Формулы по алгебре
Revision 1.0 (четверг, 21 августа 2003 г.)
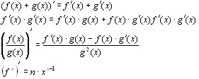
Производная
тАУ асимптота, если 



Уравнение касательной к графику функции в точке ![]()
![]()
Вместе с этим смотрят:
Функции множества переменныхФункция
Функция и ее свойства
Циклические группы
Revision 1.0 (четверг, 21 августа 2003 г.)
Производная
тАУ асимптота, если 



Уравнение касательной к графику функции в точке ![]()
![]()
Вместе с этим смотрят:
Функции множества переменных