Применение двойных интегралов к задачам механики и геометрии
ПРИМЕНЕНИЕ ДВОЙНЫХ ИНТЕГРАЛОВ К ЗАДАЧАМ МЕХАНИКИ И ГЕОМЕТРИИСодержание.
1.Объём цилиндрического тела. Двойной интеграл.
2. Вычисление двойных интегралов.
a) примеры.
3.Приложения двойных интегралов к задачам механики.
а) масса плоской пластинки переменной плотности.
б) статические моменты и центр тяжести пластинки.
в) моменты инерции пластинки.
4.Вычисление площадей и объёмов с помощью двойных интегралов.
а) Объём.
б) Вычисление площади плоской области.
5.Вычисление площади поверхности.
а) Примеры.
1.Объём цилиндрического тела. Двойной интеграл.
Цилиндрическим телом называется тело, ограниченное плоскостью Oxy, поверхностью, с которой любая прямая, параллельная оси Oz, пересекается не более чем в одной точке, и цилиндрической поверхностью, образующая которой параллельна оси Oz.
Область D, высекаемая в плоскости Oxy цилиндрической поверхностью, называется основанием цилиндрического тела (см. рис.1). В частных случаях боковая цилиндрическая поверхность может и отсутствовать; примером тому служит тело, ограниченное плоскостью Oxy и верхней полусферой
.

Рис. 1
Обычно тело можно составить из некоторого числа цилиндрических тел и определить искомый объект как сумму объёмов цилиндрических тел, составляющих это тело.
Прежде всего напомним два принципа, из которых мы исходим при определении объёма тела:
Пусть
есть уравнение поверхности, ограничивающей цилиндрическое тело. Будем считать функцию
непрерывной в области D и сначала предположим, что поверхность целиком лежит над плоскостью Oxy, т.е. что
всюду в области D.

Рис. 2
Обозначим искомый объем цилиндрического тела через V, Разобьем основание цилиндрического тела - область D - на некоторое число n областей произвольной формы; будем называть их частичными областями. Пронумеровав частичные области в каком-нибудь порядке, обозначим их через
а их площади - через
. Через границу каждой частичной области проведем цилиндрическую поверхность с образующей, параллельной оси Oz. Эти цилиндрические поверхности разрежут поверхность на n кусков, соответствующих n частичным областям. Таким образом, цилиндрическое тело окажется разбитым на n частичных цилиндрических тел (см.рис.2). Выберем в каждой частичной области
произвольную точку
и заменим соответствующее частичное цилиндрическое тело прямым цилиндром с тем же основанием и высотой, равной
. В результате получим n-ступенчатое тело, объем которого равен ![]()
Принимая объем V данного цилиндрического тела приближенно равным объему построенного n-ступенчатого тела, будем считать, что V n тем точнее выражает V, чем больше n и чем меньше каждая из частичных областей. Переходя к пределу при мы будем требовать, чтобы не только площадь каждой частичной области стремилась к нулю, но чтобы стремились к нулю все ее размеры. Если назвать диаметром области наибольшее расстояние между точками ее границы (Например, диаметр прямоугольника равен его диагонали, диаметр эллипсатАФего большой оси. Для круга приведенное определение диаметра равносильно обычному.), то высказанное требование будет означать, что каждый из диаметров частичных областей должен стремиться к нулю; при этом сами области будут стягиваться в точку (Если известно только, что площадь области стремится к нулю, то эта область может и не стягиваться в точку. Например, площадь прямоугольника с постоянным основанием и высотой, стремящейся к нулю, стремится к нулю, а прямоугольник стягивается к своему основанию, т. е. к отрезку).
В соответствии со сказанным мы принимаем искомый объем V равным пределу, к которому стремится Vn при стремлении к нулю наибольшего диаметра частичных областей (при этом):
![]()
К отысканию предела подобных сумм для функций двух переменных приводят самые разнообразные задачи, а не только задача об объеме.
Рассмотрим этот вопрос в общем виде. Пусть
- любая функция двух переменных (не обязательно положительная), непрерывная в некоторой области D , ограниченной замкнутой линией. Разобьем область D на частичные, как указано выше, выберем в каждой частичной области по произвольной точке
и составим сумму
(*)
где
- значение функции в точке
; и
, - площадь частичной области.
Сумма (*) называется n -й интегральной суммой для функции
в области D , соответствующей данному разбиению этой области на n частичных областей.
Определение. Двойным интегралом от функции
по области D называется предел, к которому стремится n-я интегральная сумма (*) при стремлении к нулю наибольшего диаметра частичных областей.
Записывается это так:
![]()
Читается: тАЬдвойной интеграл от
на
по области DтАЭ. Выражение
, показывающее вид суммируемых слагаемых, называется подынтегральным выражением; функция
называется подынтегральной функцией,
- элементом площади, область D - областью интегрирования, наконец, переменные x и у называются переменными интегрирования.
Таким образом, можно сказать, что объем цилиндрического тела, ограниченного плоскостью Oxy , поверхностью
и цилиндрической поверхностью с образующей, параллельной оси Oz , выражается двойным интегралом от функции
, взятым по области, являющейся основанием цилиндрического тела:
.
Аналогично теореме существования обыкновенного интеграла имеет место следующая теорема.
Теорема существования двойного интеграла.
Если функция
непрерывна в области D, ограниченной замкнутой линией, то её n-я интегральная сумма стремится к пределу при стремлении к нулю наибольшего диаметра частичных областей. Этот предел, т.е. двойной интеграл
, не зависит от способа разбиения области D на частичные области
и от выбора в них точек P i .
Двойной интеграл, разумеется, представляет собой число, зависящее только от подынтегральной функции и области интегрирования и вовсе не зависящее от обозначений переменных интегрирования, так что, например,
.
Далее мы убедимся а том, что вычисление двойного интеграла может быть произведено посредством двух обыкновенных интегрирований.
2.Вычисление двойных интегралов.
При вычислении двойного интеграла
элемент площади
нам удобно представить в ином виде. Будем разбивать область интегрирования D в плоскости Oxy на частичные области посредством двух систем координатных линий: x=const, y=const. Этими линиями служат прямые, параллельные соответственно оси Oy и оси Ox, а частичными областями - прямоугольники со сторонами, параллельными осям координат. Ясно, что площадь каждой частичной области
будет равна произведению соответствующих
и
. Поэтому элемент площади
мы запишем в виде
т.е. элемент площади в декартовых координатах является произведением дифференциалов независимых переменных. Мы имеем
. (*)
При вычислении двойного интеграла (*) мы будем опираться на тот факт, что он выражает объём V цилиндрического тела с основанием D, ограниченного поверхностью
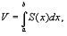
. Напомним, что мы уже занимались задачей об объёме тела, когда рассматривали применения определённого интеграла к задачам геометрии и получили формулу
(**)

Рис.3
где S (х) - площадь поперечного сечения тела плоскостью, перпендикулярной к оси абсцисс, а
и
- уравнения плоскостей, ограничивающих тело. Применим теперь эту формулу к вычислению двойного интеграла
![]()
Предположим сначала, что область интегрирования D удовлетворяет следующему условию: любая прямая, параллельная оси Ox или Oy, пересекает границу области не более чем в двух точках. Соответствующее цилиндрическое тело изображено на рис.3
Область D заключим внутрь прямоугольника
![]()
стороны которого касаются границы области в точках А, В, С, Е. Интервал [а, b] является ортогональной проекцией области D на ось Ох, а интервал [c, d] - ортогональной проекцией области D на ось Oy. На рис.5 область D показана в плоскости Оху.
Точками A и C граница разбивается на две линии: ABC и AEC, каждая из которых пересекается с любой прямой, параллельной оси Oy, в одной точке. Поэтому, их уравнения можно записать в форме, разрешенной относительно y:
(ABC),
(AEC).
Аналогично точками В и Е граница разбивается на линии ВАЕ и ВСЕ, уравнения которых можно записать так:
(BAE),
(BCE).

Рис.5
Рассечем рассматриваемое цилиндрическое тело произвольной плоскостью, параллельной плоскости Oyz , т.е. x=const,
(рис). В сечении мы получим криволинейную трапецию PMNR , площадь которой выражается интегралом от функции
, рассматриваемой как функция одной переменной у, причем у изменяется от ординаты точки P до ординаты точки R. Точка P есть точка входа прямой х =const (в плоскости Оху) в область D , а R - точка ее выхода из этой области. Из уравнений линий АВС и АЕС следует, что ординаты этих точек при взятом х соответственно равны
и
.
Следовательно, интеграл

дает выражение для площади плоского сечения PMNR. Ясно, что величина этого интеграла зависит от выбранного значения х; другими словами, площадь рассматриваемого поперечного сечения является некоторой функцией от х, мы обозначим ее через S (х):

Согласно формуле (**) объем всего тела будет равен интегралу от S(x) в интервале изменения
.( При выводе формулы (**) мы считали, что S(*) есть геометрическая площадь поперечного сечения. Поэтому дальнейшие рассуждения справедливы, строго говоря, лишь для случая
. Основываясь на уточненном геометрическом смысле двойного интеграла, нетрудно доказать, на чем мы не будем останавливаться, что получающаяся формула для вычисления двойного интеграла будет верна для любых функций.
Заменяя в этой формуле S(x) её выражением, окончательно получим

или в более удобной форме
(А)
Пределы внутреннего интеграла переменные; они указывают границы изменения переменной интегрирования у при постоянном значении второго аргумента х. Пределы внешнего интеграла постоянны; они указывают границы, в которых может изменяться аргумент х.
Меняя роли х и у, т. е. рассматривая сечения тела плоскостями y=const
, мы найдем сначала, что площадь Q(у) такого сечения равна
, где у при интегрировании считается величиной постоянной. Интегрируя затем Q(у) в пределах изменения у, т. е. от c до d, мы придем ко второму выражению для двойного интеграла
(Б)
Здесь интегрирование совершается сначала по х, а потом по у.
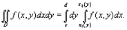
.Формулы (А) и (Б) показывают, что вычисление двойного интеграла сводится к последовательному вычислению двух обыкновенных определенных интегралов; нужно только помнить, что во внутреннем интеграле одна из переменных принимается при интегрировании за постоянную. Для краткости правые части формул (А) и (Б) называют повторными (или двукратными) интегралами, а сам процесс расстановки пределов интегрирования - приведением двойного интеграла к повторному.
Формулы приведения двойного интеграла к повторному приобретают особенно простой вид, когда область D является прямоугольником со сторонами, параллельными осям координат (рис.6). В этом случае становятся постоянными пределы не только внешнего, но и внутреннего интегралов:

В других случаях для сведения двойного интеграла к повторному необходимо прежде всего построить область интегрирования; лучше всего изобразить эту область прямо в плоскости Оху, как это сделано на рис. Затем нужно установить порядок интегрирования, т. е. наметить, по какой переменной будет производиться внутреннее интегрирование, а по какой - внешнее, и расставить пределы интегрирования.
Поясним на примерах, как производится расстановка пределов интегрирования.
а) Примеры.
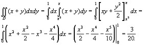
1) Приведем к повторному двойной интеграл
если область D- треугольник,

Рис. 6. Рис. 7.
ограниченный прямыми y=0, y=x и х=а (рис.7). Если интегрировать сначала по у, а потом по х, то внутреннее интегрирование производится от линии у=0 до линии у=х, а внешнее - от точки х=0 до точки х=а. Поэтому

Меняя порядок интегрирования, получим

2) Приведем к повторному интеграл
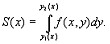
если область D ограничена линиями у=0, у=х 2 и х+у=2.
Область D, а также координаты крайних ее точек показаны на рис. 158. Вид области указывает на то, что удобнее интегрировать сначала по x, а потом по y:

Если изменим порядок интегрирования, то результат уже не удастся записать в виде одного повторного интеграла, так как линия OBA имеет на разных участках разные уравнения.

Рис.8
Разбивая область D на две : OBC и CBA, получим


Этот пример показывает, как важно с самого начала продумать порядок интегрирования.
Формулы (А) и (Б) сведения двойного интеграла к повторному справедливы и для случая областей более общего вида. Так, формула (А) применима к области, указанной на рис.9, а формула (Б) - к области, изображенной на рис.10. В случае области ещё более общего вида (Рис.11) двойной интеграл следует разбить на сумму интегралов по более простым областям, а затем каждый из них сводить отдельно к повторному, пользуясь формулами (А) и (Б).
Рассмотрим теперь несколько примеров, связанных с вычислением двойных интегралов.
Примеры. 1) Найдём двойной интеграл от функции
![]()
по прямоугольной области D ![]()
![]()
Геометрически I выражает объём четырёхугольной призмы

(рис.12), основанием которой служит прямоугольник D, усечённый плоскостью
.
Возьмём повторный интеграл сначала по y, затем по x:

То же самое получим, интегрируя сначала по x, а затем по y:

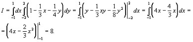
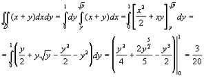
2) Вычислим двойной интеграл
![]()
по области D, ограниченной линиями y=x и y=x 2 . Область D

изображена на рис.13. Интегрируя сначала по y, а потом по x,
получаем

Правильность результата можно проверить, изменив порядок интегрирования :

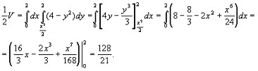
Вычислим объём тела, ограниченного цилиндрическими поверхностями
и плоскостью z=0 (рис.14,а).

Поверхность, ограничивающая тело сверху, имеет уравнение z=4-y 2 . Область интегрирования D получается в результате пересечения параболы
с линией пересечения цилиндра z=4-y 2 и плоскости z=0, т.е. с прямой y=2 (Рис. 14, б). Ввиду симметрии тела относительно плоскости Oyz вычисляем половину искомого объёма :

Следовательно,
куб.ед.
4) Вычислим объём V тела, ограниченного поверхностью
и плоскостью Oxy.
Заданное тело представляет собой сегмент эллиптического

параболоида, расположенный над плоскостью Оху (рис.15). Параболоид пересекается с плоскостью Оху по эллипсу
![]()
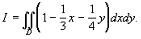
Следовательно, задача состоит в отыскании объема цилиндрического тела, имеющего своим основанием внутренность указанного эллипса и ограниченного параболоидом ![]()
В силу симметрии тела относительно плоскостей Oxz и Oyz можно вычислить объем четвертой его части, заключенной в первом координатном угле. Этот объем равен двойному интегралу, распространенному по области, заданной условиями
т. е. по четверти эллипса. Интегрируя сначала по у, затем по х, получим

Подстановка
даёт

откуда ![]()
3.Приложения двойных интегралов к задачам
механики.
а) Масса плоской пластинки переменной плотности.
Рассмотрим тонкую пластинку, расположенную на плоскости Оху и занимающую область D . Толщину этой пластинки считаем настолько малой, что изменением плотности по толщине ее можно пренебречь.
Поверхностной плотностью такой пластинки в данной точке называется предел отношения массы площадки к ее площади при условии, что площадка стягивается к данной точке.
Определенная таким образом поверхностная плотность будет зависеть только от положения данной точки, т. е. являться функцией ее координат:
![]()

Если бы плотность была постоянной (
), то масса всей пластинки равнялась бы
, где S - площадь пластинки. Найдем теперь массу неоднородной пластинки, считая, что ее плотность является заданной функцией
. Для этого разобьем область, занимаемую пластинкой, на частичные области
с площадями
(рис. 16). Выбирая в каждой частичной области произвольную точку , будем считать, что плотность во всех точках частичной области постоянна и равна плотности
в выбранной точке. Составим приближенное выражение для массы пластинки в виде интегральной суммы
(*)
Для точного выражения массы следует найти предел суммы (*) при условии каждая частичная область стягивается к точке. Тогда
![]()
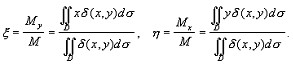
б) Статические моменты и центр тяжести пластинки.
Перейдём теперь к вычислению статических моментов рассматриваемой пластинки относительно осей координат. Для этого сосредоточим в точках массы соответствующих частичных областей и найдем статические моменты полученной системы материальных точек :
![]()
Переходя к пределу при обычных условиях и заменяя интегральные суммы интегралами, получим
![]()
Находим координаты центра тяжести :
![]()

Если пластинка однородна, т.е.
то формулы упрощаются :
где S - площадь пластинки.
Ва
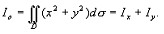
в) Моменты инерции пластинки.
Моментом инерции материальной точки Р с массой m относительно какой-либо оси называется произведение массы на квадрат расстояния точки Р от этой оси.
Метод составления выражений для моментов инерции пластинки относительно осей координат совершенно такой же, какой мы применяли для вычисления статических моментов. Приведем поэтому только окончательные результаты, считая, что
:
![]()
Отметим еще, что интеграл
называется центробежным моментом инерции; он обозначается
.
В механике часто рассматривают полярный момент инерции точки, равный произведению массы точки на квадрат ее расстояния до данной точки - полюса. Полярный момент инерции пластинки относительно начала координат будет равен
![]()
4. Вычисление площадей и объёмов с помощью двойных интегралов.
а) Объём.
Как мы знаем, объем V тела, ограниченного поверхностью
, где
- неотрицательная функция, плоскостью
и цилиндрической поверхностью, направляющей для которой служит граница области D, а образующие параллельны оси Oz, равен двойному интегралу от функции
по области D :
![]()
Пример 1. Вычислить объем тела, ограниченного поверхностями x=0, у=0, х+у+z=1, z =0 (рис. 17).


Рис.17 Рис.18
Решение.
D - заштрихованная на рис. 17 треугольная область в плоскости Оху, ограниченная прямыми x=0, у=0, x+y=1. Расставляя пределы в двойном интеграле, вычислим объем: 
Итак,
куб. единиц.
Замечание 1 . Если тело, объем которого ищется, ограничено сверху поверхностью
а снизутАФповерхностью
, причем проекцией обеих поверхностей на плоскость Оху является область D, то объем V этого тела равен разности объемов двух тАЬцилиндрическихтАЭ тел; первое из этих цилиндрических тел имеет нижним основанием область D , а верхним - поверхность
второе тело имеет нижним основанием также область D , а верхним - поверхность
(рис.18).
Поэтому объём V равен разности двух двойных интегралов :
![]()
или
(1)
Легко, далее, доказать, что формула (1) верна не только в том случае, когда
и
неотрицательны, но и тогда, когда
и
- любые непрерывные функции, удовлетворяющие соотношению
![]()
Замечание 2 . Если в области D функция
меняет знак, то разбиваем область на две части: 1) область D 1 где
2) область D 2 ,где
. Предположим, что области D 1 и D 2 таковы, что двойные интегралы по этим областям существуют. Тогда интеграл по области D 1 будет положителен и будет равен объему тела, лежащего выше плоскости Оху. Интеграл по D 2 будет отрицателен и по абсолютной величине равен объему тела, лежащего ниже плоскости Оху, Следовательно, интеграл по D будет выражать разность соответствующих объемов.
б) Вычисление площади плоской области.
Если мы составим интегральную сумму для функции
по области D, то эта сумма будет равна площади S,
![]()
при любом способе разбиения. Переходя к пределу в правой части равенства, получим
![]()
Если область D правильная , то площадь выразится двукратным интегралом
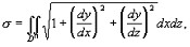
5. Вычисление площади поверхности.
Пусть требуется вычислить площадь поверхности, ограниченной линией Г (рис.20); поверхность задана уравнением
где функция
непрерывна и имеет непрерывные частные производные. Обозначим проекцию линии Г на плоскость Oxy через L. Область на плоскости Oxy, ограниченную линией L, обозначим D.
Разобьём произвольным образом область D на n элементарных площадок
В каждой площадке
возьмём точку
Точке P i будет соответствовать на поверхности точка
Через точку M i проведём касательную плоскость к поверхности. Уравнение её примет вид
(1)
На этой плоскости выделим такую площадку
, которая проектируется на плоскость Оху в виде площадки
. Рассмотрим сумму всех площадок ![]()
Предел
этой суммы, когда наибольший из диаметров площадок
- стремится к нулю, мы будем называть площадью поверхности, т. е. по определению положим
(2)
Займемся теперь вычислением площади поверхности. Обозначим через
угол между касательной плоскостью и плоскостью Оху.

Ва
На основании известной формулы аналитической геометрии можно написать (рис.21)
![]()
или
(3)
Угол
есть в то же время угол между осью Oz и перпендикуляром к плоскости (1). Поэтому на основании уравнения (1) и формулы аналитической геометрии имеем
Следовательно,
![]()
Подставляя это выражение в формулу (2), получим
![]()
Так как предел интегральной суммы, стоящей в правой части последнего равенства, по определению представляет собой двойной интеграл
то окончательно получаем
(4)
Это и есть формула, по которой вычисляется площадь поверхности ![]()
Если уравнение поверхности дано в виде
или в виде
то соответствующие формулы для вычисления поверхности имеют вид
(3 тАЩ )
(3 тАЩтАЩ )
где D тАЩ и D тАЩтАЩ - области на плоскостях Oyz и Oxz, в которые проектируется данная поверхность.
а) Примеры.
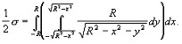
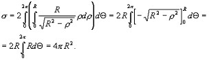
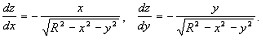
Пример 1. Вычислить поверхность
сферы
![]()
Решение. Вычислим поверхность верхней половины сферы
(рис.22). В этом случае
![]()
Следовательно, подынтегральная функция примет вид

Область интегрирования определяется условием
. Таким образом, на основании формулы (4) будем иметь

Для вычисления полученного двойного интеграла перейдём к полярным координатам. В полярных координатах граница области интегрирования определяется уравнением
Следовательно,

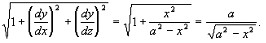
Пример2. Найти площадь той части поверхности цилиндра
которая вырезается цилиндром ![]()
Ва 
Ва
Решение. На рис.23 изображена
часть искомой поверхности. Уравнение поверхности имеет вид
; поэтому
![]()

Область интегрирования представляет собой четверть круга, т.е. определяется условиями ![]()
Следовательно, 
Список использованной литературы.
Краткий курс математического анализа для втузов: Учебное пособие для втузов: - М.: Наука, Главная редакция физико-математической литературы , 1971 г.,736с.
Дифференциальное и интегральное исчисления для втузов, Том 2:
Учебное пособие для втузов.-13-е изд. -М. :Наука, Главная редакция физико-математической литературы, 1985.-560с.
Высшая математика: Учебное пособие для втузов: - М: Наука,
Главная редакция физико-математической литературы.
Вместе с этим смотрят:
Применение квадратурной формулы Чебышева для вычисления определенного интегралаПрименение тройных и кратных интегралов
Применение тройных или кратных интегралов
Природа математических абстракций