Запись дифференциальных уравнений
1.ВВЕДЕНИЕ
2.ОСНОВНЫЕ ПОНЯТИЯ
2.1.ЗАПИСЬ ДИФФЕРЕНЦИАЛЬНЫХ УРАВНЕНИЙ
В СТАНДАРТНОЙ И ОПЕРАТОРНОЙ ФОРМЕ
В теории автоматического регулирования в настоящее время принято записывать дифференциальные уравнения в двух формах.
Первая форма записи. Дифференциальные уравнения записываются так, чтобы выходная величина и ее производные находились в левой части уравнения, а входная величина и все остальные члены - в правой части. Кроме того, принято, чтобы, сама выходная величина находилась в уравнении с коэффициентом единица. Такое уравнение имеет вид:
![]()
=
(1)
При такой записи коэффициенты k,k1,..,kn называют коэффициентами передачи, а T1,..,Tn - постоянными времени данного звена.
Коэффициент передачи показывает отношение выходной величины звена к входной в установившемся режиме, т.е. определяет собой наклон линейной статической характеристики звена.
Размерности коэффициентов передачи определяются как
размерность k = размерность y(t) : размерность g(t)
размерность k1 = размерность y(t) : размерность g(t) (?)
Постоянными времени T1,..,Tn имеют размерность времени.
Вторая форма записи. Считая условно оператор дифференцирования p=
алгебраической величиной, произведем замену в уравнении (1):
![]()
=![]()
![]()
=
(2)
2.2. ПЕРЕДАТОЧНАЯ ФУНКЦИЯ ЗВЕНА
Решим уравнение (2) относительно выходной величины y(t):
y(t)=
=
=
=
=W1(s)+W2(s)+..+Wn(s)
Здесь W1(s),W2(s),..,Wn(s) - передаточные функции.
При записи уравнений с изображениями выходной и входной величин по Лапласу передаточные функции сливаются в одну.
2.3. ВРЕМЕННЫЕ ХАРАКТЕРИСТИКИ ЗВЕНА
Динамические свойства звена могут быть определены по его переходной функции и функции веса.
Переходная функция h(t) представляет собой переходный процесс на выходе из звена, возникающий при подаче на его вход единичного ступенчатого воздействия - скачкообразного воздействия со скачком, равной единице.
Функция веса w(t) представляет собой реакцию на единичную импульсную функцию. Она может быть получена дифференцированием по времени переходной функции:
w(t)=![]()
2.4.ЧАСТОТНАЯ ПЕРЕДАТОЧНАЯ ФУНКЦИЯ И ЧАСТОТНЫЕ
ХАРАКТЕРИСТИКИ
Важнейшей характкристикой динамического звена является его частотная передаточная функция. Ее можно получить с помощью передаточной фкнкции, заменив линейный оператор s на комплексный jω.
Так как передаточная функция есть отношение изображения по Лапласу выходной величины к входной, то при переходе от изображения Лапласа к изображению Фурье, мы получим, что частотная передаточная функция является изображением Фурье функции веса, то есть имеет место интегральное преобразование
W(j)=
.
Частотная передаточная функция может быть представлена в следующем виде:
W(jω)=U(ω)+jV(ω)
где U(ω) и V(ω) - вещественная и мнимая части.
W(jω)=A(ω)
,
где A(ω) - модуль частотной передаточной функции, равный отношению амплитуде выходнгой величины к амплитуде входной,φ(ω) - аргументчастотной передаточной функции, равный сдвигу фаз выходной величины по отношению к входной.
Для наглядного представления частотных свойств звена используются так называемые частотные характеристики.
Амплитудная частотная характеристика (АЧХ) показывает, как пропускает звено сигнал различой частоты. Оценка пропускания делается по отношению амплитуд выходной и входной величин. То есть АЧХ - это модуль частотной передаточной функции:
A(ω)=|W(jω)|
АЧХ строят для всео диапазона частот -∞<ω<+∞, т.к. модуль частотной передаточной функции представляет собой четную функцию частоты.
Другой важной характеристикой является фазовая частотная характеристика (ФЧХ), которая находится как аргумент частотной передаточной функции:
φ(ω)=argW(jω)
4. ДИНАМИЧЕСКИЕ ХАРАКТЕРИСТИКИ ЗВЕНЬЕВ
4.1. ПОЗИЦИОННЫЕ ЗВЕНЬЯ
Позиционные звенья - это такие звенья , в которых выходная и входная величины в установившемся режиме связаны линейной зависимостью y(t)=kg(t).Соответственно, переходная функция будет иметь вид W(s)=k
, где N(s), L(s) - многочлены.
4.1.1.ИДЕАЛЬНОЕ УСИЛИТЕЛЬНОЕ ( БЕЗЫНЕРЦИОННОЕ ) ЗВЕНО
1. Данное звено описывается следующим уравнением:
aoy(t)=bog(t) (1)
Коэффициенты имеют следующие значения:
ao=2
bo=4
Запишем это уравнение в стандартной форме. Для этого разделим (1) на ao:
y(t)=
g(t)
y(t)=kg(t) (2),
где k=
-коэффициент передачи.
Запишем исходное уравнение в операторной форме, используя подстановку p=
.Получим:
y(t)=kg(t) (3)
2. Получим передаточную функцию для идеального звена. Воспользуемся преобразованиями Лапласа:
y(t)=Y(s)
g(t)=G(s)
По определению передаточная функция находится как отношение выходного сигнала к входному. Тогда уравнение (2) будет иметь вид:
Y(s)=kG(s)
W(s)=k (4)
3. Найдем выражения для переходной функции и функции веса. По определению аналитическим выражением переходной функции является решение уравнения (2) при нулевых начальных условиях, т.е. g(t)=1. Тогда
h(t)=k1(t) (5)
Функцию веса можно получить дифференцированием переходной функции:
w(t)=
=kδ(t) (6)
4. Построим графики переходной функции и функции веса. Подставляя исходные данные, вычислим коэффициент передачи и временные характеристики:
k=2
h(t)=2⋅1(t)
w(t)=2⋅δ(t)
Переходная функция представляет собой ступенчатую функцию с шагом k=2, а функция веса - импульсную функцию, площадь которой равна k=2.
5. Получим частотную передаточную функцию, заменив в передаточной функции (4) s на jω:
W(s)=k
W(jω)=k (7)
W(jω)=U(ω)+jV(ω)
U(ω)=k
V(ω)=0
6. Получим аналитические выражения для частотных характеристик. По определению амплитудная частотная характеристика (АЧХ) - это модуль частотной передаточной функции, т.е.
A(ω)=|W(jω)|
A(ω)=k (8)
Фазовая частотная характеристика (ФЧХ) - это аргумент частотной передаточной функции, т.е.
φ(ω)=argW(jω)
φ(ω)=0 (9)
Для построения логарифмических частотных характеристик вычислим
L(ω)=20lg A(ω)
L(ω)=20lgk
7. Построим графики частотных характеристик. Для этого сначала получим их численные значения.
k=2
A(ω)=2
φ(ω)=0
L(ω)=20lg2
U(ω)=2
V(ω)=0
Вывод: Примером рассмотренного звена может являться механический редуктор, делитель напряжения, индукционные датчики и т.д. Но беэынерционное звено является некоторой идеализацией реальных звеньев. В действительности ни одно звено не может равномерно пропускать все частоты от нуля до бесконечности. Обычно к такому виду сводится одно из реальных звеньев , рассмотренных ниже , если можно пренебречь влиянием динамических процессов.
4.1.2. УСИЛИТЕЛЬНОЕ ЗВЕНО С ЗАПАЗДЫВАНИЕМ
1. Данное звено описывается следующим уравнением:
aoy(t)=bog(t-τ) (1)
Коэффициенты имеют следующие значения:
ao=2
bo=4
τ=0,1с
Запишем это уравнение в стандартной форме. Для этого разделим (1) на ao:
y(t)=
g(t-τ)
y(t)=kg(t-τ) (2),
где k=
-коэффициент передачи.
Запишем исходное уравнение в операторной форме, используя подстановку p=
.Получим:
y(t)=kg(t-τ) (3)
2. Получим передаточную функцию для идеального звена. Воспользуемся преобразованиями Лапласа:
y(t)=Y(s)
g(t-τ)=G(s)e-τs
По определению передаточная функция находится как отношение выходного сигнала к входному. Тогда уравнение (2) будет иметь вид:
Y(s)=kG(s) e-τs
W(s)= ke-τs (4)
3. Найдем выражения для переходной функции и функции веса. ПО определению аналитическим выражением переходной функции является решение уравнения (2) при нулевых начальных условиях, т.е. g(t)=1.Тогда
h(t)=y(t)=k g(t-τ)=k1(t) (5)
Функцию веса можно получить дифференцированием переходной функции:
w(t)=
=kδ(t-τ) (6)
4. Построим графики переходной функции и функции веса. Подставляя исходные данные, вычислим коэффициент передачи и временные характеристики:
k=2
h(t)=2⋅1(t-τ)
w(t)=2⋅δ(t-τ)
Переходная функция представляет собой ступенчатую функцию с шагом k=2 и запаздыванием на τ=0,1с, а функция веса - импульсную функцию с таким же запаздыванием, площадь которой равна k=2.
5. Получим частотную передаточную функцию, заменив в передаточной функции (4) s на jω:
W(s)=k e-τs
W(jω)=k e-jωτ =k(cosτω-jsinτω) (7)
W(jω)=U(ω)+jV(ω)
U(ω)=k cosτω
V(ω)=-ksinτω
6. Получим аналитические выражения для частотных характеристик. По определению амплитудная частотная характеристика (АЧХ) - это модуль частотной передаточной функции, т.е.
A(ω)=|W(jω)|
A(ω)=k (8)
Фазовая частотная характеристика (ФЧХ) - это аргумент частотной передаточной функции, т.е.
φ(ω)=argW(jω)
φ(ω)= τω (9)
Для построения логарифмических частотных характеристик вычислим
L(ω)=20lg A(ω)
L(ω)=20lgk
7. Построим графики частотных характеристик. Для этого сначала получим их численные значения.
k=2
A(ω)=2
φ(ω)=0,1ω
L(ω)=20lg2
U(ω)=2cos0,1ω
V(ω)=-2sin0,1ω
Вывод:
4.1.3. УСТОЙЧИВОЕ АПЕРИОДИЧЕСКОЕ ЗВЕНО 1-го ПОРЯДКА
1. Данное звено описывается следующим уравнением:
a1
+ aoy(t) =bog(t) (1)
Коэффициенты имеют следующие значения:
a1=1,24
ao=2
bo=4
Запишем это уравнение в стандартной форме. Для этого разделим (1) на ao:
![]()
+y(t)=
g(t)
T1
+y(t)=kg(t) (2),
где k=
-коэффициент передачи,
T1=
-постоянная времени.
Запишем исходное уравнение в операторной форме, используя подстановку p=
.Получим:
(T1 p+1)y(t)=kg(t) (3)
2. Получим передаточную функцию для апериодического звена. Воспользуемся преобразованиями Лапласа:
y(t)=Y(s)
=sY(s)
g(t)=G(s)
По определению передаточная функция находится как отношение выходного сигнала к входному. Тогда уравнение (2) будет иметь вид:
T1 sY(s)+Y(s)=kG(s)
W(s)=
(4)
3. Найдем выражения для переходной функции и функции веса. По определению аналитическим выражением переходной функции является решение уравнения (2) при нулевых начальных условиях, т.е. g(t)=1 или по преобразованиями Лапласа
h(t)=H(s)
H(s)=W(s)
=
=![]()
Переходя к оригиналу, получим
h(t)=k
⋅1(t) (5)
Функцию веса можно получить дифференцированием переходной функции
w(t)=
или из преобразований Лапласа
w(t)=w(s)
w(s)=W(s)⋅1
W(s)=
=
Переходя к оригиналу, получим
w(t)=
e
⋅1(t) (6)
4. Построим графики переходной функции и функции веса. Подставляя исходные данные, вычислим коэффициент передачи, постоянные времени и временные характеристики:
k=2
T1 =0.62
h(t)=2
⋅1(t)
w(t)=3.2e
⋅1(t)
Переходная функция представляет собой экспоненту. Множитель 1(t) указывает ,что экспонента рассматривается только для положительного времени t>0. Функция веса - также экспонента, но со скачком в точке t=0 на величину
.
5. Получим частотную передаточную функцию, заменив в передаточной функции (4) s на jω:
W(s)= ![]()
W(jω)=
(7)
W(jω)=U(ω)+jV(ω)=
=
-j![]()
U(ω)=![]()
V(ω)=![]()
6. Получим аналитические выражения для частотных характеристик. По определению амплитудная частотная характеристика (АЧХ) - это модуль частотной передаточной функции,т.е.
A(ω)=|W(jω)|
A(ω)=
=
(8)
Фазовая частотная характеристика (ФЧХ) - это аргумент частотной передаточной функции, т.е.
φ(ω)=argW(jω)
φ(ω)=arctgk - arctg
φ(ω)=-arctgT1 (9)
Для построения логарифмических частотных характеристик вычислим
L(ω)=20lg A(ω)
L(ω)=20lg
7. Построим графики частотных характеристик. Для этого сначала получим их численные значения.
k=2
T1 =0.62
A(ω)=
φ(ω)=arctg0.62ω
L(ω)=20lg
U(ω)=
V(ω)=
4.1.4. НЕУСТОЙЧИВОЕ АПЕРИОДИЧЕСКОЕ ЗВЕНО
1-го ПОРЯДКА
1. Данное звено описывается следующим уравнением:
a1
- aoy(t) =bog(t) (1)
Коэффициенты имеют следующие значения:
a1=1,24
ao=2
bo=4
Запишем это уравнение в стандартной форме. Для этого разделим (1) на ao:
![]()
-y(t)=
g(t)
T
-y(t)=kg(t) (2),
где k=
-коэффициент передачи,
T=
-постоянная времени.
Запишем исходное уравнение в операторной форме, используя подстановку p=
.Получим:
(T p-1)y(t)=kg(t) (3)
2. Получим передаточную функцию для апериодического звена. Воспользуемся преобразованиями Лапласа:
y(t) = Y(s) ![]()
=sY(s)
g(t)=G(s)
По определению передаточная функция находится как отношение выходного сигнала к входному. Тогда уравнение (2) будет иметь вид:
T sY(s)-Y(s)=kG(s)
W(s)=
(4)
3. Найдем выражения для переходной функции и функции веса. По определению аналитическим выражением переходной функции является решение уравнения (2) при нулевых начальных условиях, т.е. g(t)=1 или по преобразованиями Лапласа
h(t)=H(s)
H(s)=W(s)
=
=![]()
Переходя к оригиналу, получим
h(t)=k
⋅1(t) (5)
Функцию веса можно получить дифференцированием переходной функции
w(t)=
или из преобразований Лапласа
w(t)=w(s)
w(s)=W(s)⋅1
W(s)=
=
Переходя к оригиналу, получим
w(t)=
e
⋅1(t) (6)
4. Построим графики переходной функции и функции веса. Подставляя исходные данные, вычислим коэффициент передачи, постоянные времени и временные характеристики:
k=2
T =0.62
h(t)=2
⋅1(t)
w(t)=3.2e
⋅1(t)
Переходная функция представляет собой экспоненту. Множитель 1(t) указывает ,что экспонента рассматривается только для положительного времени t>0. Функция веса - также экспонента, но со скачком в точке t=0 на величину
.
5. Получим частотную передаточную функцию, заменив в передаточной функции (4) s на jω:
W(s)= ![]()
W(jω)=
(7)
W(jω)=
=
j
=U(ω)+jV(ω)
U(ω)=![]()
V(ω)=![]()
6. Получим аналитические выражения для частотных характеристик. По определению амплитудная частотная характеристика (АЧХ) - это модуль частотной передаточной функции, т.е.
A(ω)=|W(jω)|
A(ω)=
=
(8)
Фазовая частотная характеристика (ФЧХ) - это аргумент частотной передаточной функции, т.е.
φ(ω)=argW(jω)
φ(ω)=arctgk - arctg
φ(ω)=-arctg(-Tω) (9)
Для построения логарифмических частотных характеристик вычислим
L(ω)=20lg A(ω)
L(ω)=20lg![]()
7. Построим графики частотных характеристик. Для этого сначала получим их численные значения.
k=2
T =0.62
A(ω)=
φ(ω)=-arctg(-0.62ω)
L(ω)=20lg
U(ω)=
V(ω)=
4.1.5. АПЕРИОДИЧЕСКОЕ ЗВЕНО 2-го ПОРЯДКА
1. Данное звено описывается следующим уравнением:
a2
+a1
+ aoy(t) =bog(t) (1)
Коэффициенты имеют следующие значения:
a2=0,588
a1=50,4
ao=120
bo=312
Запишем это уравнение в стандартной форме. Для этого разделим (1) на ao:
![]()
+![]()
+y(t)=
g(t)
![]()
+T1
+y(t)=kg(t) (2),
где k=
-коэффициент передачи,
T1=
,T22=
-постоянные времени.
Если корни характеристического уравнения для дифференциального уравнения 2-го порядка вещественны (это выполняется при T1>2T2), то оно является апериодическим 2-го порядка. Проверим это для нашего уравнения:
T1=0,42
2T2=0,14
0,42>014, следовательно, данное уравнение - апериодическое.
Запишем исходное уравнение в операторной форме, используя подстановку p=
.Получим:
(
p2+T1 p+1)y(t)=kg(t) (3)
2. Получим передаточную функцию для колебательного звена. Воспользуемся преобразованиями Лапласа:
y(t) = Y(s) ![]()
=sY(s)
=s2Y(s)
g(t)=G(s)
По определению передаточная функция находится как отношение выходного сигнала к входному. Тогда уравнение (2) будет иметь вид:
s2Y(s)+T1 sY(s)+Y(s)=kG(s)
W(s)=
(4)
3. Найдем выражения для переходной функции и функции веса. По определению аналитическим выражением переходной функции является решение уравнения (2) при нулевых начальных условиях, т.е. g(t)=1 или по преобразованиями Лапласа
h(t)=H(s)
H(s)=W(s)
=
=
, где
T3,4=
Разложив на элементарные дроби правую часть этого выражения, получим
H(s)=
=
Переходя к оригиналу, получим
h(t)=k⋅1(t)
=
=k ⋅1(t)
(5)
Функцию веса можно получить дифференцированием переходной функции
w(t)=
или из преобразований Лапласа
w(t)=w(s)
w(s)=W(s)⋅1=
=![]()
Разложив на элементарные дроби правую часть этого выражения, получим
w(s)= ![]()
=
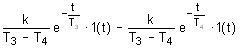
Переходя к оригиналу, получим
w(t)=
=
=
(6)
4. Построим графики переходной функции и функции веса. Подставляя исходные данные, вычислим коэффициент передачи, постоянные времени и временные характеристики:
5. Получим частотную передаточную функцию, заменив в передаточной функции (4) s на jω:
W(s)= ![]()
W(jω)=
(7)
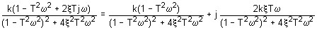
Выделим вещественную и мнимую части :
W(jω) =
=

U(ω)=
V(ω)=
6. Получим аналитические выражения для частотных характеристик. По определению амплитудная частотная характеристика (АЧХ) - это модуль частотной передаточной функции, т.е.
A(ω)=|W(jω)|
A(ω)=
=.......(8)
Фазовая частотная характеристика (ФЧХ) - это аргумент частотной передаточной функции, т.е.
φ(ω)=argW(jω)
φ(ω)=........
φ(ω)=........ (9)
Для построения логарифмических частотных характеристик вычислим
L(ω)=20lg A(ω)
L(ω)=..........
7. Построим графики частотных характеристик. Для этого сначала получим их численные значения.
4.1.6. КОЛЕБАТЕЛЬНОЕ (УСТОЙЧИВОЕ) ЗВЕНО
1. Данное звено описывается следующим уравнением:
a2
+a1
+ aoy(t) =bog(t) (1)
Коэффициенты имеют следующие значения:
a2=0,588
a1=0,504
ao=12
bo=31,20
Запишем это уравнение в стандартной форме. Для этого разделим (1) на ao:
![]()
+![]()
+y(t)=
g(t)
![]()
+T1
+y(t)=kg(t) (2),
где k=
-коэффициент передачи,
T1=
,T22=
-постоянные времени.
Если корни характеристического уравнения для дифференциального уравнения 2-го порядка комплексные (это выполняется при T1<2T2), то оно является колебательным. Проверим это для нашего уравнения:
T1=0,042
2T2=0,14
0,042<014, следовательно, данное уравнение - колебательное.
Представим данное уравнение в следующем виде:
пусть T2=T,
.
Тогда уравнение (2):
![]()
Здесь T - постоянная времени, ξ - декремент затухания (0<ξ<1).
Запишем исходное уравнение в операторной форме, используя подстановку p=
.Получим:
(
p2+2ξTp+1)y(t)=kg(t) (3)
2. Получим передаточную функцию для колебательного звена. Воспользуемся преобразованиями Лапласа:
y(t) = Y(s) ![]()
=sY(s)
=s2Y(s)
g(t)=G(s)
По определению передаточная функция находится как отношение выходного сигнала к входному. Тогда уравнение (2) будет иметь вид:
s2Y(s)+2ξT sY(s)+Y(s)=kG(s)
W(s)=
(4)
3. Найдем выражения для переходной функции и функции веса. По определению аналитическим выражением переходной функции является решение уравнения (2) при нулевых начальных условиях, т.е. g(t)=1 или по преобразованиями Лапласа
h(t)=H(s)
H(s)=W(s)
=![]()
Разложив на элементарные дроби правую часть этого выражения, получим
H(s)=
=
=
Заменим в этом выражении
,
.Тогда
H(s)=
=
=
Переходя к оригиналу, получим
h(t)=k
=
=k ⋅1(t)
(5)
Функцию веса можно получить дифференцированием переходной функции
w(t)=
или из преобразований Лапласа
w(t)=w(s)
w(s)=W(s)⋅1=
=
=
=![]()
Переходя к оригиналу, получим
w(t)=
(6)
4. Построим графики переходной функции и функции веса. Подставляя исходные данные, вычислим коэффициент передачи, постоянные времени и временные характеристики:
5. Получим частотную передаточную функцию, заменив в передаточной функции (4) s на jω:
W(s)= ![]()
W(jω)=
(7)
Выделим вещественную и мнимую части :
W(jω)=
U(ω)=
V(ω)![]()
6. Получим аналитические выражения для частотных характеристик. По определению амплитудная частотная характеристика (АЧХ) - это модуль частотной передаточной функции, т.е.
A(ω)=|W(jω)|
A(ω)=
=
(8)
Фазовая частотная характеристика (ФЧХ) - это аргумент частотной передаточной функции, т.е.
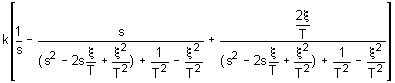
φ(ω)=argW(jω)
φ(ω)=argk - arg(2ξTjω - T2ω2+1)= - arctg![]()
φ(ω)= - arctg
(9)
Для построения логарифмических частотных характеристик вычислим
L(ω)=20lg A(ω)
L(ω)=20lg
7. Построим графики частотных характеристик. Для этого сначала получим их численные значения.
4.1.6. КОЛЕБАТЕЛЬНОЕ (НЕУСТОЙЧИВОЕ) ЗВЕНО
1. Данное звено описывается следующим уравнением:
a2
- a1
+ aoy(t) =bog(t) (1)
Коэффициенты имеют следующие значения:
a2=0,588
a1=0,504
ao=12
bo=31,20
Запишем это уравнение в стандартной форме. Для этого разделим (1) на ao:
![]()
- ![]()
+y(t)=
g(t)
![]()
-T1
+y(t)=kg(t) (2),
где k=
-коэффициент передачи,
T1=
,T22=
-постоянные времени.
Если корни характеристического уравнения для дифференциального уравнения 2-го порядка комплексные (это выполняется при T1<2T2), то оно является колебательным. Проверим это для нашего уравнения:
T1=0,042
2T2=0,14
0,042<014, следовательно, данное уравнение - колебательное.
Представим данное уравнение в следующем виде:
пусть T2=T,
.
Тогда уравнение (2):
![]()
Здесь T - постоянная времени, ξ - декремент затухания (0<ξ<1).
Запишем исходное уравнение в операторной форме, используя подстановку p=
.Получим:
(
p2 - 2ξTp+1)y(t)=kg(t) (3)
2. Получим передаточную функцию для колебательного звена. Воспользуемся преобразованиями Лапласа:
y(t) = Y(s) ![]()
=sY(s)
=s2Y(s)
g(t)=G(s)
По определению передаточная функция находится как отношение выходного сигнала к входному. Тогда уравнение (2) будет иметь вид:
s2Y(s) - 2ξT sY(s)+Y(s)=kG(s)
W(s)=
(4)
3. Найдем выражения для переходной функции и функции веса. По определению аналитическим выражением переходной функции является решение уравнения (2) при нулевых начальных условиях, т.е. g(t)=1 или по преобразованиями Лапласа
h(t)=H(s)
H(s)=W(s)
=![]()
Разложив на элементарные дроби правую часть этого выражения, получим
H(s)=
=
=
Заменим в этом выражении
,
.Тогда
H(s)=
=
=
Переходя к оригиналу, получим
h(t)=k
=
=k ⋅1(t)
(5)
Функцию веса можно получить дифференцированием переходной функции
w(t)=
или из преобразований Лапласа
w(t)=w(s)
w(s)=W(s)⋅1=
=
=
=![]()
Переходя к оригиналу, получим
w(t)=
(6)
4. Построим графики переходной функции и функции веса. Подставляя исходные данные, вычислим коэффициент передачи, постоянные времени и временные характеристики:
5. Получим частотную передаточную функцию, заменив в передаточной функции (4) s на jω:
W(s)= ![]()
W(jω)=
(7)
Выделим вещественную и мнимую части :
W(jω)=
U(ω)=
V(ω)![]()
6. Получим аналитические выражения для частотных характеристик. По определению амплитудная частотная характеристика (АЧХ) - это модуль частотной передаточной функции, т.е.
A(ω)=|W(jω)|
A(ω)=
=
(8)
Фазовая частотная характеристика (ФЧХ) - это аргумент частотной передаточной функции, т.е.
φ(ω)=argW(jω)
φ(ω)=argk - arg(1 - 2ξTjω - T2ω2)= - arctg![]()
φ(ω)= - arctg
(9)
Для построения логарифмических частотных характеристик вычислим
L(ω)=20lg A(ω)
L(ω)=20lg
7. Построим графики частотных характеристик. Для этого сначала получим их численные значения.
4.1.5. КОЛЕБАТЕЛЬНОЕ КОНСЕРВАТИВНОЕ ЗВЕНО
1. Данное звено описывается следующим уравнением:
a2
+ aoy(t) =bog(t) (1)
Коэффициенты имеют следующие значения:
a2=0,0588
ao=12
bo=31,20
Запишем это уравнение в стандартной форме. Для этого разделим (1) на ao:
![]()
+y(t)=
g(t)
![]()
+ y(t)=kg(t) (2),
где k=
-коэффициент передачи,
T2=
-постоянная времени.
Это уравнение является частным случаем колебательного уравнения при ξ=0.
Запишем исходное уравнение в операторной форме, используя подстановку p=
.Получим:
(T2p2+1)y(t)=kg(t) (3)
2. Получим передаточную функцию для колебательного звена. Воспользуемся преобразованиями Лапласа:
y(t) = Y(s) ![]()
=s2Y(s)
g(t)=G(s)
По определению передаточная функция находится как отношение выходного сигнала к входному. Тогда уравнение (2) будет иметь вид:
T2s2Y(s)+Y(s)=kG(s)
W(s)=
(4)
3. Найдем выражения для переходной функции и функции веса. По определению аналитическим выражением переходной функции является решение уравнения (2) при нулевых начальных условиях, т.е. g(t)=1 или по преобразованиями Лапласа
h(t)=H(s)
H(s)=W(s)
=![]()
Разложив на элементарные дроби правую часть этого выражения, получим
H(s)=
Заменим
.Тогда
H(s)=
Переходя к оригиналу, получим
h(t)=k⋅1(t)
(5)
Функцию веса можно получить из преобразований Лапласа
w(t)=w(s)
w(s)=W(s)⋅1=
=
=![]()
Переходя к оригиналу, получим
w(t)= kω0sinω0t⋅1(t) (6)
4. Построим графики переходной функции и функции веса. Подставляя исходные данные, вычислим коэффициент передачи, постоянные времени и временные характеристики:
5. Получим частотную передаточную функцию, заменив в передаточной функции (4) s на jω:
W(s)=
W(jω)=
(7)
U(ω)=![]()
V(ω)=0
6. Получим аналитические выражения для частотных характеристик. По определению амплитудная частотная характеристика (АЧХ) - это модуль частотной передаточной функции, т.е.
A(ω)=|W(jω)|
A(ω)=
=(8)
Фазовая частотная характеристика (ФЧХ) - это аргумент частотной передаточной функции, т.е.
φ(ω)=argW(jω)
φ(ω)=argk - arg(1-T2ω2)=0 (9)
Для построения логарифмических частотных характеристик вычислим
L(ω)=20lg A(ω)
L(ω)=20lg
(10)
7. Построим графики частотных характеристик. Для этого сначала получим их численные значения.
4.2. ИНТЕГРИРУЮЩИЕ ЗВЕНЬЯ
4.2.1. ИНТЕГРИРУЮЩЕЕ ИДЕАЛЬНОЕ ЗВЕНО
1. Данное звено описывается следующим уравнением:
a1
=bog(t) (1)
Коэффициенты имеют следующие значения:
a1=1,24
bo=4
Запишем это уравнение в стандартной форме. Для этого разделим (1) на a1:
=
g(t)
=kg(t) (2),
где k=
-коэффициент передачи.
Запишем исходное уравнение в операторной форме, используя подстановку p=
.Получим:
py(t)=kg(t) (3)
2. Получим передаточную функцию для данного звена. Воспользуемся преобразованиями Лапласа:
y(t)=Y(s)
=sY(s)
g(t)=G(s)
По определению передаточная функция находится как отношение выходного сигнала к входному. Тогда уравнение (2) будет иметь вид:
sY(s)=kG(s)
W(s)=
(4)
3. Найдем выражения для переходной функции и функции веса. По определению аналитическим выражением переходной функции является решение уравнения (2) при нулевых начальных условиях, т.е. g(t)=1 или по преобразованиями Лапласа
h(t)=H(s)
H(s)=W(s)
=![]()
Переходя к оригиналу, получим
h(t)=kt⋅1(t) (5)
Функцию веса можно получить дифференцированием переходной функции
w(t)=
w(t)=
=k⋅1(t) (6)
4. Построим графики переходной функции и функции веса. Подставляя исходные данные, вычислим коэффициент передачи, постоянные времени и временные характеристики:
5. Получим частотную передаточную функцию, заменив в передаточной функции (4) s на jω:
W(s)= ![]()
W(jω)=
(7)
W(jω)=
U(ω)=0
V(ω)=![]()
6. Получим аналитические выражения для частотных характеристик. По определению амплитудная частотная характеристика (АЧХ) - это модуль частотной передаточной функции,т.е.
A(ω)=|W(jω)|
A(ω)=
=
(8)
Фазовая частотная характеристика (ФЧХ) - это аргумент частотной передаточной функции, т.е.
φ(ω)=argW(jω)
φ(ω)=argk - argjω
φ(ω)= - arctgω (9)
Для построения логарифмических частотных характеристик вычислим
L(ω)=20lg A(ω)
L(ω)=20lg![]()
7. Построим графики частотных характеристик.Для этого сначала получим их численные значения.
4.2.2. ИНТЕГРИРУЮЩЕЕ ИНЕРЦИОННОЕ ЗВЕНО
1. Данное звено описывается следующим уравнением:
+ a1
=bog(t) (1)
Коэффициенты имеют следующие значения:
a2=0,0588
a1=0,504
bo=31,20
Запишем это уравнение в стандартной форме. Для этого разделим (1) на a1:
![]()
+
=
g(t)
T
+
=kg(t) (2),
где k=
-коэффициент передачи,
T=
-постоянная времени.
Запишем исходное уравнение в операторной форме, используя подстановку p=
.Получим:
(Tp2+p)y(t)=kg(t) (3)
2. Получим передаточную функцию для апериодического звена. Воспользуемся преобразованиями Лапласа:
y(t)=Y(s)
=sY(s)
=s2Y(s)
g(t)=G(s)
По определению передаточная функция находится как отношение выходного сигнала к входному. Тогда уравнение (2) будет иметь вид:
Ts2Y(s)+sY(s)=kG(s)
W(s)=
(4)
3. Найдем выражения для переходной функции и функции веса. По определению аналитическим выражением переходной функции является решение уравнения (2) при нулевых начальных условиях, т.е. g(t)=1 или по преобразованиями Лапласа
h(t)=H(s)
H(s)=W(s)
=![]()
Разложив на элементарные дроби правую часть этого выражения, получим
H(s)=![]()
Переходя к оригиналу, получим
h(t)= - kT⋅1(t)+kt⋅1(t)+kT
⋅1(t)=
=
(5)
Функцию веса можно получить из преобразований Лапласа
w(t)=w(s)
w(s)=W(s)⋅1=
Разложив на элементарные дроби правую часть этого выражения, получим
w(s)=
Переходя к оригиналу, получим
w(t)=k⋅1(t)
(6)
4. Построим графики переходной функции и функции веса. Подставляя исходные данные, вычислим коэффициент передачи, постоянные времени и временные характеристики:
5. Получим частотную передаточную функцию, заменив в передаточной функции (4) s на jω:
W(s)=
W(jω)=
(7)
W(jω)
U(ω)=![]()
V(ω)=![]()
6. Получим аналитические выражения для частотных характеристик. По определению амплитудная частотная характеристика (АЧХ) - это модуль частотной передаточной функции,т.е.
A(ω)=|W(jω)|
A(ω)=
=
(8)
Фазовая частотная характеристика (ФЧХ) - это аргумент частотной передаточной функции, т.е.
φ(ω)=argW(jω)
φ(ω)=argk - argjω - arg
φ(ω)= - arctgω - arctgTω (9)
Для построения логарифмических частотных характеристик вычислим
L(ω)=20lg A(ω)
L(ω)=20lg![]()
7. Построим графики частотных характеристик.Для этого сначала получим их численные значения.
4.2.3. ИЗОДРОМНОЕ ЗВЕНО
1. Данное звено описывается следующим уравнением:
a1
=b1
+bog(t) (1)
Коэффициенты имеют следующие значения:
a1=1,24
bo=4
b1=4
Запишем это уравнение в стандартной форме. Для этого разделим (1) на a1:
=![]()
+
g(t)
=k1
+kg(t) (2),
где k1=
, k=
-коэффициент передачи.
Запишем исходное уравнение в операторной форме, используя подстановку p=
.Получим:
py(t)=(k1p+k)g(t) (3)
2. Получим передаточную функцию для апериодического звена. Воспользуемся преобразованиями Лапласа:
y(t)=Y(s)
=sY(s)
g(t)=G(s)
=sG(t)
По определению передаточная функция находится как отношение выходного сигнала к входному. Тогда уравнение (2) будет иметь вид:
sY(s)=k1sG(s)+kG(s)
W(s)=
(4)
3. Найдем выражения для переходной функции и функции веса. По определению аналитическим выражением переходной функции является решение уравнения (2) при нулевых начальных условиях, т.е. g(t)=1 или по преобразованиями Лапласа
h(t)=H(s)
H(s)=W(s)
=![]()
Переходя к оригиналу, получим
h(t)=
⋅ 1(t) (5)
Функцию веса можно получить из преобразований Лапласа
w(t)=w(s)
w(s)=W(s)⋅1
W(s)=![]()
Переходя к оригиналу, получим
w(t)= k1⋅δ(t)+k⋅1(t) (6)
4. Построим графики переходной функции и функции веса. Подставляя исходные данные, вычислим коэффициент передачи, постоянные времени и временные характеристики:
5. Получим частотную передаточную функцию, заменив в передаточной функции (4) s на jω:
W(s)=![]()
W(jω)=
(7)
U(ω)=k1
V(ω)=![]()
6. Получим аналитические выражения для частотных характеристик. По определению амплитудная частотная характеристика (АЧХ) - это модуль частотной передаточной функции,т.е.
A(ω)=|W(jω)|
A(ω)=......(8)
Фазовая частотная характеристика (ФЧХ) - это аргумент частотной передаточной функции, т.е.
φ(ω)=argW(jω)
φ(ω)=......
φ(ω)=...... (9)
Для построения логарифмических частотных характеристик вычислим
L(ω)=20lg A(ω)
L(ω)=20lg....
7. Построим графики частотных характеристик.Для этого сначала получим их численные значения.
4.3.1.ДИФФЕРЕНЦИРУЮЩЕЕ ИДЕАЛЬНОЕ ЗВЕНО
1. Данное звено описывается следующим уравнением:
aoy(t)=b1
(1)
Коэффициенты имеют следующие значения:
ao=2
b1=4
Запишем это уравнение в стандартной форме. Для этого разделим (1) на ao:
y(t)=![]()
y(t)=k
(2),
где k=
-коэффициент передачи.
Запишем исходное уравнение в операторной форме, используя подстановку p=
.Получим:
y(t)=kpg(t) (3)
2. Получим передаточную функцию для идеального звена. Воспользуемся преобразованиями Лапласа:
y(t)=Y(s)
g(t)=G(s)
=sG(s)
По определению передаточная функция находится как отношение выходного сигнала к входному. Тогда уравнение (2) будет иметь вид:
Y(s)=ksG(s)
W(s)=ks (4)
3. Найдем выражения для переходной функции и функции веса из преобразлваний Лапласа,т.е.
h(t)=H(s)
H(s)=W(s)
=k
Переходя к оригиналу, получим
h(t)=k⋅δ(t) (5)
Функцию веса можно получить по преобразованию Лапласа из передаточной функции:
w(t)=w(s)
w(s)=W(s)⋅1=ks
Переходя к оригиналу, получим
w(t)=k
(6)
4. Построим графики переходной функции и функции веса. Подставляя исходные данные, вычислим коэффициент передачи и временные характеристики:
5. Получим частотную передаточную функцию, заменив в передаточной функции (4) s на jω:
W(s)=ks
W(jω)=jkω (7)
W(jω)=U(ω)+jV(ω)
U(ω)=0
V(ω)=kω
6. Получим аналитические выражения для частотных характеристик. По определению амплитудная частотная характеристика (АЧХ) - это модуль частотной передаточной функции, т.е.
A(ω)=|W(jω)|
A(ω)=k|ω| (8)
Фазовая частотная характеристика (ФЧХ) - это аргумент частотной передаточной функции, т.е.
φ(ω)=argW(jω)
φ(ω)=arctgkω (9)
Для построения логарифмических частотных характеристик вычислим
L(ω)=20lg A(ω)
L(ω)=20lgk|ω|
7. Построим графики частотных характеристик. Для этого сначала получим их численные выражения.
4.3.2.ДИФФЕРЕНЦИРУЮЩЕЕ РЕАЛЬНОЕ ЗВЕНО
1. Данное звено описывается следующим уравнением:
a1
+ aoy(t) =b1
(1)
Коэффициенты имеют следующие значения:
a1=1,24
ao=2
b1=4
Запишем это уравнение в стандартной форме. Для этого разделим (1) на a1:
![]()
+y(t)=![]()
![]()
T
+y(t)=k
(2),
где k=
-коэффициент передачи,
T1=
-постоянная времени.
Запишем исходное уравнение в операторной форме, используя подстановку p=
.Получим:
(Tp+1)y(t)=kpg(t) (3)
2. Получим передаточную функцию для апериодического звена. Воспользуемся преобразованиями Лапласа:
y(t)=Y(s)
=sY(s)
g(t)=G(s)
=sG(s)
По определению передаточная функция находится как отношение выходного сигнала к входному. Тогда уравнение (2) будет иметь вид:
TsY(s)+Y(s)=ksG(s)
W(s)=
(4)
3. Найдем выражения для переходной функции и функции веса. По определению аналитическим выражением переходной функции является решение уравнения (2) при нулевых начальных условиях, т.е. g(t)=1 или по преобразованиями Лапласа
h(t)=H(s)
H(s)=W(s)
=
=
Переходя к оригиналу, получим
h(t)=
⋅1(t) (5)
Функцию веса можно получить из преобразований Лапласа
w(t)=w(s)
w(s)=W(s)⋅1
W(s)=
=
Переходя к оригиналу, получим
w(t)=
⋅δ(t)
e
⋅1(t) (6)
4. Построим графики переходной функции и функции веса. Подставляя исходные данные, вычислим коэффициент передачи, постоянные времени и временные характеристики:
5. Получим частотную передаточную функцию, заменив в передаточной функции (4) s на jω:
W(s)=![]()
W(jω)=![]()
W(jω)=
=![]()
6.Найдем АЧХ:
A()=W(j)
A()=
=![]()
Найдем ФЧХ:
()=argW(j)
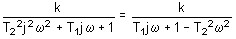
()=arctgk-arctgT
L()=20lgA()
L()=20lg![]()
4.3.3.ФОРСИРУЮЩЕЕ ЗВЕНО 1-го ПОРЯДКА
Данное звено описывается следующим уравнением:
a0y(t)=b1
+b0g(t)
y(t)=![]()
+
g(t)
k1=![]()
k=![]()
p=![]()
y(t)=k1pg(t)+kg(t)
y(t)=Y(s)
g(t)=G(s)
Y(s)=k1sG(s)+kG(s)
W(s)=k1s+k
H(s)=
=k1+![]()
h(t)=k1(t)+k1(t)
W(j)=k1j+k
U()=k
V()=k1
A()=W(j)
A()=![]()
()=argW(j)
()=arctg![]()
L()=20lgA()
L()=20lg![]()
4.3.4.ФОРСИРУЮЩЕЕ ЗВЕНО 2-го ПОРЯДКА
a0y(t)=b2
+b1
+b0g(t)
y(t)=![]()
+![]()
+
g(t)
y(t)=k2
+k1
+kg(t)
y(t)=k2p2g(t)+k1pg(t)+kg(t)
Y(s)=(k2s2+k1s+k)G(s)
W(s)=k2s2+k1s+k
H(s)=k2s+k1+![]()
h(t)=k2
+k1(t)+k11(t)
w(s)=W(s)=k2s2+k1s+k
w(t)=k2
+k1
+k(t)
W(j)=k1j+k - k22
U()=k - k22
V()=k1j
A()=![]()
()=arctg![]()
L()=20lg![]()
Вместе с этим смотрят:
Золотое сечениеИдея барицентрических координат
Интеграл Пуассона
Интегралы