Гипотеза о природных причинах стационарных орбит атома водорода
Анатолий Рыков
Основные положения теории гравитации и инерции
Теория основана на хорошо известном факте ВлпревращенияВ» фотона с энергий 1 МэВ в пару электрон тАУ позитрон. Необходимо предупредить, что имеется замечательное совпадение: энергия фотона почти точно соответствует существующему определению классического радиуса электрона:
Re = ξ (e02 / mec2) = 2,81794334В·10тАУ15 [m],
а энергия mec2 ≈ 0,5MeV. Совпадение порождает естественное подозрение на использование автором тавтологии, не имеющей физического смысла. Но это не так в силу опытного факта превращения фотона в пару электрон тАУ позитрон. В статье [1] получена электрическая безмассовая структура физического вакуума с дипольным расстоянием re = 1,3987632В·10тАУ15 [m] и предельно возможная деформация диполя Δrrb = 1,02072687В·10тАУ17 [m], удвоенная сумма которых точно равна классическому радиусу электрона. Причина в том, что энергия фотона Влкрасной границыВ» для вакуума в 2 раза больше энергии масс электрона и позитрона.
Другим важным обстоятельством гипотезы о природе гравитации есть то, что причиной притяжения всех тел друг к другу является слабая разность элементарных зарядов (+) и (тАУ) в диполе. По законам индукции Фарадея и сил Кулона все тела притягиваются друг к другу поляризуемым зарядом дипольной структуры среды, а свойства инерции заключается в свойстве среды сопротивляться любым ускорениям материальных тел.
Эта исключительно важная среда существования вещества в природе позволила опубликовать статью [ 2], которую можно принять как частную программу развития физических знаний об устройстве природы.
Модель атома водорода по Н. Бору
Обратимся к истокам начал квантовой механики, положеннымВа Н. Бором (1885..1962) в форме модели атома водорода, которая получила блестящее подтверждение в спектральных исследованиях излучения водорода. Кратко напомним основные положения работы Н. Бора.
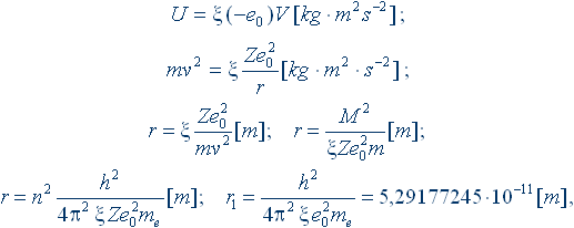
Энергия Е электрона в атоме, исходя из классической физики, складывается из кинетической энергии Т и потенциальной электрической энергии U: Е = Т + U. Отметим, что в область микромира вторглась классическая физика, которой в настоящее время приписывается множество ВлгреховВ». Потенциальная энергия U = (тАУe0)V; заряд ядра Ze0; Для кругового движения:

Полная энергия отрицательна. Разрешенные радиусы:

Отметим интересное обстоятельство появления отрицательной энергии электронов в атомах. Это понятие возникло исключительно из-за отрицательного знака заряда электрона, который носит условный характер, определенный человеком. Указанные формулы написаны в системе СГС. Перевод формул в менее запутанную систему СИ дает следующее написание:

где r1 тАУ радиус первой орбиты в атоме водорода, n = 1, 2, 3, .. тАУ квантовые числа, соответствующие номерам стационарных орбит у водорода.
Везде в формулах оказалась электрическая константа
ξ = 8,98755179В·109 [m3kgВ·aтАУ2sтАУ4],
которая есть обратная величина привычной электрической проницаемости вакуума.
Итак, модель атома Бора пришла в противоречие с существовавшей тогда классической физикой.
Согласно классике, электрон, двигающийся с центростремительным ускорением, обязан излучать электромагнитную энергию.
В атоме существуют стационарные круговые орбиты, на которых не происходит излучение электронов, и они не падают на ядро в результате расхода энергии.
Сделан вывод, что рожденная таким образом квантовая механика противоречит классической физике в микро мире. Сложилась странная ситуация, в результате которой появился барьер в физике, изучающей единую и неделимую природу. Квантовая механика находит правила устройства микромира и не отвечает на такие вопросы, тАУ что мешает излучению электронов, находящихся на стационарных орбитах? Излучение или поглощение электромагнитных волн электронами в атомах происходит только при их переходах между стационарными орбитами.
Посмотрим, что дает среда существования вещества классической физике и квантовой механике тАУ физический вакуум, имеющий электрическую структуру, погруженную в магнитный (массовый) континуум. В основных чертах эта среда отвечает механической модели, использованной гениальным Максвеллом при выводе своих формул, безотказно работающих до сего времени. Важным элементом понимания сущности инерции является ее возникновение как сопротивление дипольной среды ускоренному движению:
f = bΔra ~ ma,
где b = ξ (e02 / Δrrbre2) = 1,155406В·1019 [kgВ·sтАУ2] тАУ электрическая упругость диполя структуры вакуума, ra тАУ деформация диполя структуры под действием силы инерции тела массы m и ускорения а. Знак пропорциональности Вл~В» использован из понимания того, что тело взаимодействует не с одним диполем структуры, а с некоторым кластером или доменом структуры вакуума. Для того, чтобы устранить кажущееся противоречие между классической физиков и КМ, необходим логический вывод: на стационарных орбитах электроны движутся без инерции. Нет центробежной и нет центростремительной сил, создающих классическое ускорение. Существуют такие орбиты или пути движения частиц (электронов) в структуре вакуума, которые не обладают сопротивлением ускоренному движению. В этом отношении круговое движение электронов, обладающих зарядом (электрической напряженностью) и собственным магнитным моментом, а также магнитным моментом вращательного движения, подобно вращению генератора Рощина тАУ Година [ 3], в котором все указанные элементы существуют. На опыте генератора происходило уменьшение инерции и веса ротора.
Перейдем к параметрам вакуума. Наиболее важным является то, что константа Планка полностью определяется основными параметрами структуры среды:
h = 2π e02αтАУ1√(ξ / η) [JВ·s].
Здесь появилась магнитная константа вакуума
η = 1В·107 [mтАУ1kgВ·a2s2]
как обратная величина магнитной проницаемости и постоянная тонкой структуры
αтАУ1 = 137,035999.
Подстановка h в формулу для первой орбиты водорода дает:
r1 = (1/η)В·(e02αтАУ2 / me).
Орбита зависит от элементарного заряда структуры среды, ее магнитной константы и наиболее фундаментальной величины нашей Вселенной тАУ постоянной тонкой структуры. Массу электрона можно заменить на другие параметры среды:
me = (1/η)В·[e02 / 2(re + Δrrb)];
в результате получим, что:
r1 = 2αтАУ2(re + Δrrb) = 5,29177245В·10тАУ11 [m].
Радиус первой орбиты определяется только величиной постоянной тонкой структуры и основными метрическими характеристиками среды. Очевидно, совпадение Re = 2(re + Δrrb), однако могут быть отклонения величины Δr от Δrrb, так как их полная идентичность не установлена. Выше было дано замечание о совпадении классического радиуса с выводами из равенства энергий фотона и электрона тАУ позитрона.
При каких условиях сопротивление среды ускорению равно нулю? Возможно только одно: в условии инерции f = bΔra ~ ma отсутствует ускорение и Δra = 0. Это означает, что движение частиц вообще и электрона в частности может происходить так, что частица не взаимодействует с решеткой вакуума, двигаясь строго по существующему точному кругу или сфере зарядов одного знака (для электрона ВлтАУВ»). При этом нет ни гравитации, ни инерции. Гравитация и инерция возникают только при движении частиц и макро тел с пересечением электронной структуры вакуума. Для частиц, двигающихся от заряда к заряду одинакового знака, в общем случае характерна криволинейная траектория в отличие от движения частиц по избранным круговым траекториям. Круговые траектории располагаются на сфере, проходящей через заряды диполей одного знака. Задача нахождения сфер в решетке вакуума разрешима на основе обычной геометрии в пространстве. Криволинейные пути частиц ассоциируются с волнами Де Бройля λ = h / mV и наиболее простой формой траектории будет винтообразное движение с малой амплитудой.
Выводы
Нет и не должно быть противоречий в классической физике и в ее современном виде. Природа едина для всех разделов науки. Это единство основано на среде обитания вещества.
Структура вакуума удовлетворяет условиям КМ в ее истоках. Дает решение таких проблем как механизмы гравитации и инерции.
Рыков А.В. Гипотеза о природе гравитации // Письма в ВлФизическая мысль РоссииВ», МГУ, М.: 2001, №1, стр. 59..63.
Рыков А.В.Ва Среда обитания вещества в Природе.Ва НиТ, 2003.
Рощин В.В., Годин С.М.Ва Экспериментальное исследование нелинейных эффектов в динамической магнитной системе.Ва НиТ, 2001.
Вместе с этим смотрят:
10 способов решения квадратных уравнений