Частные случаи дифференциальных уравнений
1.ВВЕДЕНИЕ
2.ОСНОВНЫЕ ПОНЯТИЯ
2.1.ЗАПИСЬ ДИФФЕРЕНЦИАЛЬНЫХ УРАВНЕНИЙ
В СТАНДАРТНОЙ И ОПЕРАТОРНОЙ ФОРМЕ
В теории автоматического регулирования в настоящее время принято записывать дифференциальные уравнения в двух формах.
Первая форма записи. Дифференциальные уравнения записываются так, чтобы выходная величина и ее производные находились в левой части уравнения, а входная величина и все остальные члены - в правой части. Кроме того, принято, чтобы, сама выходная величина находилась в уравнении с коэффициентом единица. Такое уравнение имеет вид:

=
(1)
При такой записи коэффициенты k,k1,..,kn называют коэффициентами передачи, а T1,..,Tn - постоянными времени данного звена.
Коэффициент передачи показывает отношение выходной величины звена к входной в установившемся режиме, т.е. определяет собой наклон линейной статической характеристики звена.
Размерности коэффициентов передачи определяются как
размерность k = размерность y(t) : размерность g(t)
размерность k1 = размерность y(t) : размерность g(t) (?)
Постоянными времени T1,..,Tn имеют размерность времени.
Вторая форма записи. Считая условно оператор дифференцирования p=
алгебраической величиной, произведем замену в уравнении (1):

=

=
(2)
2.2. ПЕРЕДАТОЧНАЯ ФУНКЦИЯ ЗВЕНА
Решим уравнение (2) относительно выходной величины y(t):
y(t)=
=
=
=
=W1(s)+W2(s)+..+Wn(s)
Здесь W1(s),W2(s),..,Wn(s) - передаточные функции.
При записи уравнений с изображениями выходной и входной величин по Лапласу передаточные функции сливаются в одну.
2.3. ВРЕМЕННЫЕ ХАРАКТЕРИСТИКИ ЗВЕНА
Динамические свойства звена могут быть определены по его переходной функции и функции веса.
Переходная функция h(t) представляет собой переходный процесс на выходе из звена, возникающий при подаче на его вход единичного ступенчатого воздействия - скачкообразного воздействия со скачком, равной единице.
Функция веса w(t) представляет собой реакцию на единичную импульсную функцию. Она может быть получена дифференцированием по времени переходной функции:
w(t)=
2.4.ЧАСТОТНАЯ ПЕРЕДАТОЧНАЯ ФУНКЦИЯ И ЧАСТОТНЫЕ
ХАРАКТЕРИСТИКИ
Важнейшей характкристикой динамического звена является его частотная передаточная функция. Ее можно получить с помощью передаточной фкнкции, заменив линейный оператор s на комплексный jw .
Так как передаточная функция есть отношение изображения по Лапласу выходной величины к входной, то при переходе от изображения Лапласа к изображению Фурье, мы получим, что частотная передаточная функция является изображением Фурье функции веса, то есть имеет место интегральное преобразование
W(j)=
.
Частотная передаточная функция может быть представлена в следующем виде:
W(jw )=U(w )+jV(w )
где U(w ) и V(w ) - вещественная и мнимая части.
W(jw )=A(w )
,
где A(w ) - модуль частотной передаточной функции, равный отношению амплитуде выходнгой величины к амплитуде входной,j ( w ) - аргументчастотной передаточной функции, равный сдвигу фаз выходной величины по отношению к входной.
Для наглядного представления частотных свойств звена используются так называемые частотные характеристики.
Амплитудная частотная характеристика (АЧХ) показывает, как пропускает звено сигнал различой частоты. Оценка пропускания делается по отношению амплитуд выходной и входной величин. То есть АЧХ - это модуль частотной передаточной функции:
A(w )=РЕ W(jw )РЕ
АЧХ строят для всео диапазона частот - ТР < w < + ТР , т.к. модуль частотной передаточной функции представляет собой четную функцию частоты.>
Другой важной характеристикой является фазовая частотная характеристика (ФЧХ), которая находится как аргумент частотной передаточной функции:
j ( w ) =argW(jw )
4. ДИНАМИЧЕСКИЕ ХАРАКТЕРИСТИКИ ЗВЕНЬЕВ
4.1. ПОЗИЦИОННЫЕ ЗВЕНЬЯ
Позиционные звенья - это такие звенья , в которых выходная и входная величины в установившемся режиме связаны линейной зависимостью y(t)=kg(t).Соответственно, переходная функция будет иметь вид W(s)=k
, где N(s), L(s) - многочлены.
4.1.1.ИДЕАЛЬНОЕ УСИЛИТЕЛЬНОЕ ( БЕЗЫНЕРЦИОННОЕ ) ЗВЕНО
1. Данное звено описывается следующим уравнением:
aoy(t)=bog(t) (1)
Коэффициенты имеют следующие значения:
ao=2
bo=4
Запишем это уравнение в стандартной форме. Для этого разделим (1) на ao:
y(t)=
g(t)
y(t)=kg(t) (2),
где k=
-коэффициент передачи.
Запишем исходное уравнение в операторной форме, используя подстановку p=
.Получим:
y(t)=kg(t) (3)
2. Получим передаточную функцию для идеального звена. Воспользуемся преобразованиями Лапласа:
y(t)=Y(s)
g(t)=G(s)
По определению передаточная функция находится как отношение выходного сигнала к входному. Тогда уравнение (2) будет иметь вид:
Y(s)=kG(s)
W(s)=k (4)
3. Найдем выражения для переходной функции и функции веса. По определению аналитическим выражением переходной функции является решение уравнения (2) при нулевых начальных условиях, т.е. g(t)=1. Тогда
h(t)=k1(t) (5)
Функцию веса можно получить дифференцированием переходной функции:
w(t)=
=kd (t) (6)
4. Построим графики переходной функции и функции веса. Подставляя исходные данные, вычислим коэффициент передачи и временные характеристики:
k=2
h(t)=2Ч 1(t)
w(t)=2Ч d (t)
Переходная функция представляет собой ступенчатую функцию с шагом k=2, а функция веса - импульсную функцию, площадь которой равна k=2.
5. Получим частотную передаточную функцию, заменив в передаточной функции (4) s на jw :
W(s)=k
W(jw )=k (7)
W(jw )=U(w )+jV(w )
U(w )=k
V(w )=0
6. Получим аналитические выражения для частотных характеристик. По определению амплитудная частотная характеристика (АЧХ) - это модуль частотной передаточной функции, т.е.
A(w )=РЕ W(jw )РЕ
A(w )=k (8)
Фазовая частотная характеристика (ФЧХ) - это аргумент частотной передаточной функции, т.е.
j (w )=argW(jw )
j (w )=0 (9)
Для построения логарифмических частотных характеристик вычислим
L(w )=20lg A(w )
L(w )=20lgk
7. Построим графики частотных характеристик. Для этого сначала получим их численные значения.
k=2
A(w )=2
j (w )=0
L(w )=20lg2
U(w )=2
V(w )=0
Вывод: Примером рассмотренного звена может являться механический редуктор, делитель напряжения, индукционные датчики и т.д. Но беэынерционное звено является некоторой идеализацией реальных звеньев. В действительности ни одно звено не может равномерно пропускать все частоты от нуля до бесконечности. Обычно к такому виду сводится одно из реальных звеньев , рассмотренных ниже , если можно пренебречь влиянием динамических процессов.
4.1.2. УСИЛИТЕЛЬНОЕ ЗВЕНО С ЗАПАЗДЫВАНИЕМ
1. Данное звено описывается следующим уравнением:
aoy(t)=bog(t-t ) (1)
Коэффициенты имеют следующие значения:
ao=2
bo=4
t =0,1с
Запишем это уравнение в стандартной форме. Для этого разделим (1) на ao:
y(t)=
g(t-t )
y(t)=kg(t-t ) (2),
где k=
-коэффициент передачи.
Запишем исходное уравнение в операторной форме, используя подстановку p=
.Получим:
y(t)=kg(t-t ) (3)
2. Получим передаточную функцию для идеального звена. Воспользуемся преобразованиями Лапласа:
y(t)=Y(s)
g(t-t )=G(s)e-t s
По определению передаточная функция находится как отношение выходного сигнала к входному. Тогда уравнение (2) будет иметь вид:
Y(s)=kG(s) e-t s
W(s)= ke-t s (4)
3. Найдем выражения для переходной функции и функции веса. ПО определению аналитическим выражением переходной функции является решение уравнения (2) при нулевых начальных условиях, т.е. g(t)=1.Тогда
h(t)=y(t)=k g(t-t )=k1(t) (5)
Функцию веса можно получить дифференцированием переходной функции:
w(t)=
=kd (t-t ) (6)
4. Построим графики переходной функции и функции веса. Подставляя исходные данные, вычислим коэффициент передачи и временные характеристики:
k=2
h(t)=2Ч 1(t-t )
w(t)=2Ч d (t-t )
Переходная функция представляет собой ступенчатую функцию с шагом k=2 и запаздыванием на t =0,1с, а функция веса - импульсную функцию с таким же запаздыванием, площадь которой равна k=2.
5. Получим частотную передаточную функцию, заменив в передаточной функции (4) s на jw :
W(s)=k e-t s
W(jw )=k e-jw t =k(cost w -jsint w ) (7)
W(jw )=U(w )+jV(w )
U(w )=k cost w
V(w )=-ksint w
6. Получим аналитические выражения для частотных характеристик. По определению амплитудная частотная характеристика (АЧХ) - это модуль частотной передаточной функции, т.е.
A(w )=РЕ W(jw )РЕ
A(w )=k (8)
Фазовая частотная характеристика (ФЧХ) - это аргумент частотной передаточной функции, т.е.
j (w )=argW(jw )
j (w )= t w (9)
Для построения логарифмических частотных характеристик вычислим
L(w )=20lg A(w )
L(w )=20lgk
7. Построим графики частотных характеристик. Для этого сначала получим их численные значения.
k=2
A(w )=2
j (w )=0,1w
L(w )=20lg2
U(w )=2cos0,1w
V(w )=-2sin0,1w
Вывод:
4.1.3. УСТОЙЧИВОЕ АПЕРИОДИЧЕСКОЕ ЗВЕНО 1-го ПОРЯДКА
1. Данное звено описывается следующим уравнением:
a1
+ aoy(t) =bog(t) (1)
Коэффициенты имеют следующие значения:
a1=1,24
ao=2
bo=4
Запишем это уравнение в стандартной форме. Для этого разделим (1) на ao:

+y(t)=
g(t)
T1
+y(t)=kg(t) (2),
где k=
-коэффициент передачи,
T1=
-постоянная времени.
Запишем исходное уравнение в операторной форме, используя подстановку p=
.Получим:
(T1 p+1)y(t)=kg(t) (3)
2. Получим передаточную функцию для апериодического звена. Воспользуемся преобразованиями Лапласа:
y(t)=Y(s)
=sY(s)
g(t)=G(s)
По определению передаточная функция находится как отношение выходного сигнала к входному. Тогда уравнение (2) будет иметь вид:
T1 sY(s)+Y(s)=kG(s)
W(s)=
(4)
3. Найдем выражения для переходной функции и функции веса. По определению аналитическим выражением переходной функции является решение уравнения (2) при нулевых начальных условиях, т.е. g(t)=1 или по преобразованиями Лапласа
h(t)=H(s)
H(s)=W(s)
=
=

Переходя к оригиналу, получим
h(t)=k
Ч 1(t) (5)
Функцию веса можно получить дифференцированием переходной функции
w(t)=
или из преобразований Лапласа
w(t)=w(s)
w(s)=W(s)Ч 1
W(s)=
= 
Переходя к оригиналу, получим
w(t)=
e
Ч 1(t) (6)
4. Построим графики переходной функции и функции веса. Подставляя исходные данные, вычислим коэффициент передачи, постоянные времени и временные характеристики:
k=2
T1 =0.62
h(t)=2
Ч 1(t)
w(t)=3.2e
Ч 1(t)
Переходная функция представляет собой экспоненту. Множитель 1(t) указывает ,что экспонента рассматривается только для положительного времени t>0. Функция веса - также экспонента, но со скачком в точке t=0 на величину
.
5. Получим частотную передаточную функцию, заменив в передаточной функции (4) s на jw :
W(s)= 
W(jw )=
(7)
W(jw )=U(w )+jV(w )=
=
-j
U(w )=
V(w )=
6. Получим аналитические выражения для частотных характеристик. По определению амплитудная частотная характеристика (АЧХ) - это модуль частотной передаточной функции,т.е.
A(w )=РЕ W(jw )РЕ
A(w )=
=
(8)
Фазовая частотная характеристика (ФЧХ) - это аргумент частотной передаточной функции, т.е.
j (w )=argW(jw )
j (w )=arctgk - arctg
j (w )=-arctgT1 (9)
Для построения логарифмических частотных характеристик вычислим
L(w )=20lg A(w )
L(w )=20lg
7. Построим графики частотных характеристик. Для этого сначала получим их численные значения.
k=2
T1 =0.62
A(w )=
j (w )=arctg0.62w
L(w )=20lg
U(w )=
V(w )=
4.1.4. НЕУСТОЙЧИВОЕ АПЕРИОДИЧЕСКОЕ ЗВЕНО
1-го ПОРЯДКА
1. Данное звено описывается следующим уравнением:
a1
- aoy(t) =bog(t) (1)
Коэффициенты имеют следующие значения:
a1=1,24
ao=2
bo=4
Запишем это уравнение в стандартной форме. Для этого разделим (1) на ao:

-y(t)=
g(t)
T
-y(t)=kg(t) (2),
где k=
-коэффициент передачи,
T=
-постоянная времени.
Запишем исходное уравнение в операторной форме, используя подстановку p=
.Получим:
(T p-1)y(t)=kg(t) (3)
2. Получим передаточную функцию для апериодического звена. Воспользуемся преобразованиями Лапласа:
y(t) = Y(s) 
=sY(s)
g(t)=G(s)
По определению передаточная функция находится как отношение выходного сигнала к входному. Тогда уравнение (2) будет иметь вид:
T sY(s)-Y(s)=kG(s)
W(s)=
(4)
3. Найдем выражения для переходной функции и функции веса. По определению аналитическим выражением переходной функции является решение уравнения (2) при нулевых начальных условиях, т.е. g(t)=1 или по преобразованиями Лапласа
h(t)=H(s)
H(s)=W(s)
=
=

Переходя к оригиналу, получим
h(t)=k
Ч 1(t) (5)
Функцию веса можно получить дифференцированием переходной функции
w(t)=
или из преобразований Лапласа
w(t)=w(s)
w(s)=W(s)Ч 1
W(s)=
= 
Переходя к оригиналу, получим
w(t)=
e
Ч 1(t) (6)
4. Построим графики переходной функции и функции веса. Подставляя исходные данные, вычислим коэффициент передачи, постоянные времени и временные характеристики:
k=2
T =0.62
h(t)=2
Ч 1(t)
w(t)=3.2e
Ч 1(t)
Переходная функция представляет собой экспоненту. Множитель 1(t) указывает ,что экспонента рассматривается только для положительного времени t>0. Функция веса - также экспонента, но со скачком в точке t=0 на величину
.
5. Получим частотную передаточную функцию, заменив в передаточной функции (4) s на jw :
W(s)= 
W(jw )=
(7)
W(jw )=
=
j
=U(w )+jV(w )
U(w )=
V(w )=
6. Получим аналитические выражения для частотных характеристик. По определению амплитудная частотная характеристика (АЧХ) - это модуль частотной передаточной функции, т.е.
A(w )=РЕ W(jw )РЕ
A(w )=
=
(8)
Фазовая частотная характеристика (ФЧХ) - это аргумент частотной передаточной функции, т.е.
j (w )=argW(jw )
j (w )=arctgk - arctg
j (w )=-arctg(-Tw ) (9)
Для построения логарифмических частотных характеристик вычислим
L(w )=20lg A(w )
L(w )=20lg
7. Построим графики частотных характеристик. Для этого сначала получим их численные значения.
k=2
T =0.62
A(w )=
j (w )=-arctg(-0.62w )
L(w )=20lg
U(w )=
V(w )=
4.1.5. АПЕРИОДИЧЕСКОЕ ЗВЕНО 2-го ПОРЯДКА
1. Данное звено описывается следующим уравнением:
a2
+a1
+ aoy(t) =bog(t) (1)
Коэффициенты имеют следующие значения:
a2=0,588
a1=50,4
ao=120
bo=312
Запишем это уравнение в стандартной форме. Для этого разделим (1) на ao:

+
+y(t)=
g(t)

+T1
+y(t)=kg(t) (2),
где k=
-коэффициент передачи,
T1=
,T22=
-постоянные времени.
Если корни характеристического уравнения для дифференциального уравнения 2-го порядка вещественны (это выполняется при T1>2T2), то оно является апериодическим 2-го порядка. Проверим это для нашего уравнения:
T1=0,42
2T2=0,14
0,42>014, следовательно, данное уравнение - апериодическое.
Запишем исходное уравнение в операторной форме, используя подстановку p=
.Получим:
(
p2+T1 p+1)y(t)=kg(t) (3)
2. Получим передаточную функцию для колебательного звена. Воспользуемся преобразованиями Лапласа:
y(t) = Y(s) 
=sY(s)
=s2Y(s)
g(t)=G(s)
По определению передаточная функция находится как отношение выходного сигнала к входному. Тогда уравнение (2) будет иметь вид:
s2Y(s)+T1 sY(s)+Y(s)=kG(s)
W(s)=
(4)
3. Найдем выражения для переходной функции и функции веса. По определению аналитическим выражением переходной функции является решение уравнения (2) при нулевых начальных условиях, т.е. g(t)=1 или по преобразованиями Лапласа
h(t)=H(s)
H(s)=W(s)
=
=
, где
T3,4=
Разложив на элементарные дроби правую часть этого выражения, получим
H(s)=
=
Переходя к оригиналу, получим
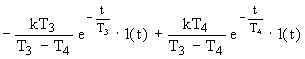
h(t)=kЧ 1(t)
=
=k Ч 1(t)
(5)
Функцию веса можно получить дифференцированием переходной функции
w(t)=
или из преобразований Лапласа
w(t)=w(s)
w(s)=W(s)Ч 1=
=
Разложив на элементарные дроби правую часть этого выражения, получим
w(s)= 
=
Переходя к оригиналу, получим
w(t)=
=
=
(6)
4. Построим графики переходной функции и функции веса. Подставляя исходные данные, вычислим коэффициент передачи, постоянные времени и временные характеристики:
5. Получим частотную передаточную функцию, заменив в передаточной функции (4) s на jw :
W(s)= 
W(jw )=
(7)
Выделим вещественную и мнимую части :
W(jw ) =
=

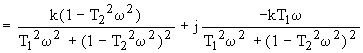
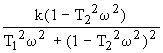
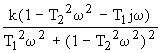
U(w )=
V(w )=
6. Получим аналитические выражения для частотных характеристик. По определению амплитудная частотная характеристика (АЧХ) - это модуль частотной передаточной функции, т.е.
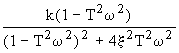
A(w )=РЕ W(jw )РЕ
A(w )=
=.......(8)
Фазовая частотная характеристика (ФЧХ) - это аргумент частотной передаточной функции, т.е.
j (w )=argW(jw )
j (w )=........
j (w )=........ (9)
Для построения логарифмических частотных характеристик вычислим
L(w )=20lg A(w )
L(w )=..........
7. Построим графики частотных характеристик. Для этого сначала получим их численные значения.
4.1.6. КОЛЕБАТЕЛЬНОЕ (УСТОЙЧИВОЕ) ЗВЕНО
1. Данное звено описывается следующим уравнением:
a2
+a1
+ aoy(t) =bog(t) (1)
Коэффициенты имеют следующие значения:
a2=0,588
a1=0,504
ao=12
bo=31,20
Запишем это уравнение в стандартной форме. Для этого разделим (1) на ao:

+
+y(t)=
g(t)

+T1
+y(t)=kg(t) (2),
где k=
-коэффициент передачи,
T1=
,T22=
-постоянные времени.
Если корни характеристического уравнения для дифференциального уравнения 2-го порядка комплексные (это выполняется при T1<2T2), то оно является колебательным. Проверим это для нашего уравнения:
T1=0,042
2T2=0,14
0,042<014, следовательно, данное уравнение - колебательное.
Представим данное уравнение в следующем виде:
пусть T2=T,
.
Тогда уравнение (2):

Здесь T - постоянная времени, x - декремент затухания (0 Запишем исходное уравнение в операторной форме, используя подстановку p= ( 2. Получим передаточную функцию для колебательного звена. Воспользуемся преобразованиями Лапласа: y(t) = Y(s) g(t)=G(s) По определению передаточная функция находится как отношение выходного сигнала к входному. Тогда уравнение (2) будет иметь вид: W(s)= 3. Найдем выражения для переходной функции и функции веса. По определению аналитическим выражением переходной функции является решение уравнения (2) при нулевых начальных условиях, т.е. g(t)=1 или по преобразованиями Лапласа h(t)=H(s) H(s)=W(s) Разложив на элементарные дроби правую часть этого выражения, получим H(s)= = Заменим в этом выражении H(s)= = Переходя к оригиналу, получим h(t)=k =k Ч 1(t) Функцию веса можно получить дифференцированием переходной функции w(t)= или из преобразований Лапласа w(t)=w(s) w(s)=W(s)Ч 1= = Переходя к оригиналу, получим w(t)= 4. Построим графики переходной функции и функции веса. Подставляя исходные данные, вычислим коэффициент передачи, постоянные времени и временные характеристики: 5. Получим частотную передаточную функцию, заменив в передаточной функции (4) s на jw : W(s)= W(jw )= Выделим вещественную и мнимую части : W(jw )= U(w )= V(w ) 6. Получим аналитические выражения для частотных характеристик. По определению амплитудная частотная характеристика (АЧХ) - это модуль частотной передаточной функции, т.е. A(w )=РЕ W(jw )РЕ A(w )= Фазовая частотная характеристика (ФЧХ) - это аргумент частотной передаточной функции, т.е. j (w )=argW(jw ) j (w )=argk - arg(2x Tjw - T2w 2+1)= - arctg j (w )= - arctg Для построения логарифмических частотных характеристик вычислим L(w )=20lg A(w ) L(w )=20lg 7. Построим графики частотных характеристик. Для этого сначала получим их численные значения. 4.1.6. КОЛЕБАТЕЛЬНОЕ (НЕУСТОЙЧИВОЕ) ЗВЕНО 1. Данное звено описывается следующим уравнением: a2 Коэффициенты имеют следующие значения: a2=0,588 a1=0,504 ao=12 bo=31,20 Запишем это уравнение в стандартной форме. Для этого разделим (1) на ao: где k= T1= Если корни характеристического уравнения для дифференциального уравнения 2-го порядка комплексные (это выполняется при T1<2T2), то оно является колебательным. Проверим это для нашего уравнения: T1=0,042 2T2=0,14 0,042<014, следовательно, данное уравнение - колебательное. Представим данное уравнение в следующем виде: пусть T2=T, Тогда уравнение (2): Здесь T - постоянная времени, x - декремент затухания (0 Запишем исходное уравнение в операторной форме, используя подстановку p= ( 2. Получим передаточную функцию для колебательного звена. Воспользуемся преобразованиями Лапласа: y(t) = Y(s) g(t)=G(s) По определению передаточная функция находится как отношение выходного сигнала к входному. Тогда уравнение (2) будет иметь вид: W(s)= 3. Найдем выражения для переходной функции и функции веса. По определению аналитическим выражением переходной функции является решение уравнения (2) при нулевых начальных условиях, т.е. g(t)=1 или по преобразованиями Лапласа h(t)=H(s) H(s)=W(s) Разложив на элементарные дроби правую часть этого выражения, получим H(s)= = Заменим в этом выражении H(s)= 10 способов решения квадратных уравнений РЖнварiантнi пiдпростори. Власнi вектори i власнi значення лiнiйного оператора
.Получим:
p2+2x Tp+1)y(t)=kg(t) (3)
=sY(s)
=s2Y(s)
s2Y(s)+2x T sY(s)+Y(s)=kG(s)
(4)
=
=
,
.Тогда
=
=
(5)
=
=
(6)
(7)


=
(8)
(9)
- a1
+ aoy(t) =bog(t) (1)
- 
+y(t)=
g(t) 
-T1
+y(t)=kg(t) (2),
-коэффициент передачи,
,T22=
-постоянные времени.
.
.Получим:
p2 - 2x Tp+1)y(t)=kg(t) (3)
=sY(s)
=s2Y(s)
s2Y(s) - 2x T sY(s)+Y(s)=kG(s)
(4)
=
=
,
.Тогда
"Инкарнация" кватернионов