Алгебраические числа
АЛГЕБРАИЧЕСКИЕ ЧИСЛАСодержание
- Введение
- I. Краткий исторический очерк
- II. Поле алгебраических чисел
- 2.1. Понятие числового поля
- 2.2. Алгебраическое число
- 2.3. Поле алгебраических чисел
- III. Рациональные приближения алгебраических чисел
- 3.1 Теорема Лиувиля
- 3.2 Трансцендентные числа Лиувиля
- Заключение Ва
Ва
Ва
Введение
Первоначальные элементы математики связаны с появлением навыков счета, возникающих в примитивной форме на сравнительно ранних ступенях развития человеческого общества, в процессе трудовой деятельности
Исторически теория чисел возникла как непосредственное развитие арифметики. В настоящее время в теорию чисел включают значительно более широкий круг вопросов, выходящих за рамки изучения натуральных чисел. В теории чисел рассматриваются не только натуральные числа, но и множество всех целых чисел, а так же множество рациональных чисел
Если рассматривать корни многочленов: f(x)=x n +a 1 x n-1 +тАж+a n с целыми коэффициентами, то обычные целые числа соответствуют случаю, когда этот многочлен имеет степень n=1. Во множестве комплексных чисел естественно выделить так называемые целые алгебраические числа, представляющие собой корни многочленов с целыми коэффициентами
Изучение свойств таких чисел составляет содержание одного из важнейших разделов современной теории чисел, называемого алгебраической теорией чисел. Она связана с изучением различных классов алгебраических чисел
I. Краткий исторический очерк
Огромное значение в развитии теории чисел имели замечательные работы К. Гаусса (1777-1855). Гаусс наряду с изучением обычных чисел начал рассматривать так же и арифметику чисел, получивших название целых гауссовских чисел, а именно числа вида a+bi, где a и b тАУ обычные целые числа. Эти его исследования положили начала алгебраической теории чисел
Теория алгебраических чисел была построена в работах Куммера (1810-1893) и Дирихле (1805-1859) и развита затем Кронекером (1823-1891), Дедекиндом (1831-1916) и Е.И. Золотаревым (1847-1878). Работы Лиувилля (1809-1882) и Эрмита (1822-1901) явились основой трансцендентных чисел
Вопросы аппроксимации алгебраических чисел рациональными были существенно продвинуты в начале века А. Туэ, а затем в пятидесятых годах в работах К. Рота
В последнее время все большее внимание специалистов по теории чисел привлекает алгебраическая теория чисел
Здесь надо назвать работы Г. Хассе, Е. Гекке, а в особенности французского математика А. Вейля, результаты которого были использованы во многих теорико-числовых исследованиях, как например Д. Берджессом в проблеме о наименьшем квадратичном вычете
К алгебраической теории чисел относятся и интересные работы советского математика И.Р. Шафаревича, а так же работы Б.Н. Делонга по теории кубических форм
II. Поле алгебраических чисел
2.1 Понятие числового поля
Естественный и важный подход к выделению и изучению тех или иных множеств чисел связан с замкнутостью множеств чисел относительно тех или иных действий
Определение 1 : Мы говорим, что некоторое множество чисел М замкнуто относительно некоторого действия, если для всяких двух чисел их М , для которых определен результат данного действия над ним, число, является этим результатом, всегда принадлежащим М
Пример:
- N Множество натуральных чисел замкнуто относительно сложения, т.к. " a, b О N = > (a+b) О N.
В отношении умножения множество N так же замкнуто. Но оно не является замкнутым относительно вычитания и деления. Действительно:
5, 7 О N, но 5-7=-2 П N,
3, 2 О N, но 3:2=1,5 П N
- Множество целых чисел Z замкнуто относительно сложения, вычитания и умножения.
- Множество чисел вида 2 к , к О N, замкнуто относительно умножения и деления.
2к * 2l=2k+l
2к:2l=2k-l
В связи с замкнутостью действий на множестве выделились классы числовых множеств
Рассмотрим один их классов, называемых полем
Определение 2: Множество чисел М , содержащие не менее двух чисел, называется числовым полем, если оно замкнуто относительно действий сложения, вычитания, умножения и деления
Последнее означает, что для любых a, b О M, должно иметь место a+b, a-b, a*b О M. Так же для любого a О M и любого b № 0 из М, должно выполняться a:b О M
Пример:
Среди важнейших числовых полей наиболее важными являются:
- поле всех рациональных чисел;
- поле всех вещественных чисел;
- поле всех комплексных чисел.
Что касается множества всех целых чисел, то оно не является числовым полем, ибо не замкнуто относительно деления
Существует бесконечно много числовых полей. Нас, в данном случае интересует поле алгебраических чисел
2. 2 Определение алгебраического числа
Существуют различные признаки, по которым их общего множества Z выделяю те или иные подмножества, подвергаемые специальному изучению. С точки зрения важного для алгебры понятия алгебраического уравнения, естественным представляется выделение классов чисел, являющихся корнями алгебраических уравнений, коэффициенты которых принадлежат тому или иному классу чисел
Определение 3: Число Z называется алгебраическим , если оно является корнем какого-нибудь алгебраического уравнения с целыми коэффициентами:
a n x n +a n-1 x n-1 +тАж+a 1 x+a 0 =0
(a 0 , a 1 , тАж ,a n О Z; a n № 0),
т.е. выполняется:
a n z n +a n-1 z n-1 +тАж+a 1 z+a 0 =0
Числа не являющиеся алгебраическими называются трансцендентными
В определении алгебраического числа можно допустить, чтобы коэффициенты a 0 , a 1 , тАж ,a n-1 , a n были любыми рациональными числами, поскольку, умножив левую и правую части уравнения на целое число, являющиеся общим кратным знаменателем всех коэффициентов, мы получили уравнение с целыми коэффициентами, корнем которого будет наше число
К алгебраическим числам принадлежат, в частности, и все рациональные числа. Действительно, рациональное число z=
(p, q О N) очевидно является корнем уравнения: qx-p=0
Также всякое значение корня любой степени из рационального числа является алгебраическим числом. Действительно, число z=
(p, q О N) является корнем уравнения:
qx n -p=0
Существуют и другие алгебраические числа, нежели указанное выше
Пример:
- Чиcло z=
является алгебраическим. Действительно, возводя в квадрат обе части равенства, определяющего число z, получим: z 2 =2+2
+3. Отсюда z 2 -5=
. Возводя в квадрат обе части этого равенства, получим: z 4 -10z 2 +25=24. Отсюда следует, что число z является корнем следующего уравнения:
x 4 -10x 2 +1=0
- Всякое число z=a+bi, у которого компоненты a и b тАУ рациональные числа, являются алгебраическими. Докажем это.
,
(p, q,
О N)
Из равенства
, получаем:
. Отсюда, возводя в квадрат, получим:
. Следовательно, я является корнем уравнения:
![]()
все коэффициенты которого целые числа
В дальнейшем мы будем рассматривать только действительные алгебраические числа, не оговаривая этого каждый раз
Из f(x)=0 следует f(z) j (x)=0, где в качестве j (x) можно взять любой многочлен с целыми коэффициентами. Таким образом для любого алгебраического числа z, из всех этих многочленов обычно рассматривают многочлен наименьшей степени
Определение 4: Число n называется степенью алгебраического числа z, если z есть корень некоторого многочлена n-ой степени с рациональными коэффициентами и не существует тождественно не равного нулю многочлена с рациональными коэффициентами степени, меньшей чем n, корнем которого является z
Если корень многочлена n-ой степени с целыми рациональными коэффициентами z не является корнем ни одного тождественно неравного нулю многочлена с целыми коэффициентами степени меньшей чем n, то z не может быть корнем и тождественно неравного нулю многочлена с рациональными коэффициентами степени меньшей чем n, т.е. z тАУ алгебраическое число степени n
Рациональные числа являются алгебраическими числами первой степени. Любая квадратическая иррациональность представляет собой алгебраическое число 2-й степени, так как, являясь корнем квадратичного уравнения с целыми коэффициентами, она не является корнем какого-либо уравнения 1-й степени с целыми коэффициентами. Алгебраические числа 3-й степени часто называют кубическими иррациональностями, а 4-й степени биквадратическими иррациональностями
Пример:
- алгебраическое число 3-й степени, т.е. кубическая иррациональность. Действительно, это число есть корень многочлена 3-й степени с целыми коэффициентами x 3 -2=0 и 
не является корнем какого-либо многочлена 1-й или 2-й степени с целыми коэффициентами
Определение 5 : Если алгебраическое число n-й степени z является корнем многочлена f(x)=x n +b 1 x n-1 + тАж +b n (n i 1) (1) с рациональными коэффициентами, то f(x) называется минимальным многочленом для z
Таким образом, минимальным многочленом для z называется многочлен наименьшей степени с рациональными коэффициентами и старшим коэффициентом, равном единице, корнем которого является z
Если вместо многочлена (1) взять какой-либо другой многочлен с рациональными коэффициентами степени n, корнем которого является z, то многочлен (1) может быть получен из него делением всех коэффициентов на старший член
Пример:
- Минимальным многочленом для
является x 3 -2, так как корень этого многочлена 
не является корнем какого-либо многочлена степени с рациональными коэффициентами
Теорема 1: Если f(x) минимальный многочлен алгебраического числа z и f(x) многочлен с рациональными коэффициентами, такой, что F(z)=0, то f(x) делитель F(x), т.е. F(x)=f(x)g(x), где g(x) также многочлен с рациональными коэффициентами
Доказательство: Согласно известной теореме алгебры F(x) можно представить в виде:
F(x)=f(x)g(x)+r(x)
где g(x) и к(ч) тАУ многочлены с рациональными коэффициентами, причем степень r(x) меньше степени f(x). Поскольку F(x)=0 и f(z)=0, то придавая x значение z, получаем r(z)=0; z тАУ корень многочлена r(x) с рациональными коэффициентами степени, меньшей чем у минимального для z многочлена, т.е. меньшей чем степень z. Это может быть только если r(x) тождественно равен нулю, а значит F(x)=f(x)g(x). Теорема доказана
Теорема 2: Для любого алгебраического числа z минимальный многочлен неприводим над полем рациональных чисел
Доказательство:
Пусть f(x) тАУ минимальный многочлен для z. Предположим, что f(x) приводим над полем рациональных чисел, т.е., что f(x)= w (x) j (x), w (x) j (x) тАУ многочлены с рациональными коэффициентами, степени меньшей, чем n
Из равенства w (x) j (x)=f(x)=0 следует, что из двух чисел w (x) и j (x), по крайней мере одно равно нулю. Пусть например w (x)=0, тогда z тАУ корень тождественно не равного нулю многочлена w (x) с рациональными коэффициентами, степени меньшей, чем n, т.е. меньшей чем у f(x). А это противоречит тому, что f(x) тАУ минимальный многочлен для z. Предположение, что f(x) приводим над полем рациональных чисел, оказалось неверным, т.е. f(x) неприводим над этим полем. Теорема доказана
Теорема 3: Если z корень неприводимого над полем рациональных чисел многочлена F(x) с рациональными коэффициентами степени n, то z тАУ алгебраическое число степени n
Доказательство:
Обозначим минимальный многочлен для z через f(x). Согласно теоремы 1: F(x)=f(x)g(x); где g(x) тАУ многочлен с рациональными коэффициентами. Поскольку F(x) неприводим над полем рациональных чисел и f(x) отлично от постоянного, то g(x)=c, где c тАУ рационально. F(x)=cf(x), т.е. z тАУ алгебраическое число n-й степени. Теорема доказана
Пример:
Пусть p тАУ простое число
при любом простом целом a (a>1), не равном p-ой степени другого целого, представляет собой алгебраическое число степени p. Действительно это число есть корень неприводимого над полем рациональных чисел многочлена
x p -a=0
Если z тАУ алгебраическое число степени n и f(x) тАУ минимальный многочлен для z, то все корни z 1 , z 2 , тАж z n уравнения f(x)=0, отличные от z, называют сопряженным с z
Один из корней совпадает с z, будем ставить его на первое место, т.е. z=z 1
2.3. Поле алгебраических чисел
Теорема 4: Множество всех действительных алгебраических чисел представляет собой поле, т.е. сумма, разность, произведение и частное двух алгебраических чисел a и b (для частного при b № 0) являются алгебраическими числами
Доказательство:
- Пусть a - корень многочлена f(x) степени n с целыми коэффициентами, корни которого a 1 , a 2 , тАж , a n , a и b - корень многочлена j (x) степени m с целыми коэффициентами, корни которого b 1 , b 2 , тАж b m ( b = b 1 ). Рассмотрим многочлен:
F(x)=
(x-( a i + b i ))=
= (x- a 1 - b 1 ) (x- a 1 - b 2 ) тАж (x- a 1 - b m )
(x- a 2 - b 1 ) (x- a 2 - b 2 ) тАж (x- a 2 - b m )
- - - - - - - - - - - - - - - - - - - - - - - - - -
(x- a n - b 1 ) (x- a n - b 2 ) тАж (x- a n - b m ) (2)
Если в этом произведении сделать какую угодно подстановку величин a 1 , a 2 , тАж , a n , то некоторые строки переставляется местами, но произведение в целом не изменится. Это значит, что F(x) тАУ симметрический многочлен по отношению b 1 , b 2 , тАж b m . В целом F(x) тАУ симметрический многочлен от двух систем аргументов: a 1 , a 2 , тАж , a n и b 1 , b 2 , тАж b m
Согласно известным теоремам о симметрических многочленах, коэффициенты многочлена F(x) могут быть выражены рационально через элементарные симметрические функции от a 1 , a 2 , тАж , a n и b 1 , b 2 , тАж b m , т.е. через целые коэффициенты, f(x) и j (x). Это значит, что коэффициенты F(x) рациональны, и, следовательно, число a + b = a 1 + b 1 , являющегося, как это непосредственно видно из формулы (2), корнем F(x), есть алгебраическое число
- Для доказательства того, что произведение двух алгебраических чисел a и b есть алгебраическое число, достаточно, аналогично тому, как это было только что сделано для многочлена (2), рассмотреть многочлен:
F(x)=
(x- a i b i ) (3)
Этот многочлен имеет в качестве одного из своих корней a 1 b 1 = a b
- Пусть b - корень многочлена j (x)=b 0 x n + b 1 x n-1 + тАж b n , (b i тАУ целые числа). Тогда - b является корнем многочлена с целыми коэффициентами.
j (-x)=(-1) n b 0 x n +(-1) n-1 b 1 x n-1 + тАж b n , а при b № 0 корень многочлена x n j (
)=b 0 +b 1 x+ тАж b n x n . Таким образом, вместе с b алгебраическими числами являются - b и ![]()
Разность может быть представлена в виде a +(- b ), т.е. в виде суммы двух алгебраических чисел. При b № 0 частное
, являясь произведением двух алгебраических чисел, представляет собой так же алгебраическое число
Если степени алгебраических чисел a и b равны m и n, то, взяв в качестве f(x) и j (x) соответствующие минимальные многочлены будем в (2) и (3) иметь многочлены степени mn, и a b алгебраические числа степени, не большей, чем mn. Многочлены j (x), j (-x), и x n
одинаковой степени, а, следовательно, b , - b ,
- алгебраические числа одной и той же степени, откуда следует, что и a - b и
имеют степени не больше, чем mn. Теорема доказана
Пример:
1)
и
алгебраические числа 2-й степени, а
- алгебраическое число 4 степени. Действительно, если a =
, то a 2 =5+
, 2 4 -10 a 2 +1=0, т.е. a корень многочлена f(x)=x4-10x2+1 с целыми коэффициентами, и f(x)=(x-
)(x-
)(x+
)(x+
) (4)
Из теоремы единственности над полем рациональных чисел множители f(x) должны являться произведением каких-то множителей правой части равенства (4). Легко видеть, что из этих множителей нельзя составить многочлен с рациональными коэффициентами степени меньшей, чем 4, т.е. f(x) тАУ неприводимый над полем рациональных чисел многочлен, а, следовательно, согласно теореме 3,
- алгебраическое число 4-й степени
2) a =
и b =
, как легко видеть, это алгебраические числа 6-й степени, а произведение a b =
- алгебраическое число 3-й степени
III. Рациональные приближения
алгебраических чисел
3.1. Теорема Лиувилля
Алгебраические числа не могут иметь слишком хороших рациональных приближений: погрешность при замене алгебраического числа рациональной дробью не может быть достаточно мала по порядку в сравнении с величиной, обратной знаменателю рациональной дроби
Для алгебраического числа 1-й степени существует постоянная c>0, такая, что для любой рациональной дроби
, отличной от a , будет выполняться неравенство:
(5)
Для алгебраического числа 2-й степени можно подобрать c>0, такое, что для любой рациональной дроби, будет иметь место неравенство:
(6)
В 1844 г., французским математиком Лиувиллем, впервые была доказана общая теорема:
Теорема 5: Для любого действительного алгебраического числа a степени n можно подобрать положительноеc, зависящее только от a , такое, что для всех рациональных чисел
(
№ a ) будет иметь место неравенство:
(7)
Доказательство:
Пусть f(x)=A 0 x n + A 1 x n-1 +A n неприводимый многочлен с целыми коэффициентами, корнем которого является a . В качестве f(x) можно, например, взять многочлен, получающийся из минимального для a многочлена после умножения всех коэффициентов на наименьшее кратное их знаменателей
Согласно теореме Безу, имеем:
f(x)=(x- a )g(x), (8)
где g(x) тАУ многочлен с действительными коэффициентами
Возьмем произвольное d >0. |g(x)| - непрерывная, а следовательно, ограниченная функция от x в сегменте [ a - d ; a + d ] , т.е. существует положительное число M, такое, что |g(x)| РИ M, для всех x из этого сегмента. Обозначим через c=min
, так, что
и ![]()
Для произвольного рационального числа
могут представиться две возможности:
лежит вне сегмента | a - d m ; a + d m |, тогда 

удовлетворяет неравенствам:
a - d РИ
РИ a + d , тогда |g(
)| РИ M и, подставляя в (8) вместо x значение
, получаем:
(9)
Неприводимый над полем рациональных чисел многочлен f(x) степени n i 2 не имеет рациональных корней, а при n=1 не имеет корней, отличных от a , так что:
f(
)= ![]()
Поскольку числитель
- целое неотрицательное, отличное от нуля, т.е. число большее или равное 1, то
(10). Сравнивая неравенства (9) и (10) получаем
, так что и в этом случае имеем:
. Теорема доказана
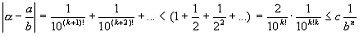
Пример:
Пусть z тАУ неквадратное целое число. Найти c >0, такое, что для всех рациональных чисел
имело бы место неравенство:
![]()
- корень многочлена x a -В . Деля x 2 -D на x-
, находим g(x)=x+ ![]()
При
- d < x <
+ d имеем
, т.е. M =
+ d . В качестве c берем
, при этом выгодней всего взять d так, что
d 2 +
d -1=0, т.е. d = ![]()
При таком d получаем
, так что при любых целых a и b имеем: ![]()
3.2. Трансцендентные числа Лиувилля
Числа, являющиеся корнями уравнений с целыми коэффициентами, не исчерпывают все множество действительных чисел, т.е. существуют действительные числа отличные от алгебраических
Определение 6: Любое неалгебраическое число называется трансцендентным
Впервые существование трансцендентных чисел доказано Лиувиллем. Доказательство существования трансцендентных чисел у Лаувилля эффективно; на основе следующей теоремы, являющейся непосредственным следствием теоремы 5, строятся конкретные примеры трансцендентных чисел
Теорема 6: Пусть a тАУ действительное число. Если для любого натурального n i 1 и любого действительного c >0 существует хотя бы одна рациональная дробь
, такая, что
(11), то a тАУ трансцендентное число
Доказательство:
Если бы a было алгебраическим, то нашлось бы (теорема 5) целое положительное n и действительное c >0 такие, что для любой дроби
было бы
, а это противоречит тому, что имеет место (11). Предположение, что a алгебраическое число, т.е. трансцендентное число. Теорема доказана
Числа a , для которых при любых n i 1 и c >0 неравенство (11) имеет решение в целых числах a и b называются трансцендентными числами Лиувилля
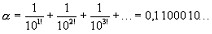
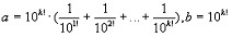
Пример:
a тАУ трансцендентное число
Возьмем произвольные действительные n i 1 и c >0. Пусть
, где k выбрано настолько большим, что
и k i n , тогда ![]()
Поскольку для произвольных n i 1 и c >0 можно найти дробь
такую, что
, то a тАУ трансцендентное число
Заключение
Алгебраические числа имеют широкое применение в теории чисел, алгебре, геометрии и других разделов математики. Они позволяют раскрыть вариантности алгебры для практических приложений. Это имеет большое значение в подготовке учителя для средней школы
Изучение свойств таких чисел составляет содержание одного из важнейших разделов современной теории чисел, называемого алгебраической теорией чисел
К этому разделу относятся вопросы, связанные с изучением различных классов алгебраических чисел
Эта работа может служить в качестве учебного пособия при изучении теории алгебраических чисел. А так же она удобна в использовании при подготовке к экзамену
В работе введена сплошная нумерация теорем и определений арабскими цифрами. Все теоремы даны с полными доказательствами. Приведенные примеры алгебраических чисел и действий над ними, даны с доступными пояснениями и, при необходимости, с доказательством
Большое место в работе занимают теоретические сведения о развитии алгебры теории чисел. Помимо введения, дающего общий очерк развития теории чисел, первый параграф посвящен уже конкретно развитию теории алгебраических чисел. Так же на протяжении всей работы можно наблюдать исторические комментарии
Данная работа дает представление о современном состоянии рассматриваемого вопроса и дает представление о теории алгебраических чисел и о теории чисел вообще, как о развивающейся науке
Вместе с этим смотрят:
Алгоритм компактного хранения и решения СЛАУ высокого порядкаАнализ цепи во временной области методом переменных состояний при постоянных воздействиях
Аналитическая геометрия
Аналитическая геометрия (билеты)