О развитии математики в XIX столетии. Гамильтон
Христиан Феликс Клейн
Гамильтон
Вильям Роуан Гамильтон родился в 1805 г. в Дублине. Как и Сальмон, он вышел из Тринити-колледжа, который блестяще окончил в ранней молодости. Уже в 1827 г. он получил почетную и видную должность директора обсерватории в Денсинке близ Дублина со званием королевского астронома Ирландии. Пост этот он сохранял до конца своей жизни (1865 г.)
Гамильтон обладал необычайной по блеску, многогранной одаренностью, замечательнейшим образом проявившейся уже в ранние его годы. В десятилетнем возрасте он наизусть знал Гомера, начал изучать арабский язык и санскрит; уже через несколько лет он знал тринадцать языков, которыми владел в совершенстве. При этом он имел столь же сильно развитые художественные наклонности; до самых поздних лет он был весьма плодовитым поэтом и в течение всей жизни находился в дружеских отношениях с Водсвортом. Тот, кто хотел бы поближе познакомиться с личностью Гамильтона и с историей его развития, с удовольствием прочтет толстую трехтомную биографию, опубликованную в 1882-1889 гг. Р.П. Грейвзом. Однако, будучи написана не математиком, она более посвящена Гамильтону как человеку, нежели как ученому. О конце жизненного пути Гамильтона в ней нет никаких подробностей. Как мне рассказывали в Дублине, в свои последние годы он вел себя странно, чтобы не сказать безумно; видимо, его слишком рано развившийся ум быстро перенапрягся и исчерпал себя раньше, чем об этом можно было бы подумать судя по его возрасту. Творчество Гамильтона обладает характерной чертой - всюду в его работах рассыпаны новые, остроумные наметки, которые затем теряются среди подробностей, так и не приводя ни к какому полному, завершенному результату.
Как и все прочее, математический творческий процесс начался у Гамильтона в очень раннем возрасте. Примерно с 1824 по 1825 г. он занимался проблемами геометрической оптики и аналитической механики. Его достижения в этих областях мы рассмотрим несколько позже.
Начиная с 1833 г. он все более углубляется в рассмотрение сущности алгебраической алгорифмики. Его идеи в этом направлении были впервые изложены в работе "Theory of conjugate functions or Algebraic Couples; with a preliminary and elementary essay on Algebra as the Science of pure time" ("Теория сопряженных функций или алгебраических пар; с предварительным и элементарным рассуждением об алгебре как науке о чистом времени"), опубликованной в 17-м томе "Transactions of Royal Irish Academy" за 1833 и 1836 гг. (см. стр 293 и далее).
Как это и следует из названия, понятие числа рассматривается здесь как нечто такое, для чего существенным является время, а не пространство, потому что сначала речь идет об одной лишь идее следования - мысль эта идет от Канта, но Гамильтон прослеживает ее несколько дальше. Количественное, пространственное, с точки зрения Гамильтона, входит в круг наших представлений лишь с введением вычитания, благодаря которому становится возможным измерение. Затем разбирается запись x + iy; действия над комплексными числами - как это теперь принято называть повсеместно - он трактует как оперирование по некоторым, вводимым по соглашению, правилам с числовыми парами (x, y). Вслед за этим идут общие аксиоматические рассмотрения, касающиеся обычных арифметических действий, похожие на более поздние конструкции Грассмана.
С этого времени Гамильтон с все большим интересом занимается вопросом о том, возможно ли - путем введения каких-либо новых комплексных чисел - перенести на случай пространства, т.е. на случай нашего обычного R3, оказавшуюся такой полезной геометрическую интерпретацию (на плоскости) действий над числами вида x + i y. Его неустанные усилия в конце концов привели его в 1843 г. к открытию кватернионов - специально устроенных четырехчленных чисел, исследованию и распространению которых он с этого момента полностью посвятил всего себя. Теория этих чисел изложена им в следующих двух обстоятельных трудах:
1. "Lectures on Quaternions" ("Лекции о кватернионах"), Дублин, 1853 г.
2. "Elements of Quaternions" ("Элементы теории кватернионов"), Лондон, 1866 г. (посмертное издание).
Очень скоро в математическом Дублине интерес к кватернионам стал превалировать над всем остальным; по ним был установлен специальный экзамен, и без их знания немыслимо было окончание колледжа. Сам Гамильтон сделал их чем-то вроде ортодоксальной части своего математического кредо и подгонял под них все свои геометрические и прочие интересы тем сильнее, чем больше к концу жизни стоновился односторонним и омрачался действием алкоголя его ум.
Как я уже отмечал, вокруг Гамильтона сложилась школа, которая в своей жесткости и нетерпимости превзошла даже своего учителя. Она ничего не могла вызвать, кроме противодействия, и потому кватернионы - например, в Германии - встречали упорное сопротивление со стороны большинства математиков, пока они все-таки кружным путем, через физику, не проникли в виде векторного анализа, необходимого в первую очередь в динамике. И если бы нам нужно было высказать о них сегодня наше суждение, то пришлось бы сказать нечто вроде того, что кватернионы хороши и полезны на своем месте, но что все же они не имеют такого значения, которое имеют обычные комплексные числа.
И если теперь я расскажу о кватернионах - как я их уяснил себе с течением времени - несколько более подробно, то я буду придерживаться при этом привычных нам идей и буду сознавать, что я не только становлюсь на точку зрения, резко противоположную позиции гамильтонианцев, учитель которых придал всоему открытию совсем другой внешний облик, но что с точки зрения этой партии я и сейчас не имею права называть кватернионами то, о чем я собираюсь говорить (и что более подробно изложено в первой тетради "Теории волчка"). Однако я слишком часто убеждался в тщетности попыток добиться здесь какого-либо взаимопонимания, чтобы принимать в расчет эти возражения.
Я буду исходить из геометрической интерпретации чисел вида x + i y на плоскости. Как известно, число x + i y обозначает как точку с координатами x и y, так и отрезок, соединяющий эту точку с началом координат. Сложение
(x + i y) + (a + i b) = (x + a) + i (y + b)
изображается сложением двух направленных отрезков, а значит, может быть интерпретировано как параллельный перенос всей плоскости на отрезок (a + i b). Умножение же
![]()
вызывает вращение плоскости вокруг начала координат на угол
с одновременным удлинением всех отрезков в отношении
, то есть является сочетанием гомотетии с вращением, или, как мы будем говорить, - растяжением с вращением (Drehstreckung).
Таким образом, сложение и умножение, взятые совместно, охватывают совокупность всех возможных движений плоскости и даже - с учетом растяжения - несколько больше. Отсюда и вытекает целесообразность применения в вопросах метрической геометрии алгебраических вычислений с привычными для нас комплексными числами.
А теперь возникает вопрос о том, каким образом при помощи надлежащих действий над какими-нибудь комплексными числами более высокого типа могут быть изображены соответствующие преобразования в случае пространства. Для начала можно попытаться рассмотреть какое-нибудь трехчленное выражение, обозначая посредством
точку с координатами x, y, z или же отрезок - а мы говорим: вектор, соединяющий эту точку с началом координат. (Термин "вектор" впервые появляется у Гамильтона, в "Quarterly Journal", 1845, т. I, стр. 56.).
Как и в случае плоскости, сложение двух таких векторов изображает параллельный перенос пространства. Но с умножением дело обстоит иначе. Именно, вращение вокруг начала координат в пространстве определяет некоторую ось, и потому растяжение с вращением, которое в случае плоскости требовало двух констант, в пространстве может быть охарактеризовано лишь четырьмя параметрами:
два из них определяют направление оси вращения:
, причем
;
один описывает угол поворота и
один описывает растяжение r.
Гамильтон строит четырехчленный агрегат - кватернион:
![]()
Чисто числовую часть t этого кватерниона он называет скалярной, а направленную часть ix + jy + kz - векторной частью кватерниона. Чистый вектор получается при
, откуда следует, что в этой теории он может быть истолкован двумя способами: 1) как отрезок; 2) как растяжение с вращением на 1800, которое мы, чтобы быть последовательными, назовем "растяжением с перевертыванием" ("Klappstreckung").
Пункт 2) еще раз объясняет нам, почему для того, чтобы изобразить растяжение с вращением в пространстве, недостаточно чистого вектора (трехчленного выражения): такой вектор мог бы описывать поворот только на 1800; для поворота на произвольный угол требуется именно кватернион с его скалярной частью.
Весьма примечательно, что задача описания общего растяжения с вращением в случае пространства, то есть задача композиции двух таких преобразований, была почти в то же самое время (в 1840 г.) решена Олиндом Родригесом (см. Журнал Лиувилля, т. 3), который исходил из совершенно иной точки зрения. Но еще более поражает, что, как показало рукописное наследие Гаусса, он обладал этим решением уже в 1819 г. На стр. 357 и следующих восьмого тома его "Трудов" имеются заметки об этом преобразовании, которое он называет "мутацией" пространства.
Однако в то время как все упомянутые авторы, складывая два растяжения с вращением, опираются на геометрические соображения, Гамильтон начинает с чисто формального умножения своих кватернионов, подчиняя его определенным правилам. Как и Грассман, он отказывается от коммутативности умножения, полагая
i2 = j2 = k2 = -1,
jk=i, ki=j, ij=k,
kj=-i, ik=-j, ji=-k
Что же касается остального, то его умножение дистрибутивно, так что
(d+ia+jb+kc)(t+ix+jy+kz)=
=dt-ax-by-cz+i(at+dx+bz-cy)+
+j(bt+dy+cx-az)+k(ct+dz+ay-bx)
Векторы, в частности, перемножаются следующим образом:
(ia+jb+kc)(ix+jy+kz)=
=-(ax+by+cz)+i(bz-cy)+j(cx-az)+k(ay-bx)
Абсолютная, скалярная часть этого кватерниона по терминологии, идущей от Грассмана, называется внутренним произведением двух исходный векторов, а векторная часть - их внешним произведением. Таким образом, внутреннее произведение представляет собой скаляр, а внешнее - вектор.
Я хотел бы сразу же обратить внимание на три важных различия, имеющихся между грассмановым комбинаторным произведением и гамильтоновским подходом:
1. У Грассмана произведение двух единиц eiej не выражается через основные единицы. У Гамильтона же, напротив, эти произведения являются функциями - причем даже линейными - исходных единиц. Величины высших порядков у него не появляются. В результате всего этого постановка вопроса о построении системы высших комплексных чисел становится несколько иной. Вычисления с кватернионами можно мыслить себе с произвольным повторением операций сложения и умножения, что в грассмановой системе не допускается.
2. Грассман с самого начала движим интересом к n-мерному пространству, чего совершенно нет у Гамильтона.
3. У Гамильтона по сравнению с Грассманом есть, однако, одно дополнительное понятие - понятие поля - делающее кватернионы важными с точки зрения физики.
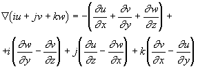
Обе части кватерниона Гамильтон рассматривает как функции точки; он представляет себе, что к каждой точке пространства приложен кватернион, то есть скаляр и вектор. К такому полю кватернионов
t(x,y,z)+iu(x,y,z)+jv(x,y,z)+kw(x,y,z)
он применяет определенные операции, в результате чего возникают новые поля. Операции эти Гамильтон, следуя специальной, разработанной в Кембридже методике, изображает с помощью так называемых "символических обозначений". Скажем, теорему Тейлора в кембриджской школе принято было записывать в виде
![]()
где выражение
полагалось мыслить расписанным по правилу разложения показательной функции в ряд, а входящие в него произведения
означали частные производные
.
Применяя этот способ и здесь, Гамильтон строит из частных производных по координатам точки поля так называемые символические "операторы". Важнейшим из них является оператор, обозначенный Гамильтоном знаком
и названный им, вследствие сходства с одним древним музыкальным инструментом, "наблой":
![]()
Формально с этой наблой обращаются так, как если бы она была вектором. Будучи применена к полю кватернионов, она немедленно приводит к ряду важнейших понятий векторного анализа. Так, например, если t - скаляр, то
![]()
является вектором, "градиентом t", указывающим в каждой точке величину и направление наибольшего возрастания t.
Будучи применена к вектору iu+jv+kw, операция
дает кватернион

Скалярная часть этого кватерниона называется дивергенцией поля, а векторная - его вихрем.
Попытка разъяснить здесь то исключительное значение, которое понятия эти имеют для физики, завела бы нас слишком далеко. Я укажу лишь, что двукратное применение оператора
к скаляру приводит к скаляру
![]()
играющему фундаментальную роль в теории потенциала.
Легкость и изящество, с которыми получаются здесь глубочайшие по своему содержанию теоремы, действительно поразительны. Этим и объясняется восхищение кватернионистов своей системой, восхищение, которое отвергало все остальное и, как уже отмечалось, вскоре вышло за пределы разумного настолько, что стало наносить ущерб не только математике в целом, но и самой теории кватернионов. Такому развитию событий способствовал и доведенный до совершенства, с благоговейным почитанием возделываемый формализм. Возникли большие надежды на дальнейшее планомерное развитие этой теории по привычным математическим образцам. К построенному на основе четырех арифметических действий исчислению кватернионов должна была примкнуть алгебра с подробно разработанной теорией уравнений вида P(x1, x2, .., xn)=0, где P(x1, x2, .., xn) - многочлен, зависящий от кватернионов x1, x2, .., xn. Конечной целью явилось - и остается поныне - построение теории функций кватернионов, от которой ждали совершенно новых, необычных по своему охвату открытий общематематического значения. Чтобы содействовать достижению этой цели, не очень определенной, но принятой с верой в нее, в 1895 г. был даже основан ВлВсемирный союз в поддержку кватернионовВ»! Независимо даже от того, что всегда более правильно скептически относиться к такого рода культивированию и насаждению какого-либо одного научного направления, теперь уже можно с определенностью утверждать, что предприятие это должно считаться потерпевшим крушение или, во всяком случае, бесплодным. Следование по набросанному выше пути - который претендовал на новизну, хотя фактически сводился к почти буквальному перенесению давно известных идей на один-единственный объект и, значит, вообще не содержал в себе никакой гениальной концепции - повело ко всякого рода обобщениям известных теорем, которые при такой общности теряли свою специфику и становились беспредметными. Только в отдельных случаях получились частные результаты, доставляющие известное удовлетворение. Так, например, оказалось, что в области кватернионов не имеет места основная теорема алгебры, зато каждый кватернион удовлетворяет некоторому кубическому уравнению.
Критика; матричное исчисление Кэли.
Однако, упрямо следуя намеченным путем, кватернионисты упустили из виду более глубокие проблемы, представлявшие для науки действительный интерес. Так, из-за своей предвзятости они не поняли того простого факта, что, кинув на сложившуюся ситуацию взгляд сверху, они приобрели бы отчетливое представление относительно границ области, где применение их теории является плодотворным, и что вместе с этими ораничениями они получили бы и четкие указания относительно ведущего к успеху пути.
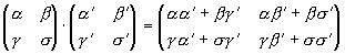
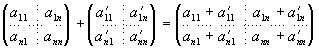
Этим более глубоким осознанием создавшегося положения вещей мы обязаны Кэли. В своей работе ВлA Memoir on the Theory of MatricesВ» (ВлМемуар по теории матрицВ»; Philosophical Transactions, 1858) он развил некоторое матричное исчисление, имеющее дело с 4-, 9-, 16-, n2- членными комплексными числами и в качестве частного случая охватывающее также и кватернионы. Действия над матрицами отталкивалются у Кэли от очень простой идеи, состоящей в том, что с матрицами, возникающими в теории линейных подстановок, следует обращаться по правилам, инспирированным этой теорией. Соответственно этому сложение двух матриц должно осуществляться сложением соответствующих их элементов:
![]()
Умножение же матриц производится последовательным выполнением представляемых ими подстановок, то есть по хорошо известному правилу умножения определителей. В случае, когда n = 2,
![]()
Правило перемножения кватернионов содержится в этом правиле в качестве частного случая.
В самом деле, будем понимать под i обычный квадратный корень из -1 и положим
![]()
так что определитель
окажется равным ![]()
Положим соответственно
![]()
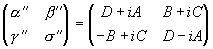
и выполним умножение по указанному правилу, принимая во внимание, что i2=-1. Тогда получится некоторая новая матрица, имеющая вид
![]()
где четыре величины A, B, C и D имеют следующие значения:
A = dx + at + bz - cy
B = dy - az + bt + cx
C = dz + ay - bx + ct
D = dt - ax - by - cz
Таким образом, мы действительно по двум кватернионам d+ix+jy+kz и t+ix+jy+kz построили третий, который получается из них умножением по Гамильтону.
Результат этот, поначалу кажущийся неожиданным, при ближайшем рассмотрении оказывается абсолютно понятным, если исходить из геометрического существа рассматриваемой ситуации. Поскольку действия над кватернионами тем самым представляют собой не что иное, как оперирование с бинарными линейными подстановками, мы можем заключить, что для плодотворного применения кватернионов характерным является случай, когда в рассмотрении участвуют такого рода подстановки. Это объясняет, в частности, почему кватернионы так полезны в теории растяжений с вращением. Каждое растяжение с вращением оставляет неподвижной мнимую сферическую окружность, то есть геометрический образ, точки которого рационально выражаются через один-единственный параметр
. Поэтому, если записать
в однородном виде
, то при растяжении пространства с одновременным его вращением параметры
,
подвергаются бинарной линейной подстановке.
Сходным образом объясняется и блеск, с которым кватернионы применяются в теории относительности. Здесь инвариантной оказывается поверхность второго порядка
в R4. Эта поверхность несет два семейства прямых, каждое из которых описывается одним параметром
или
. При растяжении с вращением каждый из этих параметров подвергается бинарной линейной подстановке.
Вместе с этим смотрят:
10 способов решения квадратных уравнений