Асимптотические методы исследования нестационарных режимов в сетях случайного доступа
Томский государственный университет
Факультет прикладной математики и кибернетики
Кафедра теории вероятности и математической статистики
ДОПУСТИТЬ К ЗАЩИТЕ В
ГАК
Зав. каф. ТВ и МС, д-р тех. наук, профессор
____________
Вл__В» ________ 2002г.
АСИМПТОТИЧЕСКИЕ МЕТОДЫ ИССЛЕДОВАНИЯ НЕСТАЦИОНАРНЫХ РЕЖИМОВ В СЕТЯХ СЛУЧАЙНОГО ДОСТУПА
(Дипломная работа)
Научный руководитель
д-р тех. наук, профессор
__________
Автор работы
__________
Томск 2002
Содержание
ВведениетАжтАжтАжтАжтАжтАжтАжтАжтАжтАжтАжтАжтАжтАжтАжтАжтАжтАжтАжтАжтАжтАжтАжтАжтАжтАжтАжтАж. 3
1. Исследование нестационарной сети случайного доступа с динамическим протоколом в условиях большой загрузки тАжтАжтАжтАж... 6
2. Исследование неоднородной нестационарной сети случайного
доступа с динамическим протоколом в условиях перегрузкитАжтАжтАж.. 19
3. Исследование нестационарной сети случайного доступа со
статическим протоколом в условиях большой задержкитАжтАжтАжтАжтАж.. 28
4. Исследование стационарного режима в сети с динамическим протоколом случайного множественного доступа для конечного
числа станцийтАжтАжтАжтАжтАжтАжтАжтАжтАжтАжтАжтАжтАжтАжтАжтАжтАжтАжтАжтАжтАжтАжтАж. 41
4.1. Асимптотический анализ распределения вероятностей состояний сетитАжтАжтАжтАжтАжтАжтАжтАжтАжтАжтАжтАжтАжтАжтАжтАжтАжтАжтАжтАжтАжтАжтАжтАж.. 45
4.2. Численный метод анализа распределения вероятностейтАжтАжтАж. 52
4.3. Определение области применимости асимптотических формул 55
ЗаключениетАжтАжтАжтАжтАжтАжтАжтАжтАжтАжтАжтАжтАжтАжтАжтАжтАжтАжтАжтАжтАжтАжтАжтАжтАжтАж.. 60
Список использованной литературытАжтАжтАжтАжтАжтАжтАжтАжтАжтАжтАжтАжтАжтАжтАжтАж. 62
Введение
В последнее время во многих областях производства возникает необходимость использования процессов распределенной обработки информации, причем на самых различных уровнях: от отдельного учреждения до целой сети предприятий, охватывающей огромные расстояния. Поэтому вполне естественно наблюдаемое ныне бурное развитие сетей связи, позволяющих соединять в единые системы различные устройства вычислительной техники. При этом научные исследования, направленные на улучшение функционирования сетей, ведутся в двух направлениях: повышения физических характеристик канала передачи и создания эффективных сетевых протоколов, позволяющих использовать физические возможности канала оптимальным образом.
При оптимизации и проектировании сетей передачи данных наиболее действенным инструментом является использование математического моделирования. Для того чтобы исследовать уже существующие сети связи специалисты по сетям используют различные анализаторы протоколов, но такие методы не позволяют получать вероятностно-временные характеристики для еще не существующих сетей, находящихся на стадии проектирования. В этих случаях необходимо использовать средства моделирования, с помощью которых разрабатываются адекватные модели, описывающие процессы, протекающие в сетях, и проводится всесторонний анализ этих процессов.
Исследование поведения систем связи из-за случайных влияний возможно только с помощью случайных процессов [1]. Выбор случайных процессов, используемых для описания и анализа систем, зависит от структуры и типа системы, от предположений о независимости или зависимости случайных величин, от вида их функций распределения. Поэтому для исследования таких систем часто используется аппарат теории массового обслуживания [2]. Использование этого аппарата позволяет построить математические модели изучаемой сети связи [3] и провести теоретические исследования параметров функционирования реальной системы.
В классической литературе различают два основных класса систем массового обслуживания [2]: системы с потерями (без очереди) и системы с ожиданиями, а также комбинация этих двух типов тАУ система с ожиданием и потерями (например, система с ограниченным числом мест для ожидания в бункере) [4]. Математические модели спутниковых сетей связи с протоколами случайного множественного доступа формируют третий класс СМО тАУ системы с повторными вызовами. Развитие сетей с множественным доступом началось с появления работы Абрамсона, в которой описано функционирование территориально-распределенных терминалов, соединенных центральной ЭВМ по радиоканалам. Эта система получила название ALOHA. Особенностью протоколов множественного доступа является то, что на множестве станций не вводится изначальной строгой очередности. Каждая станция после появления у нее готового пакета вправе его передавать сразу же, как только обнаружит канал свободным. При этом не исключена возможность, что она попадет в конфликт, то есть ее пакет столкнется с пакетом другой станции. В подобных случаях станция прекращает передачу и генерирует случайную задержку, после которой вновь пытается занять канал.
Асимптотические методы [5] играют важную роль при исследовании различных математических моделей, в том числе таких, которыми описывается функционирование различных типов систем массового обслуживания. Точные формулы для решений удается получить, как правило, лишь в исключительных ситуациях, характеризующихся наложением ограничений на статистическую природу процессов, управляющих системой (таковыми обычно являются входящий поток требований и процесс обслуживания). Однако часто, применяя различные асимптотические методы можно получить удовлетворительное для практики приближенное (асимптотическое) решение задачи при весьма широких предположениях относительно входа и обслуживания даже при отсутствии явного вида распределений характеристик.
Говоря об асимптотических методах, асимптотическом решении и т. д., мы предполагаем, что исследуемая система (или исследуемый процесс, связанный с функционированием системы) характеризуется наличием (одного или нескольких) параметра , имеющего определенный физический смысл, значение которого близко к некоторому ВлкритическомуВ» значению
. В каждом конкретном случае параметр , его предельное значение
и характер приближения к
имеют вполне определенный смысл, вытекающий из постановки задачи. Часто таким параметром считают время t, и нас интересует поведение тех или иных характеристик СМО в достаточно удаленный от начала момента функционирования системы момент времени. В СМО существенное значение имеет поведение загрузки системы, особенно когда загрузка стремится к критической. Асимптотический метод применяется, если интенсивность повторения заявки в системах с повторными вызовами стремится к нулю. Во всех случаях можно найти асимптотическую плотность распределения вероятностей основных стохастических параметров, обусловливающих функционирование исследуемой системы.
В качестве предельных процессов в теории массового обслуживания чаще других возникают диффузионные марковские процессы [6].
Предложенный метод анализа марковизируемых систем [7] обычно имеет два этапа. На первом этапе удается определить асимптотическое среднее исследуемых характеристик системы, а на втором тАУ распределение вероятностей значений отклонений рассматриваемых характеристик от их асимптотических средних.
1. Исследование нестационарной сети случайного доступа с динамическим протоколом в условиях большой загрузки
Рассмотрим спутниковую сеть связи, управляемую динамическим протоколом случайного множественного доступа с оповещением о конфликте. Архитектура такой сети состоит из большого числа территориально-распределенных абонентских станций (АС), которые передают сообщения через геостационарный спутник-ретранслятор. Так как спутниковый канал связи совместно используют все АС, то возможно совпадение времени ретрансляции сообщений от двух или более АС, при этом сообщения искажаются и требуют повторной передачи. Такая ситуация называется конфликтом. Предполагается, что спутник-ретранслятор имеет возможность обнаружения возникающих конфликтов и реализации сигнала оповещения. Абонентские станции способны воспринимать (идентифицировать) сигнал оповещения о конфликте, так, чтобы в каждой АС по прошествии заданного времени распространения сигнала можно было определить, правильно приняты переданные сообщения или нет.
Сообщения, поступающие на спутник-ретранслятор во время распространения сигнала оповещения о конфликте, считаются искаженными. Все искаженные сообщения поступают в источник повторных вызовов (ИПВ). После определения АС того, что посланное сообщение попало в конфликт, АС производит случайную задержку, после которой вновь реализует передачу. В динамическом протоколе предлагается использовать случайную задержку повторной попытки, распределенную экспоненциально с параметром, зависящим от количества сообщений, находящихся в ИПВ. Динамические протоколы, как правило, не реализуемы. Но могут приближенно оценивать функционирование адаптивных протоколов, в которых количество заявок в ИПВ заменяется некоторым оценочным числом.
В качестве математической модели сети связи, управляемой динамическим протоколом случайного множественного доступа с оповещением о конфликте, рассмотрим однолинейную СМО. Прибор (спутник-ретранслятор) может находиться в одном из трех состояний:

Каждая заявка в момент поступления в систему встает на прибор и немедленно начинает обслуживаться. Если за время ее обслуживания другие заявки не поступали, то она после окончания обслуживания покидает систему и в дальнейшем не рассматривается. Если же за время ее обслуживания поступает другая заявка, то возникает конфликтная ситуация и начинается этап оповещения о конфликте, длительность которого распределена по экспоненциальному закону.
Заявки, попавшие в конфликт, а также поступающие в систему во время оповещения о конфликте, автоматически переходят в источник повторных вызовов (ИПВ). Из него они вновь обращаются к прибору с попыткой повторного обслуживания через случайные интервалы времени, распределенные по экспоненциальному закону с параметром
(i тАУ число заявок в ИПВ в момент времени t), и могут вновь попасть в конфликтные передачи. После успешной передачи заявка покидает систему.
Время обслуживания распределено по одному и тому же показательному закону с параметром
, как для первичных, так и для повторных вызовов.
Будем считать, что на вход системы поступает простейший поток заявок с параметром
. Структура такой СМО имеет вид рис. 1.1.
Состояние рассматриваемой системы определим вектором
, изменение во времени которого образует однородный дискретный двумерный марковский процесс
с бесконечным числом состояний.
![]() | ||||||||||||
![]() | ||||||||||||
![]() | ||||||||||||
Рис. 1.1 тАУ Модель системы массового обслуживания
Математическая модель исследуемого протокола множественного доступа построена, проведем ее анализ, получим аналитические выражения, определяющие зависимости для основных ее характеристик.
Для исследования процесса
введем следующие обозначения
,
вероятность того, что в момент времени t прибор находится в состоянии k и в ИПВ находится i заявок.
Рассмотрим вероятности переходов из состояния системы
в произвольный момент времени t в состояние
за бесконечно малый интервал времени
.
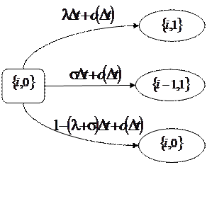
1. Пусть система находится в состоянии
, то есть в ИПВ находится i заявок и прибор свободен, за интервал времени
состояние системы может измениться таким образом (рис. 1.2):
а) с вероятностью
из входящего потока требований поступит новая заявка, которая немедленно займет прибор и начнет обслуживание, тогда система в момент времени
будет находиться в состоянии
;
б) с вероятностью
к прибору обратится одна из i заявок, находящихся в ИПВ и система перейдет в состояние
;
в) с вероятностью
состояние системы не изменится.
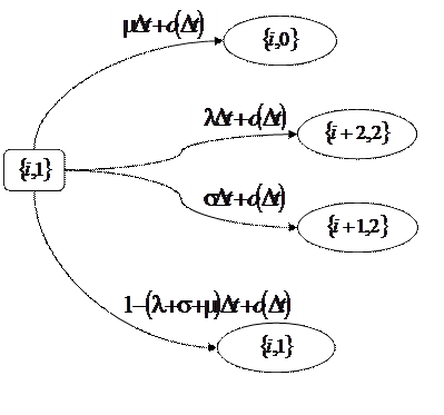
2. Пусть система в момент времени t находится в состоянии
, то есть прибор занят обслуживанием заявки и в ИПВ находится i требований, за интервал времени
возможны следующие переходы (рис. 1.3):
а) с вероятностью
прибор успешно завершит обслуживание, и в момент времени
система будет находиться в состоянии
;
б) с вероятностью
в систему поступит новое требование из входящего потока и произойдет конфликт. Как вновь поступившая, так и заявка с прибора перейдут в ИПВ, и начнется интервал оповещения о конфликте, следовательно, система перейдет в состояние
;
в) с вероятностью
к прибору обратится одна из заявок с ИПВ, произойдет конфликт, и обе заявки переместятся в ИПВ, следовательно, система в момент времени
будет находиться в состоянии
;
г) с вероятностью
состояние системы не изменится.
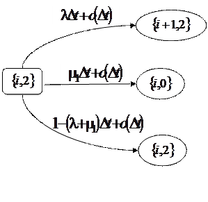
3. Пусть система в момент времени t находится в состоянии
. Посмотрим, что произойдет через интервал времени длины
(рис. 1.4):
а) с вероятностью
к прибору обратится заявка из входящего потока, которая автоматически попадет в ИПВ. В момент времени
система будет в состоянии
;
б) с вероятностью
интервал оповещения о конфликте завершится, и система перейдет в состояние
;
в) с вероятностью
состояние системы не изменится.
Все остальные вероятности переходов не превышают порядка малости
.

Рис. 1.2 тАУ Возможные переходы из состояния ![]()

Рис. 1.3 тАУ Возможные переходы из состояния ![]()

Рис. 1.4 тАУ Возможные переходы из состояния ![]()
Таким образом, можно записать систему конечно-разностных уравнений для вероятностей
состояний системы:
![]()
![]()
![]()
следовательно, в нестационарном режиме, эти вероятности удовлетворяют системе дифференциально-разностных уравнений
,
, (1.1)
,
где 


,
решить которую практически невозможно, но можно решить асимптотически в условиях Влбольшой загрузкиВ», т.е. при
,
, где
пропускная способность исследуемой сети связи (верхняя граница множества тех значений загрузки
, для которых в системе существует стационарный режим).
Рассмотрим исходную систему уравнений (1.1) и произведем в ней замену переменных:
,
,
,
. В результате замены производится переход от дискретной переменной
к непрерывной переменной
. В новых обозначениях производная равна
.
Тогда систему (1.1) перепишем
,
, (1.2)

Получим вид решения системы (1.2), которую будем решать в три этапа.
1 этап. В уравнениях (1.2) устремим
и обозначим
, заметим что,
. Будем иметь
,
, (1.3)
.
Выразим
через
и получим
,
, (1.4)
.
где ![]()
тАУ асимптотическая плотность распределения вероятностей нормированного числа заявок в ИПВ.
Введем обозначения
(1.5)
(
- это асимптотическая вероятность того, что обслуживающий прибор находится в состоянии k). Из системы (1.3) следуют равенства, связывающие
,
,
и выглядят так
![]()
(1.6)
.
Найдем вид функции
. Для этого перейдем ко второму этапу.
2 этап. Неизвестные функции
будем искать с точностью до
в следующем виде
, (1.7)
Определим вид функций
, для этого в системе уравнений (1.2) разложим функции с аргументом
в ряд по приращению аргумента
(ограничиваясь двумя слагаемыми), будем иметь
,
, (1.8)

В полученные уравнения подставим
в форме (1.7), заменим
разностью
, сумму
на G и не учтем слагаемые, имеющие порядок
. Получим
,
(1.9)

Теперь приведем подобные слагаемые, учтем равенства (1.6), и получим неоднородную линейную систему алгебраических уравнений для нахождения неизвестных функций
такого вида
,
, (1.10)
![]()
Нетрудно заметить, что ранг матрицы однородной системы алгебраических уравнений, соответствующей (1.10) равен двум. Следовательно, для того, чтобы система была разрешима, необходимо, чтобы ранг расширенной матрицы этой системы был равен двум, т.е. чтобы выполнялось следующее равенство
. (1.11)
С учетом того, что
равенство (1.11) принимает вид
. (1.12)
Равенство нулю производной противоречит смыслу задачи, следовательно
, т. е. пропускная способность исследуемой сети связи равна асимптотической вероятности того, что обслуживающий прибор ВлобслуживаетВ», на рис. 1.5 продемонстрирован этот результат.
|


