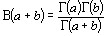
Гамма функции
1. Бэта-функции 6
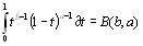
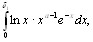
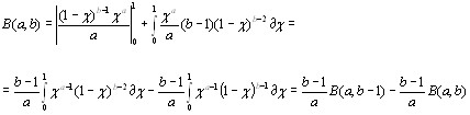
Бэта тАУ функции определяются интегралом Эйлера первого рода:
=![]()
![]()
(1.1)
сходятся при
.Полагая
=1 тАУ t получим:
= -
=
т.e. аргумент
и
входят в
симетрично. Принимая во внимание тождество
![]()
по формуле интегрирования почестям имеем
Откуда
=
(1.2)
7
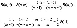
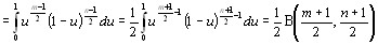
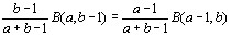
При целом b = n последовательно применяя(1.2)
Получим
(1.3)
при целых
= m,
= n,имеем

но B(1,1) = 1,следовательно:
![]()
![]()
![]()
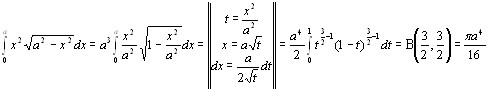
Положим в (1.1)
.Так как график функции
симметрична относительно прямой
,то

8
и в результате подстановки
,получаем

полагая в(1.1)
,откуда
,получим
(1.4)
разделяя интеграл на два в пределах от 0 до 1 и от 1 до
и применение ко второму интегралу подстановки
,получим
=
2. Гамма-функция 9
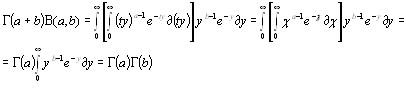
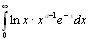
Гамма функцию определяет интеграл Эйлера второго рода
Γ(a) =
(2.1)
сходящийся при
0.Положим
=ty,t > 0 ,имеем
Γ(a) =
и после замены
, через
и t через 1+t ,получим

Умножая это равенство и интегрируя по t и пределах от 0 до
, имеем:

или на основании (1.4) и после изменения в правой части порядка интегрирования ,получаем:

10
откуда
(2.2)
заменяя в (2,1)
,на
и интегрируем по частям

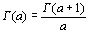
получаем рекурентною формулу
(2.3)
так как

но при целом
имеем
(2.4)
то есть при целых значениях аргумента гамма-функция превращается в факториал.Порядок которого на единицу меньше взятого значения аргумента.При n=1 в (2.4) имеем
![]()
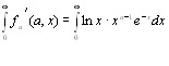
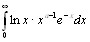
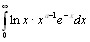
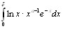
Интеграл
![]()
сходится при каждом
,поскольку
,и интеграл ![]()
при
сходится.
В области
, где
- произвольное положительное число, этот интеграл сходится равномерно, так как
и можна применить признак Веерштраса. Сходящимся при всех значениях
является и весь интеграл
так как и второе слогаемое правой части является интегралом, заведомо сходящимся при любом
.Легко видеть что интеграл сходится по
в любой области
где
произвольно.Действительно для всех указаных значений
и для всех
,и так как
сходится, то выполнены условия признака Веерштрасса. Таким образом , в области
интеграл
cходится равномерно.![]()
Отсюда вытекает непрерывность гамма функции при
.Докажем дифференцируемость этой функции при
.Заметим что функция
непрерывна при
и
, и покажем ,что интеграл :

12
сходится равномерно на каждом сегменте
,
. Выберем число
так , чтобы
; тогда
при
.Поэтому существует число
такое , что
и
на
.Но тогда на
справедливо неравенство
![]()
и так как интеграл
сходится, то интеграл
сходится равномерно относительно
на
. Аналогично для
существует такое число
, что для всех
выполняется неравенство
. При таких
и всех
получим
, откуда в силу признака сравнения следует , что интеграл
сходится равномерно относительно
на
. Наконец , интеграл

в котором подынтегральная функция непрерывна в области
, очевидно, сходится равномерно относительно
на
. Таким образом , на
интеграл

13
сходится равномерно , а, следовательно , гаммма функция бесконечно дифференцируема при любом
и справедливо равенство
![]()
.
Относительно интеграла
можна повторить теже рассуждения и заключить, что

По индукции доказывается , что Г-функция бесконечно дифференцируема при
и для ее я
-ой производной справедливо равенство

Изучим теперь поведение
- функции и построим iскиз ее графика .
Из выражения для второй производной
-функции видно, что
для всех
. Следовательно,
возрастает. Поскольку
, то по теореме Роля на сегменте [1,2]производная
при
и
при
, т. е. Монотонно убывает на
и монотонно возрастает на
. Далее , поскольку
, то
при
. При
из формулы
следует , что
при
.
14
Равенство
, справедливое при
, можно использовать при распространении
- функции на отрицательное значение
.
Положим для
, что
. Правая часть этого равенства определена для
из (-1,0). Получаем, что так продолженная функция
принимает на (-1,0) отрицательные значения и при
, а также при
функция
.
Определив таким образом
на
, мы можем по той же формуле продолжить ее на интервал (-2,-1). На этом интервале продолжением
окажется функция, принимающая положительные значения и такая, что ![]()
![]()
при
и
. Продолжая этот процесс, определим функцию
, имеющею разрывы в целочисленных точках
(см. рис.1)
Отметим еще раз, что интеграл

определяет Г-функцию только при положительных значениях
, продолжение на отрицательные значения
осуществлено нами формально с помощью формулы приведения ![]()
.
15

(рис.1)
4. Вычисление некоторых интегралов. 16
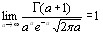
Формула Стирлинга
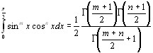
Применим гамма функцию к вычислению интеграла:
где m > -1,n > -1.Полагая , что
,имеем


и на основании (2.2) имеем
(3.1)
В интеграле

Где k > -1,n > 0,достаточно положить ![]()


17
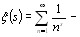
Интеграл

Где s > 0,разложить в ряд



=![]()
где
дзетта функция Римана
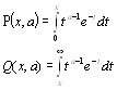
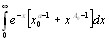
Рассмотрим неполные гамма функции (функции Прима)

связанные неравенством
![]()
![]()
Разлагая,
в ряд имеем

18
![]()
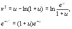
Переходя к выводу формулы Стирлинга , дающей в частности приближенное значение n! при больших значениях n ,рассмотрим предварительно вспомогательную функцию
(3.2)
Непрерывна на интервале (-1,
) монотонно возрастает от
до
при изменении
от
до
и обращаются в 0 при u = 0.Так как
![]()
то
при u > 0 и при u < 0 , далее имеем

И так производная непрерывна и положительна во всем интервале
,удовлетворяет условию
19
![]()
Из предыдущего следует, что существует обратная функция,
определенная на интервале
непрерывная и монотонно возрастающая в этом интервале,
Обращающаяся в 0 при v=0 и удовлетворяющая условие
![]()
(3.3)
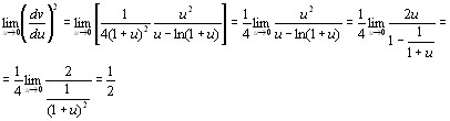
Формулу Стирлинга выведем из равенства

полагая
,имеем
![]()
Положим далее
введенная выше обратная функция, удовлетворяющая условиям u = -1при
,и
при
.Замечая что(см.3.2)

20
имеем
,
полагая на конец ,
,получим
![]()
или
![]()
в пределе при
т.е. при
(см3.3)
![]()
откуда вытекает формула Стирлинга
![]()
которую можно взять в виде
21
(3.4)
где
,при ![]()
для достаточно больших
полагают
(3.5)
вычисление же производится при помощи логарифмов
![]()
если
целое положительное число, то
и (3.5) превращается в приближенную формулу вычисления факториалов при больших значениях n
![]()
приведем без вывода более точную формулу
![]()
где в скобках стоит не сходящийся ряд.
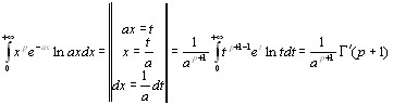
5. Примеры вычисления интегралов 22
Для вычисления необходимы формулы:
![]()
![]()
Г(
)![]()
Вычислить интегралы


![]()

23

Запорiзький державний унiверситет
ДО ЗАХИСТУ ДОПУЩЕНИЙЗав. каф. Математичного аналiзу
д. т. н. проф. ____ С.Ф. Шишканова
_________________________ 2002р.
ПОЯСНЮВАЛЬНА ЗАПИСКА ДО КУРСОВОГО ПРОЕКТУГАМА ФУНКЦРЖРЗ
РозробивСт.гр. 8221-2
Садигов Р.А.Керiвник
Ст. викладач
Кудря В.РЖ.Запорiжжя 2002.
Содержание Задание на курсовую работу ..................2Реферат ..................4
введение ..................5
- Бета функциитАжтАжтАжтАжтАжтАжтАжтАжтАжтАжтАжтАжтАжтАжтАжтАжтАж.......6
- Гамма функции. ..................9
- Производная гамма функции .................11
- Вычисление интегралов формула Стирлинга..............16
- Примеры вычеслений .................22
вывод .................24
Список литературытАжтАжтАжтАжтАжтАжтАжтАжтАжтАжтАжтАжтАжтАжтАжтАжтАж.......25
Реферат
Курсовая работа: 24 ст., 5 источников, 1 рис.Обьект иследований: гамма и ее приложения.
В работе идет речь о представлении бета и гамма функций с помощью интегралов Эйлера соответствено первого и второго рода. И о их применении для вычисления интегралов.
Ключевые слова:
ГАММА И БЕТА ФУНКЦИЯ, ИНТЕГРАЛ ЭЙЛЕРА, ПРОИЗВОДНАЯ, ПРЕДЕЛ.
ВведениеВыделяют особый класс функций, представимых в виде собственого либо несобственого интеграла, который зависит не только от формальной переменной, а и от параметра.
Такие функции называются интегралами зависящими от параметра. К их числу относятся гамма и бета функции Эйлера.
Бета функции представимы интегралом Эйлера первого рода:

гамма функция представляется интегралом Эйлера второго рода:

Гамма функции являются удобным средством для вычисления некоторых интегралов в частности многих из тех интегралов, которые не представимы в элементарных функциях.
Благодаря этому они широко применяются в математике и ее приложениях, в механике, термодинамике и в других отраслях современной науки.
Список литературы 1. Специальные функции и их приложения: Лебедев И.И.,М.,Гостехтериоиздат,19532. Математический анализ часть 2:
Ильин О.А., Садовничий В.А., Сендов Бл.Х.,М.,тАЭМосковский университеттАЭ,1987
3. Сборник задач по математическому анализу:
Демидович Б.П.,М.,Наука,1966
4. Интегралы и ряды специальные функции:
Прудников А.П., Брычков Ю.А.,М.,Наука,1983
5. Специальные функции:
Кузнецов , М.,тАЭВысшая школатАЭ,1965
Вместе с этим смотрят:
Геометрическая прогрессияГеометрия Лобачевского
Графы
Группы преобразований