Приложения производной
Понятие функции является одним из основных понятии математики. Оно не возникло сразу в таком виде, как мы им пользуемся сейчас, а, как и другие фундаментальные понятия прошло длинный путь диалектического и исторического развития. Идея функциональной зависимости восходит к древнегреческой математике. Например, изменение площади, объема фигуры в зависимости от изменения ее размеров. Однако древними греками идея функциональной зависимости осознавалась интуитивно.
Уже в 16 - 17 в. в, техника, промышленность, мореходство поставили перед математикой задачи, которые нельзя было решить имеющимися методами математики постоянных величин. Нужны были новые математические методы, отличные от методов элементарной математики.
Впервые термин "функция" вводит в рассмотрение знаменитый немецкий математик и философ Лейбниц в 1694 г. Однако, этот термин (определения он не дал вообще) он употребляет в узком смысле, понимая под функцией изменение ординаты кривой в зависимости от изменения ее абсциссы. Таким образом, понятие функции носит у него "геометрический налет". В современных терминах это определение связано с понятием множества и звучит так: ВлФункция есть произвольный способ отображения множества А = {а} во множество В = {в}, по которому каждому элементу а
А поставлен в соответствие определенный элемент в
В. Уже в этом определении не накладывается никаких ограничений на закон соответствия (этот закон может быть задан Формулой, таблицей, графиком, словесным описанием). Главное в этом определении:
а
А
!b
B. Под элементами множеств А и В понимаются при этом элементы произвольной природы.
В математике XVII в. самым же большим достижением справедливо считается изобретение дифференциального и интегрального исчисления. Сформировалось оно в ряде сочинений Ньютона и Лейбница и их ближайших учеников. Введение в математику методов анализа бесконечно малых стало началом больших преобразований. Но наряду с интегральными методами складывались и методы дифференциальные. Вырабатывались элементы будущего дифференциального исчисления при решении задач, которые в настоящее время и решаются с помощью дифференцирования. В то время такие задачи были трех видов: определение касательных к кривым, нахождение максимумов и минимумов функций, отыскивание условий существования алгебраических уравнений квадратных корней.
Первый в мире печатный курс дифференциального исчисления опубликовал в 1696 г. Лопиталь. Этот курс состоит из предисловия и 10 глав, в которых излагаются определения постоянных и переменных величин и дифференциала, объясняются употребляющиеся обозначения dx, dy, и др.
Появление анализа бесконечно малых революционизировало всю математику, превратив ее в математику переменных величин.
Исследование поведения различных систем (технические, экономические, экологические и др.) часто приводит к анализу и решению уравнений, включающих как параметры системы, так и скорости их изменения, аналитическим выражением которых являются производные. Такие уравнения, содержащие производные, называются дифференциальными.
В своей же работе я хочу подробнее остановится на приложениях производной.
1. Понятие производной
При решении различных задач геометрии, механики, физики и других отраслей знания возникла необходимость с помощью одного и того же аналитического процесса из данной функции y=f(x) получать новую функцию, которую называют производной функцией (или просто производной) данной функции f(x) и обозначают символом

Тот процесс, с помощью которого из данной функции f(x) получают новую функцию f ' (x), называют дифференцированием и состоит он из следующих трех шагов:
1) даем аргументу x приращение x и определяем соответствующее приращение функции y = f(x+x) -f(x);
2) составляем отношение
3) считая x постоянным, а x 0, находим
, который обозначаем через f ' (x), как бы подчеркивая тем самым, что полученная функция зависит лишь от того значения x, при котором мы переходим к пределу.
Определение: Производной y ' =f ' (x)данной функции y=f(x)при данном x называется предел отношения приращения функции к приращению аргумента при условии, что приращение аргумента стремится к нулю, если, конечно, этот предел существует, т.е. конечен.
Таким образом,
, или 
Заметим, что если при некотором значении x, например при x=a, отношение
при x0 не стремится к конечному пределу, то в этом случае говорят, что функция f(x) при x=a (или в точке x=a) не имеет производной или не дифференцируема в точке x=a.
2. Геометрический смысл производной.
Рассмотрим график функции у = f (х), дифференцируемой в окрестВнностях точки x0


f(x)
Рассмотрим произвольную прямую, проходящую через точку граВнфика функции - точку А(x0, f (х0)) и пересекающую график в некоторой точке B(x;f(x)). Такая прямая (АВ) называется секущей. Из ∆АВС: АС = ∆x; ВС =∆у; tgβ=∆y/∆x .
Так как АС || Ox, то ALO = BAC = β (как соответственные при параллельных). Но ALO - это угол наклона секущей АВ к положиВнтельному направлению оси Ох. Значит, tgβ = k - угловой коэффициент прямой АВ.
Теперь будем уменьшать ∆х, т.е. ∆х→ 0. При этом точка В будет приблиВнжаться к точке А по графику, а секущая АВ будет поворачиваться. ПреВндельным положением секущей АВ при ∆х→ 0 будет прямая (a), называемая касательной к графику функции у = f (х) в точке А.
Если перейти к пределу при ∆х → 0 в равенстве tgβ =∆y/∆x, то получим
или tg =f '(x0), так как
-угол наклоВнна касательной к положительному направлению оси Ох
, по определению производной. Но tg = k - угловой коэффициент касаВнтельной, значит, k = tg = f '(x0).
Итак, геометрический смысл производной заключается в следуюВнщем:
Производная функции в точке x0 равна угловому коэффициенту каВнсательной к графику функции, проведенной в точке с абсциссой x0.
3. Физический смысл производной.
Рассмотрим движение точки по прямой. Пусть задана координата точки в любой момент времени x(t). Известно (из курса физики), что средняя скорость за промежуток времени [t0; t0+ ∆t] равна отношению расстояния, пройденного за этот промежуток времени, на время, т.е.
Vср = ∆x/∆t. Перейдем к пределу в последнем равенстве при ∆t → 0.
lim Vср (t) = (t0) - мгновенная скорость в момент времени t0, ∆t → 0.
а lim = ∆x/∆t = x'(t0) (по определению производной).
Итак, (t) =x'(t).
Физический смысл производной заключается в следующем: произВнводная функции y = f(x) в точке x0 - это скорость изменения функции f (х) в точке x0
Производная применяется в физике для нахождения скорости по известной функции координаты от времени, ускорения по известной функции скорости от времени.
(t) = x'(t) - скорость,
a(f) = '(t) - ускорение, или
a(t) = x"(t).
Если известен закон движения материальной точки по окружности, то можно найти угловую скорость и угловое ускорение при вращательВнном движении:
φ = φ(t) - изменение угла от времени,
ω = φ'(t) - угловая скорость,
ε = φ'(t) - угловое ускорение, или ε = φ"(t).
Если известен закон распределения массы неоднородного стержня, то можно найти линейную плотность неоднородного стержня:
m = m(х) - масса,
x [0; l], l - длина стержня,
р = m'(х) - линейная плотность.
С помощью производной решаются задачи из теории упругости и гармонических колебаний. Так, по закону Гука
F = -kx, x тАУ переменная координата, k- коэффициент упругости пружины. Положив ω2 =k/m, получим дифференциальное уравнение пружинного маятника х"(t) + ω2x(t) = 0,
где ω = √k/√m частота колебаний (l/c), k - жесткость пружины (H/m).
Уравнение вида у" + ω2y = 0 называется уравнением гармонических колебаний (механических, электрических, электромагнитных). РешениВнем таких уравнений является функция
у = Asin(ωt + φ0) или у = Acos(ωt + φ0), где
А - амплитуда колебаний, ω - циклическая частота,
φ0 - начальная фаза.
4. Правила дифференцирования
| (C)’= 0 С=const |
|
|
|
| (cos x)'=-sin x |
|
| (sin x)'=cos x |
|
(tg x)'= | (ах)'=аxln a |
(ctg x)'=- | (ех)'=ex |
|




Производная степенно-показательной функции
, где
.
.
Логарифмическое дифференцирование. Пусть дана функция
. При этом предполагается, что функция
не обращается в нуль в точке
. Покажем один из способов нахождения производной функции
, если
очень сложная функция и по обычным правилам дифВнфеВнренВнцирования найти производную затруднительно.
Так как по первоначальному предположению
не равна нулю в точке, где ищется ее производная, то найдем новую функцию
и вычислим ее производную
(1)
Отношение
называется логарифмической производной функции
. Из формулы (1) получаем
. Или 
Формула (2) дает простой способ нахождения производной функции
.
5. Производные высших порядков
Ясно, что производная
функции y =f (x) есть также функция от x: 
Если функция f ' (x) дифференцируема, то её производная обозначается символом y'' =f '' (x) и называется второй производной функции f(x) или производной функции f(x) второго порядка. Пользуясь обозначением
можем написать 
Очень удобно пользоваться также обозначением
, указывающим, что функция y=f(x) была продифференцирована по x два раза.
Производная второй производной, т.е. функции y''=f '' (x) , называется третьей производной функцииy=f(x) или производной функции f(x) третьего порядка и обозначается символами
.
Вообще -я производная или производная -го порядка функции y=f(x) обозначается символами 
Дифференцируя производную первого порядка, можно получить производную второго порядка, а, дифференцируя полученную функцию, получаем производную третьего порядка и т.д. Тогда возникает вопрос: сколько производных высших порядков можно получить в случае произвольной функции.
Например:
1)
;
;
; ..;
;
.
Разные функции ведут себя по-разному при многократном дифференцировании. Одни имеют конечное количество производных высших порядков, другие тАУ переходят сами в себя, а третьи, хотя и дифференцируемы бесконечное количество раз, но порождают новые функции, отличные от исходной.
Однако все сформулированные теоремы о производных первых порядков выполняются для производных высших порядков.
6. Изучение функции с помощью производной
6.1.Возрастание и убывание функции. Экстремум функции.
Определение 1. Функция f(x) называется возрастающей в интервале(a,b), если при возрастании аргумента x в этом интервале соответствующие значения функции f(x) также возрастают, т.е. если f(x2) > f(x1) при x2 > x1.
Рис.1 (а) |
Рис.1 (б) |
График возрастающей функции показан на рисунке1(а).
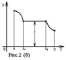
Если из неравенства x2 > x1 вытекает нестрогое неравенство f (x2)f (x1), то функция f (x) называется неубывающей в интервале (a, b ). Пример такой функции показан на рисунке 2(а). На интервале [ x0 , x1] она сохраняет постоянное значение C
Определение 2. Функция f (x) называется убывающей в интервале ( a, b ) если при возрастании аргумента x в этом интервале соответствующие значения функции f (x) убывают, т.е. если f(x2) < f(x1) при x2 > x1.
Из этого определения следует, что у убывающей в интервале ( a, b )функцииf (x)в любой точке этого интервала приращенияxиyимеют разные знаки. График убывающей функции показан на рисунке 1(б).
Е
сли из неравенства x2 > x1 вытекает нестрогое неравенство f(x2) f(x1), то функция f (x) называется невозрастающей в интервале ( a, b ). Пример такой функции показан на рисунке 2(б). На интервале [ x0 , x1] она сохраняет постоянное значение C.
Теорема 1.Дифференцируемая и возрастающая в интервале( a, b )функцияf (x)имеет во всех точках этого интервала неотрицательную производную.
Теорема 2.Дифференцируемая и убывающая в интервале( a, b )функцияf (x)имеет во всех точках этого интервала неположительную производную.

Пусть данная непрерывная функция убывает при возрастании x от x0 до x1, затем при возрастании x от x1 до x2 - возрастает, при дальнейшем возрастании x от x2 до x3 она вновь убывает и так далее. Назовем такую функцию колеблющейся.
График колеблющейся функции показан на рисунке 3. Точки A, C, в которых функция переходит от возрастания к убыванию, так же, как и точки B, D, в которых функция переходит от убывания к возрастанию, называются точками поворота или критическими точками кривойy = f (x), а их абциссы - критическими значениями аргументаx
В той точке, где функция переходит от возрастания к убыванию, ордината больше соседних с ней по ту и другую сторону ординат. Так, ордината точки A больше ординат, соседних с ней справа и слева и достаточно к ней близких, т.е. значение функции в точке A, абсцисса которой равна x0, больше значений функции в точках, абсциссы которых достаточно близки к x0 : f (x0) > f (x0+∆x).
На рисунке 4(a) изображена функция f (x), непрерывная в интервале ( a, b ). В интервале ( a, x0 ] она возрастает, на интервале [ x0 , x1 ] - сохраняет постоянное значение: f (x0) = f (x1) = C, в интервале [ x1 , b ) - убывает. Во всех точках, достаточно близких к x0 (или x1 ), значения функции f (x) удовлетворяют нестрогому неравенству f (x0)f (x).
Значение f (x0) функции f (x), при котором выполняется вышеуказанное неравенство, называется максимальным значением функции f (x) или просто максимумом.
Определение 3.Максимумом функцииf (x) называется такое значение f (x0) этой функции, которое не меньше всех значений функции f (x) в точках x, достаточно близких к точке x0 , т.е. в точках x,
принадлежащих некоторой достаточно малой окрестности точки x0 .
Так, на рисунке 3 показаны два максимума: f (x0) и f (x2) .
В той точке, где функция переходит от убывания к возрастанию, ордината меньше ординат в достаточно близких к ней точках, расположенных справа и слева от нее. Так ордината точки B меньше ординат в точках соседних и достаточно близких к точке x1 справа и слева. Значение функции в точке, абсцисса которой равна x1 , меньше значений функции в точках, абсциссы которых достаточно мало отличаются от x1 : f (x1) < f (x1+x).
На рисунке 4(б) изображена функция f (x), непрерывная в интервале ( a, b ). В интервале ( a, x0 ] она убывает, на интервале [ x0 , x1 ] - сохраняет постоянное значение: f (x0) = f (x1) = C, в интервале [ x1 , b ) - возрастает. Во всех точках, достаточно близких к x0 (или x1 ), значения функции f (x) удовлетворяют нестрогому неравенству f (x0)f (x).
Значение f (x0) функции f (x), при котором выполняется вышеуказанное неравенство, называется минимальным значением функции f (x) или просто минимумом.
Определение 4.Минимумом функцииf (x) называется такое значение f (x0) этой функции, которое не больше всех значений функции f (x) в точках x, достаточно близких к точке x0 , т.е. в точках x, принадлежащих некоторой
достаточно малой окрестности точки x0 .
Так, на рисунке 3 показаны два минимума: f (x1) и f (x3) .
По определению наибольшим значением функции f (x) на интервале [ a, b ] является такое значение f (x0), для которого для всех точек интервала [ a, b ] выполняется неравенство f (x0)f (x), а наименьшим значением функции f (x) на интервале [ a, b ] является такое значение f (x0), для которого для всех точек интервала [ a, b ] выполняется неравенство f (x0)f (x).
Из этих определений следует, что функция может достигать своего наибольшего или наименьшего значения как внутри интервала [ a, b ] , так и на его концах a и . Здесь же максимум и минимум функции f (x) были определены соответственно как наибольшее и наименьшее значения в некоторой окрестности точки x0 .
Если в точке x0 функция f (x) достигает максимума или минимума, то говорят, что функция f (x) в точке x0 достигает экстремума (или экстремального значения).
Функция f (x) может иметь несколько экстремумов внутри интервала [ a, b ], причем может оказаться, что какой-нибудь минимум будет больше какого-нибудь максимума. Таким образом, наибольшее значение функции f (x) на интервале [ a, b ] - это наибольший из экстремумов функции внутри этого интервала и наибольшее из значений функции на концах интервала.
Аналогично наименьшее значение функции f (x) на интервале [ a, b ] - это наименьший из экстремумов функции внутри этого интервала и наименьшее из значений функции на концах интервала.
Например функция, изображенная на рисунке 3, достигает наибольшего значения f (x) в точке x2 , наименьшего - в точке x1 интервала [ x0, x3 ]. На рисунке 5 изображена функция, имеющая бесконечное число минимумов и максимумов.
Теорема 3 (необходимый признак экстремума). Если функция f (x) имеет в точке x0 экстремум, то ее производная в данной точке или равна нулю или не существует.
Но функция f (x) может иметь экстремумы и в тех точках x0, в которых ее производная не существует. Например функция y = | x | в точке x0 = 0 не дифференцируема, но достигает минимума. Точки такого типа называют угловыми. В них кривая не имеет определенной касательной.
Рис. 6 |
Таким образом, необходимым признаком существования в точке x0 экстремума функции f (x) является выполнение следующего условия: в точке x0 производная f' (x) или равна нулю, или не существует.
Этот признак не является достаточным условием существования экстремума функции f (x) в точке x0 : можно привести много примеров функций, удовлетворяющих этому условию при x = x0 , но, однако, не достигающих экстремума при x = x0.
Например, производная функции y = x3 при x0 = 0 равна нулю, однако эта функция при x0 = 0 не достигает экстремального значения.
6.2.Достаточные условия убывания и возрастания функции. Достаточные условия экстремума функции.
Теорема 4.Если функция f(x) имеет в каждой точке интервала (a, b) неотрицательную производную, то она является неубывающей функцией в этом интервале.
Теорема 5.Если функция f(x) в каждой точке интервала (a, b) имеет неположительную производную, то она является невозрастающей функцией в этом интервале.
Теорема 6. (первый достаточный признак экстремума). Если производная f '(x) функции f(x) обращается в нуль в точке x0 или не существует и при переходе через x0 меняет свой знак, то функция f(x) имеет в этой точке экстремум (максимум, если знак меняется с "+" на "-", и минимум, если знак меняется с "-" на "+").
Теорема 7. (второй достаточный признак существования экстремума функции). Если в точке x0 первая производная f '(x) функции f(x) обращается в нуль, а её вторая производная f ''(x) отлична от нуля, то в точке x0 функция f(x) достигает экстремума (минимума, если f ''(x) > 0, и максимума, если f ''(x) < 0). Предполагается, что f ''(x) непрерывна в точке x0 и ее окрестности.
6.3 .Правило нахождения экстремума
1В°. Чтобы найти экстремум функции, надо:
1) найти производную данной функции;
2) приравнять производную нулю и решить полученное уравнение; из полученных корней отобрать действительные и расположить их (для удобства) по их величине от меньшего к большему; в том случае, когда все корни оказываются мнимыми, данная функция не имеет экстремума;
3) определить знак производной в каждом из промежутков, отграниченных стационарными точками ( стационарными точками называют точки в которых производная равна 0);
4) если производная положительна в промежутке, лежащем слева от данной стационарной точки, и отрицательна в промежутке, лежащем справа от нес, то данная точка есть точка максимума функции, если же производная отрицательна слева и положительна справа от данной стационарной точки, то данная точка есть точка минимума функции; если производная имеет один и тот же знак как слева, так и справа от стационарной тонки, то в этой точке нет ни максимума, ни минимума, функции;
5) заменить в данном выражении функции аргумент значением, которое дает максимум или минимум функции; получим значение соответственно максимума или минимума функции.
Если функция имеет точки разрыва, то эти точки должны быть включены в число стационарных точек, разбивающих Ох на промежутки, в которых определяется знак производной.
6.4.Точка перегиба графика функции.
Будем говорить, что криваяy = f(x)в точкеx0обращена выпуклостью вверх, если существует такая окрестность точки x0 , что часть кривой, соответствующая этой окрестности, лежит под касательной к этой кривой, проведенной в точке A с абсциссой x0. (см. Рисунок 1а).
Р а
б исунок 1 |
Из определения выпуклости вверх (вниз) кривой y = f(x) в точке x0 следует, что для любой точки x из интервала (x0 - h, x0 + h), не совпадающей с точкой x0, имеет место неравенство f(x) - y < 0 ( f(x) - y > 0) где f(x) - ордината точки M кривой y = f(x), y - ордината точки N касательной y - y0 = f '(x0 )(x - x0 ) к данной кривой в точке A. (смотри рисунок 1, а, б).
Ясно, что и наоборот, если для любой точки x интервала (x0 - h, x0 + h), не совпадающей с x0, выполняется неравенство f(x) - y < 0 (f(x) - y > 0),
то кривая y = f(x) в точке x0 обращена выпуклостью вверх (вниз).
Будем называть кривую y = f(x)выпуклой вверх (вниз) в интервале (a, b), если она выпукла вверх (вниз) в каждой точке этого интервала.
Если кривая y = f(x) обращена выпуклостью вверх в интервале (a, b), то с увеличением аргумента x угловой коэффициент касательной к этой кривой в точке с абсциссой x будет уменьшаться.
Рисунок 2. |
Таким образом мы показали, что если в интервале (a, b) кривая y = f(x) обращена выпуклостью вверх, то с увеличением аргумента x функция y = f '(x) убывает. Поэтому вторая производная f ''(x) функции f(x), как производная убывающей фунции f '(x), будет отрицательна или равна нулю в интервале (a, b):f ''(x)0.
Рисунок 3. |
Докажем, что и наоборот, еслиf ''(x)0в некотором интервале(a, b), то в этом интервале криваяy = f (x)обращена выпуклостью вверх; еслиf ''(x)0в интервале(a, b), то в этом интервале кривая обращена выпуклостью вниз.
Запишем уравнение касательной y - y0 = f '(x0 )(x - x0 ) к кривой y = f (x) в точке x0, где a < x0 b, в виде y = y0 + f '(x0 )(x - x0 ). Очевидно, y0 = f(x0 ), а потому последнее уравнение можно записать в виде y = f(x0 ) + f '(x0 )(x - x0 ). (1)
Но, согласно формуле Тейлора, при n = 2 имеем:
(2)
Фиксируя x в интервале (a, b) и вычитая почленно из уравнения (2) уравнение (1), получим:
(3)
Если f ''[x0 + (x - x0 )]0, где 0 < < 1, то имеем f(x) - y 0
откуда следует, что кривая y = f(x) в точке x обращена выпуклостью вверх.
Если f ''[x0 + (x - x0 )]0, то имеем f(x) - y 0 откуда следует, что кривая y = f(x) в точке x обращена выпуклостью вниз.
Так как была зафиксирована произвольная точка x интервала (a, b), то высказанное выше утверждение доказано.
Рисунок 4. |
Теорема 8.Пусть функцияf(x)имеет непрерывную вторую производнуюf ''(x) и пусть A[x0 ; f(x0 )] - точка перегиба кривойy = f(x). Тогдаf ''(x0 ) = 0или не существует.
Доказательство. Рассмотрим для определенности случай, когда кривая y = f(x) в точке перегиба A[x0 ; f(x0 )] переходит от выпуклости вверх в выпуклости вниз (рис.4). Тогда при достаточно малом h в интервале (x0 - h, x0 ) вторая производная f ''(x) будет меньше нуля, а в инетрвале (x0, x0 +h) - больше нуля.
Но f ''(x) - функция непрерывная, а потому, переходя от отрицательных значений к положительным, она при x = x0 обращается в нуль: f ''(x0 ) = 0.
Рисунок 5. |
. Хотя при x0 = 0 имеется касательная и точка перегиба, все же вторая производная f ''(x) не равна нулю, она даже не существует в этой точке. В самом деле, имеем 
Итак, f ''(0) не существует. Но тем не менее точка O(0; 0) является точкой перегиба, так как при x < 0 f ''(x) > 0 и кривая выпукла вниз, а при x > 0 f ''(x) < 0 и кривая выпукла вверх.
Таким образом в случае непрерывности второй производной f ''(x) обращение в нуль или несуществование ее в какой-нибудь точки кривой y = f(x) является необходимым условием существования точки перегиба. Однако это условие не является достаточным.
Теорема 9.Если вторая производнаяf ''(x)непрерывна и меняет знак приx = x0, то точкаA[x0 ; f(x0 )] является точкой перегиба кривойy = f(x)при условии, конечно, что в точкеAсуществует касательная.
Доказательство. Пусть например f ''(x) < 0 при x0 - h < x < x0 и f ''(x) > 0 при x0< x < x0 + h. Тогда в интервале (x0 - h; x0 ) кривая y = f(x) обращена выпуклостью вверх, а в интервале (x0 ; x0 + h) - выпклостью вниз (смотри рис.4), т.е. точка A[x0 ; f(x0 )] есть точка перегиба кривой, что и требовалось доказать.
6.5.Общая схема исследования функции и построение ее графика.
1. Находим область определения функции f(x)
2. Находим точки пересечения кривой y = f(x) с осями координат и наносим их на чертеж.
3. Определяем, симметрична ли кривая y = f(x) относительно осей координат и начала координат.
4. Исследуем функцию y = f(x) на непрерывность. Если функция имеет в точке x0 разрыв, то отмечаем ее на чертеже.
5. Находим асимптоты кривой, если они имеются.
6. Находим максимум и минимум функции и отмечаем на чертеже точки кривой с максимальной и минимальной ординатами.
7. Исследуем кривую y = f(x) на выпуклость вверх или вниз, находим точки перегиба кривой и отмечаем их на чертеже.
8. Вычерчиваем кривую y = f(x).
6.6. Касательная и нормаль к плоской кривой.
Пусть даны кривая y = f(x) и точка M (x1 ; y1) на ней. Требуется составить уравнения касательной и нормали (смотри рисунок).
Как известно, угловой коэффициент k касательной к кривой y = f(x) в точке M (x1 ; y1) равен значению f '(x1) производной y' = f '(x) при x = x1/ Следовательно, уравнение касательной можно записать в виде уравнения прямой, проходящей через данную точку в данном направлении, т.е. в виде y - y1 = f '(x1)(x - x1)
Нормалью называется прямая, проходящая через точку касания перпендикулярно касательной. поэтому ее угловой коэффициент равен
, а уравнение записывается в виде 
7.Экономическое приложение производной.
7.1.Экономическая интерпретация производной
В экономической теории активно используется понятие ВлмаржинальныйВ», что означает ВлпредельныйВ». Введение этого понятия в научный оборот в XIX веке позволило создать совершенно новый инструмент исследования и описания экономических явлений - инструмент, посредством которого стало возможно ставить и решать новый класс научных проблем.
Классическая экономическая теория Смита, Рикардо, Милля обычно имела дело со средними величинами: средняя цена, средняя производительность труда и т.д. Но постепенно сложился иной подход. Существенные закономерности оказалось можно обнаружить в области предельных величин.
Предельные или пограничные величины характеризуют не состояние (как суммарная или средняя величины.), а проце
Вместе с этим смотрят:
10 способов решения квадратных уравнений
Cпособы преобразования комплексного чертежа, применение при изображении предметов















