевидно, что S = SABD + SBCD. Воспользуемся теперь известным правилом нахождения площади прямоугольного треугольника и получим:
Заметим, что данное решение было проведено для остроугольного треугольника. В случае же тупоугольного треугольника результат не изменится, отличие будет лишь в исходном соотношении для площади S = SABD тАУ SBCD.
Таким образом, сформулируем правило: площадь произвольного треугольника равна половине произведения стороны треугольника на высоту, проведенную к этой стороне.
9. Аналитико тАУ синтетический метод.
Анализ тАУ логический приём, метод исследования, состоящий в том, что изучаемый объект мысленно (или практически) разбивается на составные элементы (признаки, свойства, отношения), каждый из которых исследуется в отдельности как часть расчлененного целого.
Синтез тАУ логический прием, с помощью которого отдельные элементы соединяются в единое целое (другими словами обратный анализу).
Не следует отделять эти методы друг от друга, так как они составляют единый аналитико-синтетический метод. Так при решении сложной задачи она с помощью анализа разбивается на ряд более простых задач, а затем при помощи синтеза происходит соединение решений этих задач в единое целое.
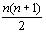
Пример: (использование анализа при решении иррациональных уравнений)
-
=![]()
1) рассмотрим левую часть:
<
т.к. x-3<x+9
2) следовательно
-
<0
3) но
>0
4) приходим к противоречию, а значит
-![]()
![]()
![]()
5) уравнение решения не имеет.
10. Метод сведения к ранее решенным.
Суть метода заключается в том , что бы увидеть в данной задаче ранее решенную и сведению решаемой задачи с помощью последовательных преобразований к ней.
Если, например, нужно решить уравнение то обычно составляют такую конечную последовательность уравнений, эквивалентных данному, последним звеном которого является уравнение с очевидным решением.
Данный метод используется очень широко в тригонометрии (при решении уравнений и неравенств). Так в самом начале изучения данной темы учащимся предлагают заучить основные тригонометрические тождества, затем формулы сложения, приведения, суммы и разности. А в дальнейшем сначала вырабатываются умения и навыки решения простейших тригонометрических уравнений.
Пример: Найдите значение других трех основных тригонометрических функций, если sinО±= - 0.8, Оа<О±<3Оа/2
После этого переходят к более сложным выражениям, но теперь уже формируются навыки по приведению их к простейшим.
Прием "сведения" лежит в основе решения геометрических задач на построение. В каждой задаче этого вида содержится требование: исходя из данных фигур (или данных их элементов), с помощью указанных конструктивных элементов построить фигуру, удовлетворяющую определенным условиям. Это означает, что требуемое построение должно быть сведено к так называемым элементарным построениям, выполняемым реальными инструментами.
Метод сведения находит постоянные применения при решении текстовых задач арифметическими способами. Суть дела здесь состоит в том, что данная задача сводится к простым задачам.
Решение задач на доказательство теорем в своей основе имеет также сведение: доказываемое утверждение сводится к ранее доказанным теоремам и ранее введенным аксиомам и определениям данной научной области. Доказать - это, значит, свести новую теорему (задачу) в конечном счете, к аксиомам.
Вообще решение большинства задач начинается с того, что выясняют можно ли данную задачу свести к более простой рассмотренной ранее.
Однако не стоит увлекаться данным методом, поскольку есть опасность того, что учащиеся и в дальнейшем будут мыслить своего рода Влпо шаблонуВ».
Вообще, рассмотрение практически любой задачи рекомендуют начинать с того, что следует посмотреть, нет ли в ней скрытого в условии более простого для решения случая.
11. Метод математической индукции
Слово индукция по-русски означает наведение, а индуктивными называют выводы, на основе наблюдений, опытов, т.е. полученные путем заключения от частного к общему.
А) Суть метода математической индукции.
Во многих разделах арифметики, алгебры, геометрии приходится доказывать истинность предложений А(n), зависящих от натуральной переменной. Доказательство истинности предложения А(n) для всех значений переменной часто удается провести методом математической индукции, который основан на следующем принципе.
Предложение А(n) считается истинным для всех натуральных значений переменной, если выполнены следующие два условия:
- Предложение А(n) истинно для n=1.
- Из предположения, что А(n) истинно для n = k (где k тАУ любое натуральное число), следует, что оно истинно и для следующего значения n=k+1.
Этот принцип называется принципом математической индукции. Обычно он выбирается в качестве одной из аксиом, определяющих натуральный ряд чисел, и, следовательно, принимается без доказательства.
Под методом математической индукции понимают следующий способ доказательства. Если требуется доказать истинность предложения А(n) для всех натуральных n, то, во-первых, следует проверить истинность высказывания А(1) и, во-вторых, предположив истинность высказывания А(k), попытаться доказать, что высказывание А(k+1) истинно. Если это удается доказать, причем доказательство остается справедливым для каждого натурального значения k, то в соответствии с принципом математической индукции предложение А(n) признается истинным для всех значений n.
С помощью метода математической индукции можно доказывать различные утверждения, касающиеся делимости натуральных чисел.
Пример 1 .
Докажите , что если от квадрата нечетного числа отнять 1 , то получим число , которое делится на 8
Доказательство.
(2n+1)РЖ - 1 : 8 n e N
1.Проверим n=1
(2.1 + 1 )РЖ - 7 : 8
8:8 тАУ истина
2.Предположим , что верно n= k
(2k+1)РЖ-1 :8
3. Докажем , что истинно для n = k +1
(2(k+1)+1)РЖ -1 :8
(2(k+1)+1)РЖ -1 = 4(k+1)(k+2) , k>1 , keN
Т.о. 4(k+1)(k+2) :8
Значит (2n + 1 )РЖ - 1 : 8
Ч.Т.Д.
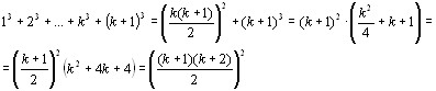
Б) Применение метода математической индукции к суммированию рядов.
Пример 1. Доказать формулу
, n тАУ натуральное число.
Решение.
При n=1 обе части равенства обращаются в единицу и, следовательно, первое условие принципа математической индукции выполнено.
Предположим, что формула верна при n=k, т.е.
.
Прибавим к обеим частям этого равенства
и преобразуем правую часть. Тогда получим

Таким образом, из того, что формула верна при n=k, следует, что она верна и при n=k+1. Это утверждение справедливо при любом натуральном значении k. Итак, второе условие принципа математической индукции тоже выполнено. Формула доказана.
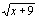
Пример 2. Доказать, что сумма n первых чисел натурального ряда равна
.
Решение.
Обозначим искомую сумму
, т.е.
.
При n=1 гипотеза верна.
Пусть
. Покажем, что
.
В самом деле,
.
Задача решена.
В) Примеры применения метода математической индукции к доказательству неравенств.
Пример 1. Доказать, что при любом натуральном n>1
.
Решение.
Обозначим левую часть неравенства через
.
, следовательно, при n=2 неравенство справедливо.
Пусть
при некотором k. Докажем, что тогда и
. Имеем
,
.
Сравнивая
и
, имеем
, т.е.
.
При любом натуральном k правая часть последнего равенства положительна. Поэтому
. Но
, значит, и
.
Пример 2. Найти ошибку в рассуждении.
Утверждение. При любом натуральном n справедливо неравенство
.
Доказательство.
Пусть неравенство справедливо при n=k, где k тАУ некоторое натуральное число, т.е.
. (1)
Докажем, что тогда неравенство справедливо и при n=k+1, т.е.
.
Действительно,
не меньше 2 при любом натуральном k. Прибавим к левой части неравенства (1)
, а к правой 2. Получим справедливое неравенство
, или
. Утверждение доказано.
Пример 3. Доказать, что
, где
>-1,
, n тАУ натуральное число, большее 1.
Решение.
При n=2 неравенство справедливо, так как
.
Пусть неравенство справедливо при n=k, где k тАУ некоторое натуральное число, т.е.
. (1)
Покажем, что тогда неравенство справедливо и при n=k+1, т.е.
. (2)
Действительно, по условию,
, поэтому справедливо неравенство
, (3)
полученное из неравенства (1) умножением каждой части его на
. Перепишем неравенство (3) так:
. Отбросив в правой части последнего неравенства положительное слагаемое
, получим справедливое неравенство (2).
Пример 4. Доказать, что
(1)
где
,
, n тАУ натуральное число, большее 1.
Решение.
При n=2 неравенство (1) принимает вид
. (2)
Так как
, то справедливо неравенство
. (3)
Прибавив к каждой части неравенства (3) по
, получим неравенство (2).
Этим доказано, что при n=2 неравенство (1) справедливо.
Пусть неравенство (1) справедливо при n=k, где k тАУ некоторое натуральное число, т.е.
. (4)
Докажем, что тогда неравенство (1) должно быть справедливо и при n=k+1, т.е.
(5)
Умножим обе части неравенства (4) на a+b. Так как, по условию,
, то получаем следующее справедливое неравенство:
. (6)
Для того чтобы доказать справедливость неравенства (5), достаточно показать, что
, (7)
или, что то же самое,
. (8)
Неравенство (8) равносильно неравенству
. (9)
Если
, то
, и в левой части неравенства (9) имеем произведение двух положительных чисел. Если
, то
, и в левой части неравенства (9) имеем произведение двух отрицательных чисел. В обоих случаях неравенство (9) справедливо.
Этим доказано, что из справедливости неравенства (1) при n=k следует его справедливость при n=k+1.
Г) Метод математической индукции в применение к другим задачам.
Наиболее естественное применение метода математической индукции в геометрии, близкое к использованию этого метода в теории чисел и в алгебре, - это применение к решению геометрических задач на вычисление. Рассмотрим пример.
Пример . На сколько треугольников n-угольник (не обязательно выпуклый) может быть разбит своими непересекающимися диагоналями?
Решение.
Для треугольника это число равно единице (в треугольнике нельзя провести ни одной диагонали); для четырехугольника это число равно, очевидно, двум.
Предположим, что мы уже знаем, что каждый k-угольник, где k<n, разбивается непересекающимися диагоналями на k-2 треугольника (независимо от способа разбиения). Рассмотрим одно из разбиений n-угольника А1А2тАжАn на треугольники.
Аn
А1 А2
Пусть А1Аk тАУ одна из диагоналей этого разбиения; она делит n-угольник А1А2тАжАn на k-угольник A1A2тАжAk и (n-k+2)-угольник А1АkAk+1тАжAn. В силу сделанного предположения, общее число треугольников разбиения будет равно(k-2)+[(n-k+2)-2]=n-2;
тем самым наше утверждение доказано для всех n.
Вместе с этим смотрят:
Методы спускаМетоды Хука-Дживса
Механические колебания в дифференциальных уравнениях
Милетская школа