Интерполяционный многочлен Лагранжа
Лабораторная работа
Выполнил: Евгений
2003 год
Интерполирование и экстраполирование данных.
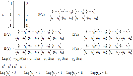
Многочлен Лагранжа, принимающий заданные значения в узловых точках имеет вид:

Задание . Восстановить многочлен Лагранжа, удовлетворяющий приведенным исходным данным.
![]() |
Пример:
Варианты:
| 1). | 0 | 1 | 2 | 5 |
| |||||
|
| 2 | 3 | 12 | 147 |
| |||||
| 2). | -2 | 1 | 2 | 4 |
| |||||
|
| 25 | -8 | -15 | -23 |
| |||||
3). | -2 | -1 | 0 | 1 | 2 | ||||||
| 6 | 0 | 2 | 0 | 6 | ||||||
| 4). | 0 | 1 | 2 | 5 |
| |||||
|
| 3 | 4 | 13 | 148 |
| |||||
| 5). | -2 | 1 | 2 | 4 |
| |||||
|
| 26 | -7 | -14 | -22 |
| |||||
6). | -2 | -1 | 0 | 1 | 2 | ||||||
| 5 | 0 | 1 | 0 | 5 | ||||||
| 7). | -1 | 0 | 1 | 4 |
| |||||
|
| 2 | 3 | 12 | 147 |
| |||||
| 8). | 1 | 2 | 3 | 6 |
| |||||
|
| 2 | 3 | 12 | 147 |
| |||||
| 9). | -3 | 0 | 1 | 3 |
| |||||
|
| 25 | -8 | -15 | -23 |
| |||||
| 10). | -1 | 2 | 3 | 5 |
| |||||
|
| 25 | -8 | -15 | -23 |
| |||||
11). | -3 | -2 | -1 | 0 | 4 | ||||||
| 6 | 0 | 2 | 0 | 6 | ||||||
12). | -1 | 0 | 1 | 2 | 3 | ||||||
| 6 | 0 | 2 | 0 | 6 | ||||||
| 13). | 2 | 3 | 4 | 7 |
| |||||
|
| 2 | 3 | 12 | 147 |
| |||||
| 14). | -2 | -1 | 0 | 3 |
| |||||
|
| 2 | 3 | 12 | 147 |
| |||||
| 15). | -4 | -1 | 0 | 2 |
| |||||
|
| 25 | -8 | -15 | -23 |
| |||||
| 16). | 0 | 3 | 4 | 6 |
| |||||
|
| 25 | -8 | -15 | -23 |
| |||||
| 17). | -1 | 0 | 1 | 4 |
| |||||
|
| 3 | 4 | 13 | 148 |
| |||||
| 18). | 1 | 2 | 4 | 6 |
| |||||
|
| 1 | 2 | 34 | 146 |
| |||||
| 19). | -3 | 0 | 1 | 3 |
| |||||
|
| 26 | -7 | -14 | -22 |
| |||||
| 20). | -1 | 2 | 3 | 5 |
| |||||
|
| 26 | -7 | -14 | -22 |
| |||||
21). | -3 | -2 | -1 | 0 | 1 | ||||||
| 7 | 1 | 3 | 1 | 7 | ||||||
22). | -1 | 0 | 1 | 2 | 3 | ||||||
| 5 | -1 | 1 | -1 | 5 | ||||||
23). | -1 | 0 | 1 | 2 | 3 | ||||||
| 2 | 1 | 0 | 1 | 10 | ||||||
| 24). | -2 | -1 | 0 | 1 |
| |||||
|
| 1 | 6 | 5 | 4 |
| |||||
| 25). | -3 | -2 | -1 | 0 |
| |||||
|
| 40 | 27 | 12 | 1 |
| |||||
26). | -2 | -1 | 0 | 1 | 2 | ||||||
| -27 | -4 | -1 | -6 | -7 | ||||||
| 27). | -1 | 0 | 1 | 2 |
| |||||
|
| -5 | -10 | -1 | 34 |
| |||||
28). | -2 | -1 | 0 | 1 | 2 | ||||||
| 16 | -1 | 0 | 1 | 8 | ||||||
29). | -2 | -1 | 0 | 1 | 2 | ||||||
| -23 | -6 | 1 | -2 | 9 | ||||||
| 30). | 1 | 2 | 3 | 4 |
| |||||
|
| 1 | 2 | 13 | 40 |
| |||||
Вместе с этим смотрят:
10 способов решения квадратных уравнений
