Спектр масс элементарных частиц, связь микро и макро масштабов, соотношение космических энергий
Михаил Карпов
В данной статье излагается новая гипотеза, касающаяся принципов организации (структурирования) материи. На основании новых закономерностей теоретически получены значения масс некоторых известных элементарных частиц, а также новых, ранее не известных. Данная гипотеза позволяет связать воедино мир микрочастиц и такие космологические субстанции, как темная энергия и темная материя.
Введение
До недавнего времени считалось, что здание современной физики уже практически завершено. Остались лишь небольшие штрихи и дальнейшее развитие, как бы ожидает тупик. Однако, ряд последних астрономических исследований обнаружил, что картина мироздания не совсем ясна, а точнее, не укладывается в рамки прежних представлений. К этим астрономическим наблюдениям, прежде всего, относится обнаружение факта ускоренного расширения Вселенной за сет воздействия отрицательного давления вакуума или темной энергии (тАЬквинтэссенциитАЭ). Кроме того, во Вселенной присутствует также невидимая темная материя, окружающая галактики, состав которой неизвестен. И лишь небольшая часть массы Вселенной приходится на обычное барионное вещество, образующее звезды.
Более того, даже в солнечной системе существует тАЬнечтотАЭ, что затормозило космические зонды тАЬПионертАЭ, запущенные в 70-х годах, и не позволило им покинуть пределы Солнечной системы.
Все эти и многие другие факты заставляют вновь задуматься над вечными вопросами, что же такое есть вещество, а что такое пространство? Каким образом связаны друг с другом две неразрывные части единого Целого тАУ мир микрочастиц и макромасштабов? Какова роль гравитации и как она связана с остальными взаимодействиями? Очевидно, что такая взаимосвязь обязательно должна существовать. Всем этим вопросам и посвящена данная статья.
1. Элементарный заряд и спектр масс элементарных частиц или почему -мезон в 207 раз тяжелее электрона
Окружающая нас природа едина и закономерности, управляющие миром микрочастиц, неразрывно связаны с законами формирования и развития макроструктур материи и Вселенной в целом. Тяготение, как физическое поле, также не стоит особняком от сил и зарядов микромира, а, является фундаментом, на основе которого, наряду с инерцией, формируются все остальные взаимодействия.
Электрон тАУ фундаментальная и стабильная частица, обладающая элементарным электрическим зарядом. Представим электрон как тАЬсистемутАЭ из виртуальной планковской частицы, обладающей спином h и размером
, и виртуальной частицы m, тАЬдвижущейсятАЭ радиально в масштабе r во вращающемся поле тяготения планковской массы.
Предположим, что энергия электрического заряда электрона равна
. (1)
Это выражение, записанное несколько иначе, чем-то напоминает условие квантования боровских орбит:

и
.
Выразим из него r, учитывая значение rпл :
. (2)
Если придать массе виртуальных частиц m квантовые значения
, где m0 тАУ масса самой тяжелой (после mпл) частицы, а n = 0, 1, 2,тАж, 12, получим
. (3)
Таблица 1
| n | 1 | 2 | 3 | 4 |
| mнабл.(me) | 1.4 | 3.8 | 20 | 207 |
| mвирт.(me) | 2.6× 1020 | 1.3× 1019 | 8.6× 1016 | 7.8× 1013 |
| lвирт.(см) | 10-31 | 10-30 | 10-27 | 10-24 |
| 2rn(см) | 2× 10-31 | 5× 10-31 | 2× 10-30 | 2× 10-29 |
| n | 5 | 6 | 7 | 8 |
| mнабл.(me) | 4160 | 162700 | 1.2× 107 | 1.8× 109 |
| mвирт.(me) | 1010 | 162700 | 3.6× 10-1 | 1.1× 10-7 |
| lвирт.(см) | 10-20 | 10-16 | 10-10 | 10-4 |
| 2rn(см) | 4× 10-28 | 2× 10-26 | 3× 10-24 | 4.5× 10-22 |
| n | 9 | 10 | 11 | 12 |
| mнабл.(me) | 5.3× 1011 | 3× 1014 | 3.3× 1017 | 7× 1020 |
| mвирт.(me) | 4.6× 10-15 | 2.6× 10-23 | 2× 10-32 | 2× 10-42 |
| lвирт.(см) | 104 | 1012¸ 1013 | 1021¸ 1022 | 1031 |
| 2rn(см) | 1.5× 10-19 | 10-16 | 10-13 | 2.4× 10-10 |
Предположим, что наблюдаемая масса частицы связана с этим размером простым соотношением
mнабл = kr,
где k тАУ константа.
Допустим, что при n = 0, mвирт = m0 эта частица тАУ электрон. Его размер равен r0 ~ 10-31 см (не надо путать его с тАЬклассическимтАЭ радиусом электрона). Подставляя в (3) n = 0, 1, 2, тАж, 12, мы получим безразмерные отношения
или, как сказано ранее,
. Расположим получаемые отношения в виде таблицы 1 (первая строка).
Таким образом, массы наблюдаемых частиц растут до
7× 1020 me ~ 3.5× 1017Гэв (n =12).
При n = 13 масса частиц превышает массу Планка (1.2× 1019Гэв).
Приняв эту массу за m0 в (3), вычислим вторую строку таблицы. В третьей строке тАУ размер виртуальной частицы (длина волны), соответствующий ее массе. В четвертой строке вычисляем удвоенный тАЬрадиустАЭ (3). При больших n длина волны виртуальных частиц огромна, однако не стоит забывать, что в тАЬсоставетАЭ наблюдаемых частиц они находятся в тАЬсвязанномтАЭ, а в не свободном виде.
Вернемся к наблюдаемым частицам. Итак, при
| n = 1, |
| n = 4, |
|
| n = 2, |
| n = 5, |
|
| n = 3, |
| n = 6, |
|
При n = 4, 5, 6 эти соотношения с определенной погрешностью напоминают массы m - мезона, t - мезона и w- бозона, выраженные в массах электрона.
Масса реального t - лептона меньше массы состояния (4160) на величину массы (или равной ей энергии связи) двух виртуальных p - мезонов, являющихся продуктом распада t - лептона, наряду с n t . То есть часть энергии этого со стояния идет на энергию связи двух p - мезонов.
Адроны или сильновзаимодействующие частицы можно представить, как производные m , t и w состояний:
| m - адроны | t - адроны | w - адроны |
|
|
|
где d(1,4), u(3,8), S(1,4х3,8) тАУ уровни.
Таблица 2
| n | 0 | 1 | 2 | 3 | 4 | 5 | 6 | Примечания |
| e | d | u | c | m | t | w | ||
| e- | + | - | - | - | - | - | - | |
| m - | + | - | - | - | + | - | - | |
| t - | + | - | - | - | - | + | - | |
| p - | + | + | - | - | + | - | - | ¯ S |
| - | - | + | - | + | - | - | ||
| p+ | + | + | - | - | + | - | - | d |
| - | - | + | - | + | - | - | u ¯ S | |
| - | - | + | - | + | - | - | u | |
| n0 | + | + | - | - | + | - | - | d |
| + | + | - | - | + | - | - | d ¯ S | |
| - | - | + | - | + | - | - | u | |
| K - | + | + | + | - | + | - | - | ¯ S |
| - | - | + | - | + | - | - | ||
| J/Y | + | + | - | - | - | + | - |
|
| + | + | - | - | - | + | - | ||
| g | + | + | + | - | - | + | - |
|
| + | + | + | - | - | + | - | ||
| W - | + | - | - | - | - | - | + | S |
| - | - | - | - | - | - | + | ||
| z0. | + | - | - | - | - | - | + | S |
| + | - | - | - | - | - | + | ||
| + | + | + | - | - | - | + |
|
| + | + | + | - | - | - | + |
Масса g -мезона и J/Y -мезона соотносятся так же как и массы К и p -мезонов.
.
Также соотносятся и массы соответствующих b и c-кварков:
.
Таким образом, можно предположить, что J/Y частица (или
) есть t состояние p -мезона, а g - частица (или
) есть t состояние K- мезона. D и B-мезоны тАУ есть комбинации соответствующих c и b кварков с кваркими m - состояния.
Из табл. 1 видно, что при n = 6 масса виртуальной частицы равна массе наблюдаемой. Масса виртуальной частицы при n = 0 равна массе наблюдаемой при n = 12 (7× 1020 me). Эти частицы (n = 6, n = 12) являются соответственно W и X тАУ бозонами. t-кварк представляетW- состояние K- мезона. W тАУ состояние p - мезона, так же как и состояния с n = 3 в виде частиц не реализуются.
Отметим также, что отношения масс адронов того же порядка, что и отношение масс m , t и w состояний
;
.
Элементарные частицы, в соответствии с их квантовыми состояниями, можно расположить в виде таблицы 2. Из нее видно, что частица тАУ это комбинация двух или более состояний (кроме электрона). Частица с одним или двумя квантовыми уровнями тАУ слабовзаимодействующие.
Частицы с тремя и более уровнями тАУ адроны.
При дальнейшем увеличении энергии коллайдеров можно ожидать появления массивного лептона следующего ранга (n = 7) с массой около 6 Тэв.
Вернемся к таблице №1. Как предполагалось выше, электрон тАУ есть структура, тАЬсостоящаятАЭ из виртуальной частицы массой m0 (самая тяжелая после mпл,
n = 12, m =7× 1020 me), тАЬдвижущейсятАЭ в радиусе r0 ~ 10-31 см. Сама же частица m0 тАЬобразуематАЭ ореолом из легчайшей частицы массой 2× 10-42me, тАЬдвижущейсятАЭ в радиусе r12.
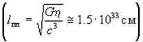
Вычислим 2r12 или комптоновскую длину волны электрона:
, (4)
где
.
С другой стороны, комптоновская длина волны электрона равна
.
Приравняв это значение к (4), получим:

,
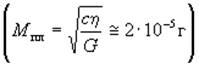
где
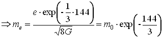
- магнитный монополь (e- заряд электрона, G тАУ гравитационная постоянная).
В итоге получим:
.
Итак, при n = 12 2r12 @ 2.4× 10-10 см, что соответствует комптоновской длине волны электрона.
При n = 11 2r11 @ 1.2× 10-13 см получаем характерный масштаб сильного взаимодействия.
Масса тяжелых частиц, при которых происходит так называемое тАЬвеликоетАЭ объединение и которые определяют время жизни протона равна 3.3× 1017 me или 1014 ¸ 1015 Гэв.
При n = 10 2r10 @ 10-16 см получаем характерный масштаб слабого взаимодействия.
Итак, масса самой тяжелой m0 или c - частицы
7× 1020 me. Она выше, чем масса тАЬвеликоготАЭ объединения. масса наилегчайшей частицы 2× 10-42 me. Таким образом, тАЬдинамический диапазонтАЭ спектра масс составляет 3.5× 1062 = e144. Назовем эту константу a или постоянной инфляции. О ней речь пойдет далее.
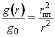
А пока стоит заметить, что для макромасштабов (например, для Земли) формула (1) будет выглядеть:
,
где Q тАУ наведенный заряд, m тАУ масса тела, имеющего радиальную составляющую скорости
во вращающемся с частотой w поле тяготения массивного тела с потенциалом
- квадрат скорости убегания, g0 тАУ ускорение свободного падения на поверхности массивного вращающегося тела. При подстановке
,
,
,
, Q = e,
получим формулу (1). По-видимому, этот механизм носит универсальный характер и ответственен за электромагнитные эффекты, возникающие при радиальном движении тел во вращающемся поле тяготения массивного объекта.
В интегральной форме это можно выразить как:
или
где
- потенциал, L- момент вращения, а W тАУ электромагнитная энергия.
Это означает, что изменение момента вращения внутри поверхности S вызывает поток электромагнитной энергии через эту поверхность.
2. О связи микро и макромасштабов и возможномсценарии развития Вселенной
1. Если вышеупомянутое число e144 @ 3.5× 1062 обозначить a , то связь между радиусом Вселенной и Планковской длиной будет:
a × lпл = RB @ 3× 1029 см,
а между массой Вселенной и массой Планка тАУ соответственно:
a × mпл = MB @ 1057 г.
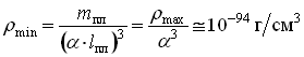
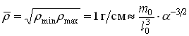
2. Если максимально возможная плотность вещества тАУ это
(то есть масса Планка на квант пространства), то, если предположить, что минимальная плотность тАУ это
, то есть, наоборот, квант массы приходится на весь тАЬдиапазонтАЭ пространства, получим:
;
,
тогда для массы Вселенной:

![]()
- критический радиус.
.
Этот размер совпадает со временем жизни протона, умноженным на скорость света:
,
.
3. В момент возникновения вселенной период экспоненциального расширения (инфляция) тАУ размер и масса (как одно из измерений) шестимерного образования (элемент Планка) возрастают в a = e144 раз. То есть
,
.
,
.
В то же время происходит распад шестисферы Планка на c - частицы (n=12) с массой
, то есть происходит разделение 6-ти равноправных измерений на вещество и пространство-время.
Отношение массы Планка к массе c - частицы равно
,
где
- постоянная тонкой структуры (не путать с a - постоянной инфляции).
Площадь 6-ти сферы в 7-ми мерном пространстве равна
,
то есть шестисфера Планка тАЬвключаеттАЭ
c - частиц (так как масса тАУ одно из измерений).

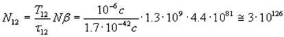
- это фундаментальная константа космологии определяет барионную асимметрию Вселенной (отношение числа фотонов реликтового излучения к числу барионов в единице объема).
По-другому, из экспериментальных данных, постоянную b можно вычислить как:
,
где nB тАУ плотность барионов

- современная оценка из астрономических данных.
V = (2.5 × 1029 см)3 @ 1.5 × 1088 см3
- объем Вселенной.

- число барионов (mp тАУ масса протона).
- плотность фотонов реликтового излучения.
То есть величина, полученная выше, совпадает с оценкой, основанной на наблюдениях.
4. Итак, при n = 12 на первом этапе рождения материи при E ~ 1017 Гэв в течение первых 10-6 с (доадронная эра), происходят переход кварк Вл лептон, сопровождающиеся рождением легчайших частиц в количестве

где
- характерное время процесса (рождение частиц).
При снижении энергии до 3.3× 1017me ~ 1014Гэв (энергии объединения электро-слабого и сильного взаимодействия n = 11 (см. таб 1)) происходит рождение-распад барионов. При сверхвысоких температурах и плотностях характерное время процесса рождения-распада бариона в кварк-барионной плазме может быть порядка 10-28 тАУ 10-29 с. согласно современным представлениям, этот процесс продолжается около 10-4с от начала взрыва до температуры 1013К.
Каждый акт рождения-распада бариона сопровождается появлением легкой частицы
n = 11; m = 2× 10-32me; r = 1021 ¸ 1022 см (см. табл. 1).
Общее количество таких легких частиц составит:
.
Множитель b имеет место, поскольку аннигиляция антибарионов происходит после.
Учитывая, что масса этих частиц в 1010 раз больше массы легких частиц (n = 12, r = 1031 см), получим, что их общая масса превышает массу вещества (барионов) Вселенной. По-видимому это и есть скрытая масса (невидимое гало галактик).
По аналогии можно предположить, что при переходах следующего уровня (n = 10, слабое взаимодействие), например, при нейтронизации звезд и вспышках сверхновых также происходит рождение большого числа легких частиц (n = 10, r = 1012 ¸ 1013 см), способствующих выбросу тяжелых элементов и образованию планетных систем.
3. О связи мировых констант и чисел a и b
Как указывалось выше, число a - есть константа инфляции e144 @ 3.5× 1062. Число b или космологическая величина, характеризующая степень барионной асимметрии Вселенной, равна отношению числа реликтовых фотонов к числу барионов
.
Из многомерной геометрии известно, что поверхность 6-ти сферы равна
(при этом размерность пространства n = 7). Поверхности 5-ти и 7-ми сфер равны, соответственно
,
. Следует отметить, что поверхность S6 имеет максимальный коэффициент 33.07 для всех значений Sn.
Если предположить, что наряду с инфляцией происходит распад 6-ти сферы Планка на сферы радиусом
(то есть рождение вещества - c -проточастиц с массой в 33.1 меньше Планковской), то их количество будет равно
(33.07)6 @ 1.3× 109 = b .
То есть число
.
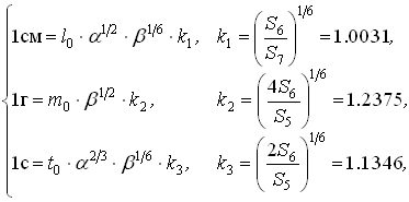
Физические величины, в том числе и мировые константы, выражаются в системе единиц: см, г, с (СГС), которая является симметричной Гауссовской системой единиц, в которой в частности, e 0 = m 0 = 1. можно предположить, что существует связь между этими единицами измерения физических величин и тАЬбольшимитАЭ числами a и b , которые как бы задают масштабы, диапазоны их изменений.
Если изобразить три шкалы тАУ времени, плотности и массы во всем тАЬдиапазонетАЭ значений от минимального до максимального тАУ получим

tmin = t0 = tпл @ 5× 10-44c; tmax = t0 × a 4/3× b 2/6 @ 2× 10 43c, причем t0 × a 4/3 тАУ это время жизни нуклонов (барионов) (~ 1040с), а tmax тАУ время жизни лептонов, задаваемое массой c - частицы n = 12.
.
2)
;
,
.
3) m0 = mпл;
- масса легчайшей частицы (n = 12);
- масса Вселенной в тАЬадронную эрутАЭ до аннигиляции (10-4с);
.
Из 2) и 3) можно получить
и далее:
1 см В» l0 × a 1/2 × b 1/6,
1 г В» m0 × b 1/2, (*)
1 с В» t0 × a 2/3 × b 1/6.
Отсюда можно получить приближенные значения констант:

- не зависит от b .
.
.
Более точные значения констант можно получить, домножив (*) на константы, близкие к 1, а именно:

где S5, S6, S7 тАУ площади единичных сфер в 6-ти, 7-ми и 8-ми мерном пространстве. С учетом этого получим:



где
.
4. Альтернативный способ представления элементарных частицили что такое тАЬцветтАЭ кварка.
Как видно из таблицы 1 электрон представляет собой частицу, образованную двойным движением (n = 0, mвирт = 7× 1020me). В свою очередь, m = 7× 1020me при n = 12 тАЬобразованатАЭ движением частицы mвирт = 2× 10-42me. Радиус одного тАЬвнутреннеготАЭ движения равен ~ 10-31 см, а радиус тАЬвнешнеготАЭ движения
~ 10-10 см.
Для электрона возможны четыре варианта структуры двойного движения. Обозначим их схематично следующим образом:

где стрелка внизу показывает направление внутреннего движения от центра или к центру, верхняя стрелка, соответственно, направление внешнего движения. Представим эти структуры, как лептоны нулевого уровня и присвоим им соответствующие значения лептонного заряда L.
Для промежуточных бозонов WВ± и Z0, (n = 6) структура будет следующей:



Для составных частиц, например нуклонов, структура будет выглядеть следующим образом:

![]()

где u и d кварки можно представить как

а число n0 определяет тАЬцветтАЭ кварка. Кварк d имеет цвета
, а кварк
тАУ цвета
.
Можно составить 4 комбинации из 4-х по 3 для нуклонов и антинуклонов.
Цвет e- и ve имеет одинаковое лептонное число L = 1, но разные зарядовые состояния.
Распад идет по схеме: ![]()
![]()
.
2) ![]()
(распад d- кварка цвета тАЬ
тАЭ на u-кварк цвета тАЬveтАЭ и
- бозон, т.е.
).

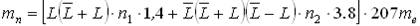
Массу протона и нейтрона можно выразить как
,
.
Где
и L = 1 для нуклона, n1 = 1, n2 = 2 тАУ для протона, n1 = 2, n2 = 1тАУ для нейтрона.
В итоге получаем
,
,
что более чем в 3 раза превышает массу нуклона. Таким образом, более 2/3 этой энергии является энергией связи кварков в нуклоне. 1/3 этой энергии за вычетом энергии связи одного пиона (~ 150 Мэв, 300 me) даст массу нуклона.
Для p - мезонов имеем следующую структуру:

.
Для массы p + и p -соответственно:
,
что в 2 раза превышает массу нуклона, таким образом,1/2 этой энергии является энергией связи кварков в мезоне.
Разность
может иметь значение 1 для нуклона, либо 0 для мезона.
Распад пиона идет по схеме:
,
,
см. далее.
Мюон и мюонное нейтрино обладают следующей бескварковой тАЬструктуройтАЭ:




Распад мюона идет по схеме:

.
Электронное нейтрино обретает массу покоя и покидает частицу в момент переходов
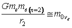
(см. рисунок для нуклонов). Оценка массы покоя нейтрино, как изменение гравитационной энергии виртуальной частицы mв = 1.3 × 1019 me (n = 2) в поле тяготения электрона
, где r2 ~ 2.5 × 10-31 см дает значения для
порядка 1.8 эв.
Масса покоя vm и vt практически не отличается от
"Инкарнация" кватернионов
10 способов решения квадратных уравнений
РЖнварiантнi пiдпростори. Власнi вектори i власнi значення лiнiйного оператора








