Кватернионы

Как сделать из точек числа?
Если речь идет о точках на прямой тАУ это просто. Выбрав начало отсчета и масштаб с направлением, можно получить из прямой числовую ось и тем самым превратить каждую точку в действительное число тАУ ее координату.
С точками на плоскости сложнее. Выбираем две оси и начало отсчета. Для каждой точки плоскости сопоставляем ее координаты (x; y). Эта пара будет называться дуплетом. Чтобы сделать дуплет числом, нужно научиться тАЬскладыватьтАЭ и тАЬумножатьтАЭ их в соответствии со свойствами сложения и умножения.
Дуплеты складываются как векторы тАУ покоординатно:
(x; y) + (xтАЩ; yтАЩ) = (x + xтАЩ; y + yтАЩ). (1)
Для умножения существует иная формула:
(x; y)
(xтАЩ; yтАЩ) = (xxтАЩ - yyтАЩ; xyтАЩ + xтАЩy). (2)
Умножение и сложение (1), (2) дуплетов подчиняются привычным свойствам сложения и умножения. Следовательно, множество дуплетов с операциями (1), (2) можно считать полноценным числовым множеством.
На самом деле дуплеты тАУ это комплексные числа. Их записывают так: x + yi, где i тАУмнимая единица (дуплет (0; 1)). Ее квадрат равен
. Это позволяет извлекать квадратные корни из отрицательных чисел.
Но встает проблема превращения точек пространства в числа. Здесь снова введем систему координат и запишем точки в виде набора уже трех координат (x; y; z). Эти так называемые триплеты тоже складываются покоординатно:
(x; y; z) + (xтАЩ; yтАЩ; zтАЩ) = (x + xтАЩ; y + yтАЩ; z + zтАЩ). (3)
Триплеты можно будет считать числами, если научиться их умножать, обладая, вместе со свойствами сложения, обычными способами умножения этих операций.
В 1833 г. умножением триплетов занимался ирландский математик У. Р. Гамильтон (1805 тАУ 1865). О нем мы расскажем особо.
Уильям Роуан ГамильтонГамильтон был человеком многосторонне развитым. В четырнадцать лет владел девятью языками, в 1824 г. опубликовал в трудах Королевской Ирландской Академии работу, посвященную геометрической оптике, в 1828 г. получил звание королевского астронома Ирландии.
К 1833 г. Гамильтон занимал пост директора обсерватории в Денсинке и был известен работами по оптике и аналитической механики. Он предсказал эффект двойной конической рефракции в двуосных кристаллах.
В течение долгих десяти лет Гамильтон безуспешно пытался придумать правило умножения триплетов.
Векторное произведениеЗадача поначалу казалась несложной. Складывать векторы следовало по формуле (3). Оставалось найти формулу умножения, подобную формуле (2). Но Гамильтон безуспешно пытался подбирать формулы для умножения триплетов.
В то время было известно правило векторного произведения:
векторным произведением
ненулевых векторов
называется вектор, перпендикулярный плоскости, проходящей через векторы
имеющий направление, определяемое правилом тАЬправой рукитАЭ, и длину |
|
|
|
. Если для данных векторов заданы координаты в прямоугольной системе координат:
![]()
![]()
то
(4)
Но операция векторного произведения не годилась Гамильтону, поскольку она не имеет обратной. Например, если
то угол (
) между векторами равен нулю. Значит, длина векторного произведения
равна нулю, т.е. и сам вектор
нулевой.
Но несмотря на неудачи, Гамильтон пытался решить поставленную перед собой задачу. Но эта задача не могла быть решена (объяснение следует ниже). Но труд не пропал даром. В 1843 г. Гамильтон вдруг решил, что для определения умножения нужно рассматривать не триплеты (тройки чисел), а четверки, или кватернионы. Вот история их создания.
Случай на Брогемском мосту![]()
В одном из писем к своему сыну Гамильтон писал: тАЬЭто был 16-й день октября, который случился в понедельник, в день заседания Совета Королевской Ирландской Академии, где я должен был председательствовать. Я направлялся туда с твоей матерью вдоль Королевского канала; и, хотя она говорила мне какие-то отдельные фразы, я их почти не воспринимал, так как в моем сознании подспудно что-то творилось. Неожиданно как будто бы замкнулся электрический контур; блеснула искра, предвещающая многие длительные годы определенно направленной мысли и труда, моего тАУ если доведется, или труда других, если мне будет даровано достаточно сознательной жизни, чтобы сообщить о своем открытии. Я оказался не в состоянии удержаться от желания высечь ножом на мягком камне Брогемского моста фундаментальную формулу о символах i, j, k,
,
содержащую решение проблемы, но, конечно, эта запись с тех пор стерлась. Однако более прочное упоминание осталось в Книге записей Совета Академии за этот день, где засвидетельствовано, что я попросил и получил разрешение на доклад о кватернионах на первом заседании сессии, который и был прочитан соответственно в Понедельник 13-го следующего месяца тАУ ноябрятАЭ.
Определение кватернионов
Кватернионы тАУ это четверки действительных чисел (x; y; u; v), которые удобно записывать в виде q = x + yi + uj + vk, где i, j, k тАУ новые числа, являющиеся аналогом мнимой единицы в комплексных числах. Требуется, чтобы числа i, j, k удовлетворяли следующим соотношениям:
(5)
(6)
которые удобно записать в виде тАЬтаблицы умножениятАЭ.
x i j k
i -1 k j
j -k -1 i
k -j -i -1
По определению операции сложения и умножения кватернионов производятся по обычным правилам раскрытия скобок и приведения подобных членов с учетом правил (5) тАУ (6).
Согласно этому определению, если
и
тАУ два кватерниона, то
![]()
(7)
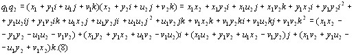
Это, разумеется, привычное нам тАЬпокоординатноетАЭ сложение. Далее, произведение кватернионов
и
вычисляется так:
Длинная, но совершенно автоматическая проверка показывает, что умножение кватернионов обладает сочетательным свойством:
![]()
Естественно считать, что действительные и комплексные числа являются частным случаем кватернионов. Так, действительное число x тАУ это кватернион вида
![]()
Комплексное число z = x + yi представляется как кватернион
![]()
У операции сложения кватернионов, очевидно, имеется обратная операция тАУвычитание. Именно, разность двух кватернионов
и
определяется формулой:
![]()
Если
, то разность кватернионов тАУ это нулевой кватернион.
Перейдем теперь к операции деления кватернионов, обратной к операции умножения. Вообще, что мы понимаем под частным от деления числа a на число b, не равное нулю? Это такое число c, что
bc = a. (10)
Так определяется частное от деления для действительных и комплексных чисел. К сожалению, для кватерниона применить непосредственно это определение мы не можем. Для того чтобы формула (10) тАЬкорректнотАЭ определяла частное, нужно, чтобы произведение не зависело от порядка сомножителей. В противном случае наряду с частным
определенным формулой (10), существует вполне равноправное тАЬлевоетАЭ частноетАЭ стАЩ, определяемое формулой
cтАЩb = a,
которое может отличаться от тАЬправого частноготАЭ c из (10). Вот здесь, кроме необходимости выйти за пределы трехмерного пространства, Гамильтону пришлось принести еще одну жертву.
Оказывается, определенные им новые числа тАУ кватернионы тАУ потеряли еще одно привычное качество: произведение кватернионов зависит от порядка сомножителей. Действительно, уже в формулах (6) при изменении порядка сомножителей произведение меняет знак.
Таким образом, можно говорить лишь о тАЬделении справатАЭ и тАЬделении слеватАЭ. Как реально найти, скажем, тАЬлевое частноетАЭ от деления кватерниона
на кватернион
?
Обозначим искомое частное через q = x + yi + uj + vk. Тогда, используя правило умножения для кватернионов и определение левого частного, получим следующее равенство кватернионов:
,
или
![]()
Полученное равенство равносильно системе четырех линейных уравнений с переменными x, y, u, v:

Аналогичным образом находится тАЬправое частноетАЭ от деления
на
.
Рассмотрим частный случай, когда делимое
равно единице. В этом случае частное от деления
=1 на кватернион
(и тАЬслеватАЭ и тАЬсправатАЭ) равно одному и тому же кватерниону
![]()
Поэтому кватернион p обозначается через
. Тогда тАЬправое частноетАЭ от деления кватерниона
на
выражается формулой
,
а тАЬлевое частноетАЭ от деления кватерниона
на
тАУ формулой
![]()
Практически частное от деления двух кватернионов ищется другим путем. Для этого нам потребуются
Скалярные и векторные кватернионыТак же как комплексные числа разлагаются в сумму своей действительной и мнимой частей, кватернион тоже можно разложить в сумму q = x + (yi + uj + vk). Первое слагаемое в этом разложении называется скалярной частью кватерниона, а второе тАУ векторной частью. Скалярная часть х тАУ это просто действительное число, а векторная часть может быть изображена вектором r = yi + uj + vk в трехмерном пространстве, где i, j, k мы теперь рассматриваем как единичные вектора прямоугольной системы координат.
Таким образом, каждый кватернион q представляется в виде суммы q = x + r, где x тАУ скалярная часть кватерниона q, а r тАУ векторная часть. Если r = 0, то q = x и кватернион q называется скалярным кватернионом. Если же x = 0, то q = r и q называется векторным кватернионом.
При сложении кватернионов независимо складываются их скалярные и векторные части.
При умножении дело обстоит сложнее. Если
и
тАУ скалярные кватернионы, то их произведение тоже скалярный кватернион. В случае, когда
= х тАУ скалярный кватернион, а
= r тАУ векторный кватернион, произведение
является векторным кватернионом, и операция умножения совпадает с умножением вектора r в пространстве на действительное число x.
И, наконец, если оба кватерниона векторные, то
![]()
Как видно из последней формулы, скалярная часть произведения ![]()
равна скалярному произведению
векторов
и
с обратным знаком. Векторная же часть ![]()
тАУ это наш старый знакомый тАУ векторное произведение
, записанное в координатах.
Объединяя все рассмотренные случаи, получим общую формулу для умножения кватернионов. Если
и
, то
![]()
Почему же Гамильтону не удалось найти способа умножения триплетов? Раньше уже было отмечено, что эту задачу решить нельзя. Доказано, что попросту не существует способа умножения точек пространства, удовлетворяющего нашим требованиям (ассоциативности, дистрибутивности относительно покоординатного сложения, возможности деления на ненулевые элементы). Сейчас, к тому же, известны все случаи, когда можно вести такое умножение. Это доказал немецкий математик Ф. Г. Фробениус (1849 тАУ 1917). По его словам, этих случаев три: в размерности один (действительные числа), в размерности два (комплексные числа) и в тАЬразмерности четыретАЭ (кватернионы).
Что было дальшеГамильтон и его последователи возлагали большие надежды на кватернионы. От кватернионов ожидали таких же результатов, как от комплексных чисел, и даже больше. И действительно, с помощью исчисления кватернионов были обнаружены совершенные в их математической красоте формулы, описывающие ряд важных физических явлений. Но дальнейшие надежды на развитие алгебраического и функционального исчисления кватернионов не оправдались.
Для кватернионов не имеет места основная теорема алгебры о существовании корней у многочлена с кватернионными коэффициентами, а, с другой стороны, существует такой многочлен с кватернионными коэффициентами от одной переменной, для которого любой кватернион является корнем.
Оптимизм сменился скепсисом. В начале нашего века математики перестали интересоваться кватернионами. Но время шло, и физики упорно искали математический формализм для некоторых эффектов, связанных с так называемым спином элементарных частиц. Кватернионы снова получили признание, когда была понята их роль в построении различных геометрических преобразований пространства, используемых в квантовой физике. Геометрические свойства кватернионов тАУ это особая большая тема.
Для этого будет посвящен другой реферат.
Использованная литература:
Квант. Изд. тАЬНаукатАЭ. Главная редакция физико-математической литературы, Москва, 1983(9).
Вместе с этим смотрят:
КибернетикаКластерный анализ в задачах социально-экономического прогнозирования
Колебания. Правила сложения колебаний
Комбинаторика