Математическое моделирование
ВВЕДЕНИЕРазличают четыре типа зависимостей между переменными:
1)Зависимость между неслучайными переменными, не требующую для своего изучения применения статистических методов;
2) 1)Зависимость случайной переменной y от неслучайных переменных, исследуемую методами регрессионного анализа;
3) 1)Зависимость между случайными переменными y и xi, изучаемую методами корреляционного анализа;
4) 1)Зависимость между неслучайными переменными, когда все они содержат ошибки измерения, требующую для своего изучения применения конфлюэнтного анализа.
Применение регрессионного анализа для обработки результатов наблюдений позволяет получить оценку влияния переменных, рассматриваемых в качестве аргументов (независимых переменных) на переменную, которая считается зависимой от первых.
Курсовая работа направлена на освоение методов регрессионного анализа в процессе разработки математического описания исследуемого процесса или явления. Курсовая работа предусматривает обработку экспериментальных данных и поиск наиболее удовлетворительной гипотезы взаимосвязи между функцией и аргументами.
В качестве таких гипотез рассматриваются линейная и нелинейная регрессионные модели, каждая из которых может быть парной (только две переменных - функция и аргумент) или множественной (одна функция и несколько аргументов).
Относительно закона изменения независимых переменных xi не делается никаких ограничений тАУ
ЛИНЕЙНАЯ ПАРНАЯ РЕГРЕССИЯДля нахождения теоретической линии регрессии по данным производственных замеров или специально поставленных экспериментов применяется метод наименьших квадратов, с помощью которого путем определенных вычислений находится уравнение y = f(x), соответствующее взаимосвязи рассматриваемых параметров. А именно, отыскивается теоретическая линия регрессии у по х, занимающая в корреляционном поле такое положение, при котором выполняется требование, чтобы сумма квадратов расстояний от этой линии до каждой точки в корреляционном поле являлась минимальной.
При изображении корреляционного поля на графике по оси у откладывают значения функции, а по оси х тАФ значения аргумента . Теоретическая линия регрессии у по х должна быть внесена в корреляционное поле таким образом, чтобы соблюдался принцип наименьших квадратов:

где jтАФ порядковый номер точки в исходном числовом материале:
у jтАФизмеренное значение функции для определенного значения аргумента (х);
y'/--расчетное значение функции при заданной величине аргумента (х) в соответствии с теоретической их взаимосвязью. В случае линейной зависимости
y'j = a + x j. (2)Задача сводится к отысканию коэффициентов регрессии а и уравнения (2), т. е. заранее установлено, что рассматриваемые параметры у и х связаны линейной зависимостью по уравнению (2).
Величина D yj представляющая собой расстояние от каждой точки корреляционного поля до теоретической линии регрессии, определяется из уравнения
D yj = yj - ( a + x j ) (3)где x jтАФ параметр х, соответствующий измеренному значению у j.
Для определения численных значений коэффициентов регрессии a и , исходя изпринципа наименьших квадратов отклонений, нужно приравнять нулю частные производные функции S 2 по a и :
В¶ S 2/ В¶ a = В¶ ( S D yj ) 2 / В¶ a = 0, ( 4 ) В¶ S 2/ В¶ b = В¶ ( S D yj ) 2 / В¶ b = 0 ( 5 )Выполнив необходимые преобразования, получим систему двух уравнений с двумя неизвестными для определения a и b:
S y = m a + b S x S yx = a S x + S x 2 . ( 6 )Решая систему уравнений относительно a и, находим численные знаяения коэффициентов регрессии. Величины S y, S x, S yx, S x2 находятся непосредственно по данным производственных измерений, которые заданы в курсовой работе.
Величина свободного члена уравнения регрессии (2), или коэффициента а равна функции у при x = 0.
Коэффициент в уравнении регрессии характеризует изменение функции у при изменении аргумента х на единицу. и графически отражает угол наклона линии уравнения регрессии
При решении практических задач регрессионного анализа возникает вопрос об оценке тесноты исследуемой взаимосвязи, т. е. насколько полученные на основе обработки производственных или лабораторных данных уравнения регрессии достоверны. В случае парной линейной корреляции в качестве оценки тесноты связи используют обычно коэффициенткорреляции, который рассчитывается по формуле:
r = (XY - X * Y)/( s x * s y ). ( 7 )Числитель выражения для коэффициента корреляции r представляет собой разность между средним значением произведения XY и произведением средних значений X * Y измеренных значений параметров x и y исходной информации. Знаменатель равен произведению средних квадратических отклонений значений параметров у и х от своих средних. Средние квадратические отклонения (стандартные отклонения) рассчитываются по формулам:
s x = {[ S ( x j - X ) 2 ]/ m }1/2 ( 8 ) s y = {[ S ( y j - Y ) 2 ]/ m }1/2 . ( 9 )Квадраты средних квадратических отклонений y и х (s x 2 и s y 2 ) называются дисперсиями
D x = [ S ( x j - X ) 2 ]/ m ( 10 ) Dy = [ S ( y j - Y ) 2 ]/ m ( 11 )и являются важными статистическими оценками рассеяния значений какой-либо величины около ее среднего значения.
Величина коэффициента корреляции r может изменяться от 0 при полном отсутствии связи до В±1 при наличии линейной функциональной связи х с у. Если r > 0, между х и у имеет место положительная корреляционная связь, т. е. с ростом параметра х увеличивается параметр у, если r < 0, между х и у имеет место отрицательная связь. С коэффициентом регрессии в уравнении (2) коэффициент корреляции связан соотношением
r = s x / s y . (12)Угловой коэффициент регрессии представляет собой тангенс угла наклона линии регрессии к оси абсцисс . Следовательно, чем больше наклон линии регрессии к оси абсцисс, тем больше значение коэффициента корреляции, т. е. тем значительнее будет изменение функции у при изменении на единицу аргумента х.
Малая величина коэффициента корреляции указывает на отсутствие линейной связи, однако криволинейная связь между рассматриваемыми параметрами при этом может быть достаточно тесной. Коэффициент корреляции отражает не только величину приращения у при изменении х, но и тесноту связи функции и аргумента. Чем больше разброс точек относительно линии регрессии, тем меньше коэффициент корреляции. Это свойство коэффициента корреляции отражено в его формуле в виде соотношения стандартных отклонений.
Для оценки надежности полученного результата используют иногда критерий надежности m , который учитывает как величину коэффициента корреляции, так и число пар измерений. Критерий надежности m рассчитывается по формуле
m = r * [m - 1] 1/2 / (1 - r 2 ), (13)где rтАФ коэффициент корреляции;
ттАФчисло пар измерений.
Как видно из формулы критерия надежности, чем выше коэффициент корреляции и большее число пар измерений, тем больше показатель надежности. При m , > 2,6 связь считается статистически достоверной.
Располагая данными можно выполнить анализ взаимосвязи аргумента и функции : построить график с корреляционным полем рассматриваемых показателей, определить теоретическую линию регрессии, оценить тесноту связи для выбранных параметров. Однако, проанализировав конфигурацию корреляционного поля, построенного по исходным данным, можно усмотреть что описание взаимосвязи рассматриваемых параметров с помощью прямой линии не является наилучшей аппроксимацией. Иногда в данное поле корреляции значительно лучше впишется некоторая кривая.
Таким образом из технологического опыта может следовать, что связь между аргументом и функцией имеет криволинейный характер. Возможно, что аппроксимация производственных данных в виде кривой точнее отражала бы существующую взаимосвязь.
КРИВОЛИНЕЙНАЯ ПАРНАЯ РЕГРЕССИЯАппроксимация кривой выполняется тем же путем с использованием метода наименьших квадратов, что и выравнивание по прямой линии . Линия регрессии должна удовлетворять условию минимума суммы квадратов расстояний до каждой точки корреляционного поля. В данном случае в уравнении (1) у представляет собой расчетное значение функции, определенное при помощи уравнения выбранной криволинейной связи по фактическим значениям х j. Например, если для аппроксимации связи выбрана парабола второго порядка, то
y =а + x + cx2, ( 14 ).а разность между точкой, лежащей на кривой, и данной точкой корреляционного поля при соответствующем аргументе можно записать аналогично уравнению (3) в виде
D yj = yj - ( a + x +cx2) ( 15 )При этом сумма квадратов расстояний от каждой точки корреляционного поля до новой линии регрессии в случае параболы второго порядка будет иметь вид:
S 2 = S D yj 2= S [yj - ( a + x +cx2)] 2( 16 )Исходя из условия минимума этой суммы, частные производные S 2 по а, и с приравниваются к нулю. Выполнив необходимые преобразования, получим систему трех уравнений с тремя неизвестными для определения a, b и с.
S y = m a + S x + cS x 2 S yx = a S x + b S x 2 + c S x 2.
S yx2 = a S x 2 + bS x 3 + c S x4 . ( 17 ).
Решая систему уравнений относительно a,b и с, находим численные значения коэффициентов регрессии. Величины S y, S x, S x2, S yx, S yx2, S x3, S x4.находятся непосредственно по данным производственных измерений.
Оценкой тесноты связи при криволинейной зависимости служит теоретическое корреляционное отношение h xу , представляющее собой корень квадратный из соотношения двух дисперсий: среднего квадрата s р2 тклонений расчетных значений y' j функции по найденному уравнению регрессии от среднеарифметического значения Y величины y к среднему квадрату отклонений s y2 фактических значений функции y j от ее среднеарифметического значения :
h xу = { s р2 / s y2 } 1/2 = { S (y' j - Y)2 / S (y j - Y)2 } 1/2 ( 18 )Квадрат корреляционного отношения h xу2 показывает долю полной изменчивости зависимой переменной у, обусловленную изменчивостью аргумента х Этот показатель называется коэффициентом детерминации. В отлично от коэффициента корреляции величина корреляционного отношения может принимать только положительные значения от 0 до 1. При полном отсутствии связи корреляционное отношение равно нулю, при наличии функциональной связи оно равно единице, а при наличии регрессионной связи различной тесноты корреляционное отношение принимает значения между нулем и единицей. Выбор типа кривой имеет большое значение в регрессионном анализе, поскольку от вида выбранной взаимосвязи зависит точность аппроксимации и статистические оценки тесноты связи. Наиболее простой метод выбора типа кривой состоит в построении корреляционных полей и в подборе соответствующих типов регрессионных уравнений по расположению точек на этих полях. Методы регрессионного анализа позволяют отыскивать численные значения коэффициентов регрессии для сложных видов взаимосвязи параметров, описываемых, например, полиномами высоких степеней. Часто вид кривой может быть определен на основе физической сущности рассматриваемого процесса или явления. Полиномы высоких степеней имеет смысл применять для описания быстро меняющихся процессов в том случае, если пределы колебания параметров этих процессов значительные.
Применительно к исследованиям металлургического процесса достаточно использовать кривые низших порядков, например параболу второго порядка.
Эта кривая может иметь один экстремум, что, как показала практика, вполне достаточно для описания различных характеристик металлургического процесса.
Результаты расчетов параметров парной корреляционной взаимосвязи были бы достоверны н представляли бы практическую ценность в том случае, если бы используемая информация была получена для условий широких пределов колебаний аргумента при постоянстве всех прочих параметров процесса. Следовательно, методы исследования парной корреляционной взаимосвязи параметров могут быть использованы для решения практических задач лишь тогда, когда существует уверенность в отсутствии других серьезных влияний на функцию, кроме анализируемого аргумента. В производственных условиях вести процесс таким образом продолжительное время невозможно. Однако если иметь информацию об основных параметрах процесса, влияющих на его результаты, то математическим путем можно исключить влияние этих параметров и выделить в тАЬчистом видетАЭ взаимосвязь интересующей нас функции и аргумента. Такая связь называется частной, или индивидуальной. Для ее определения используется метод множественной регрессии.
МНОЖЕСТВЕННАЯ ЛИНЕЙНАЯ РЕГРЕССИЯМножественной регрессией называется взаимосвязь трех и более переменных, или влияние двух и более аргументов на функцию
y = f ( x1 , x2, .. xn). ( 19 )Для простоты рассмотрим случай, когда функция у сопоставляется с двумя аргументами x 1 и x 2 . Такую зависимость графически можно представить в трехмерном пространстве {у, x 1 , x 2} Совокупность всех т точек представляет собой корреляционное пространство. Задача определения связи у от x 1 и x 2 состоит в том, чтобы подобрать такую плоскость, например плоскость Р , которая наилучшим образом вписалась бы в данное корреляционное пространство:
y = a + 1 x 1 + 2 x2 . ( 20 )При этом под словами тАЬнаилучшим образомтАЭ понимается удовлетворение требованию наименьших квадратов, т. е. сумма квадратов расстояний каждой точки корреляционного поля от искомой плоскости [уравнение y = a + 1 x 1 + 2 x2 ] должна быть минимальной. Это расстояние определяется выражением
D yj = yj - ( a + 1 x 1 + 2x 2) ( 21 )Требуется найти значения коэффициентов a, 1 и 2.
Выполнив необходимые преобразования, получим систему трех уравнений с тремя неизвестными:
S y = m a + 1 S x1 + 2 S x2 S yx1 = a S x1 + 1 S x 12 + 2 S x1 x 2. S yx 2 = a S x2 + 1 S x1 x2 + 2 S x22. ( 22 )Решение системы уравнений относительно коэффициентов a, 1 и 2, позволяет определить их численные значения. Величины S y, S x1, S x12, S yx1, S yx2, S x2, S x22, S x1 x2 .находятся непосредственно по данным производственных измерений.
Таким образом, найденное уравнение регрессии описывает совместное влияние x 1 и x2 на функцию у. Коэффициенты a, 1 и 2 при этом имеют математический смысл.
Коэффициент а равен функции у при нулевых значениях аргументов x1 и x 2. В геометрической интерпретации коэффициент а соответствует ординате точки пересечения плоскости регрессии Р с осью y.
Коэффициент 1 равен изменению функции у при изменении первого аргумента х1 на единицу при неизменном втором аргументе x 2. Аналогично коэффициент регрессии 2 равен изменению функции у при изменении второго аргумента x 2 на единицу при неизменном первом аргументе x 1.
Из уравнения множественной линейной регрессии могут быть получены уравнения частной регрессии аргументов x 1 и x 2 на функцию у:
у = a' 1 + 1 х 1 ( 23 a )у = a' 2 + 2 х 2 ( 23 b )
При этом угловые коэффициенты регрессии b1 и b 2 сохраняют те же числовые значения, что и в уравнении множественной регрессии. Свободные члены уравнений для y можно подсчитать следующим образом:
a' 1 = а + 2 X 2, ( 24 a ) a' 2 = а + 1 X 1, ( 24 b )где атАФ свободный член в уравнении множественной регрессии ;
X 1, X 2тАФсредние значения соответствующих аргументов.
Закономерности и выводы, используемые при исследовании взаимосвязи трех переменных (в трехмерном пространстве), применимы и для взаимосвязи большего числа переменных, .т. е. для многомерного пространства типа
y= f ( x1 , x2, .. xn) ( 25 )В этом случае расчет уравнения множественной линейной регрессии типа
y = a+ 1 x 1 + 2 x2 +. 3 x3 + + n x n ( 26 )ведется для определения коэффициентов a, 1,2, n.
Чтобы определить численные значения этих величин, необходимо решить систему уравнений: аналогичную приведенной выше для двух аргументов и функции.
Определив коэффициенты регрессии решением системы уравнений , получим уравнение множественной линейной регрессии , из которого могут быть получены уравнения частной взаимосвязи функции с каждым аргументом:
у = a' i + i х i ,(27)где a' iтАФсвободный член частного уравнения регрессии;
i - порядковый номер анализируемого аргумента.
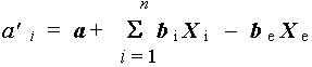
Так же как и в случае трехмерной задачи, угловой коэффициент регрессии b i сохраняет то же численное значение, что и в уравнении множественной линейной регрессии . Свободный член частного уравнения регрессии рассчитывается по формуле

где а тАФ свободный член множественного линейного уравнения регрессии;
тАФ количество -аргументов;
XiтАФсредние значения аргументов;
X e тАФсреднее значение одного из -аргументов.
Оценкой тесноты связи при множественной линейной регрессии служит коэффициент множественной корреляцииR, определяемый по формуле:
R = { b 1 [ s x1 / s y ] ryx1 + .. + b n [ s x n / s y ] ryx n } 1/2 ( 29 )Величина коэффициента множественной корреляции всегда положительна и может меняться от 0 (при отсутствии связи) до 1 (при функциональной связи). С помощью коэффициента множественной корреляции оценивают совместное влияние на зависимую переменную всех включенных в расчет аргументов. Квадрат величины коэффициента множественной корреляции показывает долю изменчивости зависимой переменной, обусловленную изменением всех рассматриваемых аргументов, и называется коэффициентом множественнойдетерминации.
Для оценки тесноты частной взаимосвязи функции и каждого аргумента служит коэффициент частной корреляции. Этот статистический показатель учитывает тесноту взаимосвязи функции и одного из показателей-аргументов при условии, что остальные аргументы закреплены на уровне своих средних значений и не влияют на функцию. Коэффициент частной корреляции обозначается индексом r yx i, где iтАФпорядковый номер оцениваемого аргумента) и рассчитывается по формуле

где R 2 n тАФ квадрат коэффициента множественной корреляции для п аргументов;
R 2 n - 1 тАФ-квадрат коэффициента множественной корреляции для nтАФ1 аргументов без i-того^. Как видно из формулы ( 30 ), коэффициент частной корреляции позволяет выделить уменьшение изменчивости фактических значений функции вокруг расчетных, связанное с введением в расчет уравнения множественной регрессии i -того аргумента. Коэффициент r yx i принимает значения от 0 ( при отсутствии связи) до 1 (при наличии функциональной связи). Из формулы (30 ) невозможно определить знак коэффициента частной корреляции, поэтому его определяют по знаку углового коэффициента регрессии b i для данного аргумента. Значение коэффициента частной корреляции может отличаться от коэффициента парной корреляции не только по величине, но и по знаку для одной и той же задачи. При этом нужно помнить, что коэффициент частной корреляции является более объективной оценкой действительной взаимосвязи.
Оценка тесноты индивидуальной связи функции и аргумента при множественной регрессии с помощью коэффициента частной корреляции является более достоверной. Это соображение подтверждается уменьшением рассеяния точек относительно линии частной регрессии по сравнению с линией парной регрессии. Следовательно, даже при уменьшении коэффициента частной корреляции по сравнению с парным при частной регрессии наблюдается более тесная связь между функцией и аргументом.
Для расчета по формуле (30) необходимо рассчитать коэффициенты регрессии с помощью систем уравнений отдельно для п и птАФ1 аргументов. При этом значения коэффициентов будут различными.
Итак, в результате решения уравнения множественной регрессии , можно найти численные значения коэффициентов а, 1, 2, 3, .., п. , определить показатели тесноты связи, а именно коэффициент множественной корреляции R, коэффициент детерминации , коэффициенты частной корреляции r'ух i.
Несмотря на то что уравнения частной линейной регрессии характеризуют реальную взаимосвязь функции и i-того аргумента с большей достоверностью, чем уравнения парной регрессии, они во многих случаях не удовлетворяют исследователей. Недостаток уравнений частной линейной регрессии заключается в том, что анализируемая зависимость представляется в виде прямой. В действительности, большинство взаимосвязей параметров металлургических процессов имеет криволинейный характер. Любое техническое мероприятие тем эффективней, чем хуже абсолютные исходные показатели.
Для повышения достоверности взаимосвязей параметров технологического процесса необходимо определить уравнения частной криволинейной регрессии. Рассмотрим несколько способов такого определения.
ЧАСТНАЯ КРИВОЛИНЕЙНАЯ РЕГРЕССИЯ НА ОСНОВЕ МНОЖЕСТВЕННОЙ ЛИНЕЙНОЙ РЕГРЕССИИДля упрощения рассмотрим задачу, в которой фигурируют два аргумента ( x 1 и x2) и функция у. Рассчитаем уравнение множественной линейной регрессии, т. е. определим численные значения коэффициентов а, 1 и 2
Найдем уравнения частной криволинейной регрессии. Например, чтобы получить уравнение частной регрессии у по x 2, нужно исключить влияние на у аргумента x 1. Для этого можно использовать следующий прием: каждое значение функции у в таблице исходной информации нужно скорректировать на величину отклонения первого аргумента от своего среднего, пользуясь для этого найденным угловым коэффициентом регрессии bi.Тогда каждое скорректированное значение функции у' будет равно:
y'j = y j - (x 1j - Xj ) 1 , ( 31 )где y jтАФзначение функции в таблице исходной информации
x 1j тАФзначение первого аргумента в таблице исходной информации;
Xj - среднее значение первого аргумента
Таким образом, скорректированное значение функции представляет собой фактическое значение функции скорректированное на влияние первого аргумента. В результате получаем ряд скорректированных значений функции, который не имеет регрессионной связи с рядом значений первого аргумента (коэффициент корреляции между скорректированной функцией и первым аргументом равен нулю).
Если в задаче имеется, например, п аргументов, то корректировка исходных значений функции должна быть выполнена по всем аргументам, кроме одного, частную связь которого с функцией предполагается определить. Для этого скорректированные значения функции у по всем аргументам, кроме второго, можно рассчитать по уравнению:
y'j = y j - (x 1 j - X 1j ) 1- (x 3 j - Xj ) 3- (xn j - X n ) n ( 32 )угловой коэффициент регрессии из Таким:
^ == 523,0тАФ 0,00493 Шл + 0,0001155 Шл".
Расчет парной криволинейной связи между у' j и х 2j может быть выполнен по методике, рассмотренной выше с использованием метода наименьших квадратов. Например, если для аппроксимации связи выбрана парабола второго порядка, то уравнение частной криволинейной регрессии следующее
у** j =а** + **2 x2 + c**2 x22 ( 33) .а разность между точкой, лежащей на кривой, и данной точкой корреляционного поля
D yj = y'j - у** j = y'j - (а** + **2 x2 + c**2 x22) (34 )При этом сумма квадратов расстояний от каждой точки корреляционного поля до новой линии регрессии в случае параболы второго порядка будет иметь вид:
S 2 = S D yj 2= S [ y'j - (а** + b**2 x2 + c**2 x22)] 2 ( 35 )Исходя из условия минимума этой суммы, частные производные S 2 по а**, b** 2 и с** 2 приравниваются к нулю. Выполнив необходимые преобразования, получим систему трех уравнений с тремя неизвестными для определения a**, b** и с**.
, S y' = m a** + **2 S x2 + c**2 S x2 2 S y'x 2 = a** S x2 + b**2 S x2 2+ c** 2 S x2 3 S y'x22 =a** S x 22 + **2 S x2 3 + c**2 S x2 4. ( 36 )Решая систему уравнений (36) относительно a **, **2 и с**2, находим численные значения коэффициентов регрессии
Определяется парное корреляционное отношение для связи между скорректированными значениями функции у' и соответствующим аргументом x i. Парное корреляционное отношение является частным корреляционным отношением для связи между фактическими исходными значениями функции у и соответствующим аргументом к. В отличие от парного частное корреляционное отношение будем обозначать индексом h ** уx i , где iтАФ -порядковый номер аргумента, теснота связи с которым оценивается данным корреляционным отношением. Значение частного корреляционного отношения то же, что и коэффициента частной корреляции в случае множественной линейной корреляции.
Частное корреляционное отношение h ** уx i :, определяется аналогично парному корреляционному отношению.
h ** уx i ={ S (y** j - Y)2 / S (y' j - Y)2 } 1/2 ( 37 )Аналогичным путем рассчитываются частные взаимосвязи функции со всеми остальными аргументами.
Рассмотрим еще одну методику определения частной криволинейной регрессии, которая лишена этого недостатка.
ЧАСТНАЯ КРИВОЛИНЕЙНАЯ РЕГРЕССИЯ НА ОСНОВЕ МНОЖЕСТВЕННОЙ НЕЛИНЕЙНОЙ РЕГРЕССИИДля определения уравнения множественной криволинейной регрессии также используется метод наименьших квадратов.
Рассмотрим случай, когда функция зависит от двух аргументов ( x 1 и x 2) аналогично примеру, рассмотренному при oписании множественной линейной корреляции. В системе координат утАФ X 1тАФ Х2 располагается некое корреляционное пространство, образованное множеством точек , каждая из которых соответствует результатам измерения параметров процесса. Задача состоит в том, чтобы вписать в данное корреляционное пространство некую поверхность, которая удовлетворяла бы условию наименьших квадратов отклонений. Условию наименьших квадратов удовлетворяет поверхность для которой сумма квадратов расстояний до точек корреляционного поля минимальна:
Уравнение такой поверхности наилучшим образом опишет взаимосвязь у, X 1 и Х2.
y = a + 1 x1 + c1 x12 + 2 x 2 + c 2 x22 . ( 38 ) ,Для определения коэффициентов такого уравнения используем систему пяти уравнений с пятью неизвестными.
S y = m a + 1 S x1 + с1 S x12 + 2 S x2 + с2 S x22 S yx1 = a S x1 + 1 S x12 + с1 S x13 + b2 S x1 x2 + с2 S x22 x1 S yx1 2 = a S x12 + 1 S x13 + с1 S x14 + 2 S x2. x12+с2 S x 22x12 S yx2 = a S x2 + 1 S x1 x2+ с1 S x12 x 2 + b2 S x22 + с2 S x23 S yx22 = a S x22 + 1 S x1 x22 + с1 S x12 x22+ 2 S x23. + с2 S x24 (39)Если все точки корреляционного пространства находятся на расчетной поверхности, то множественное корреляционное отношение будет равно единице. При этом связь между функцией у и аргументами x1 и x2 будет функциональной. По мере удаления точек от расчетной поверхности этот показатель будет уменьшаться, приближаясь к нулю.
При переходе к анализу криволинейных связей возникает проблема выбора типа кривой, с помощью которой выполняется аппроксимация каждой пары рассматриваемых переменных. Для монотонно меняющегося процесса в сравнительно небольших интервалах изменения параметров, каким является металлургический процесс, можно без значительной ошибки аппроксимировать все существующие связи XiтАФХе и утАФXi с помощью полиномов второй степени. Такое допущение намного упрощает методику расчета, , но в то же время сохраняет рассмотренные выше преимущества, присущие криволинейной аппроксимации. На основе сделанного допущения можно рассчитать уравнение множественной криволинейной регрессии вида:
y = a + S i x i + S c i xi 2 ( 40 )где и cтАФ коэффициенты регрессии при i-том аргументе (1 =1, 2,..,п);
nтАФчисло аргументов в регрессионной модели;
атАФсвободный член уравнения регрессии.
Коэффициенты а, и c, так же как и прежде, находятся методом наименьших квадратов из системы уравнений, которая в данном случае будет большей по сравнению с системой для определения коэффициентов множественной линейной регрессии. Количество неизвестных (а, и c), равное числу уравнений в случае множественной криволинейной регрессии, составит z = 2 n + 1, где птАФчисло аргументов в корреляционной модели. Таким образом, если для определения уравнения множественной линейной корреляции с десятью аргументами необходимо решить систему из 11 уравнений с 11 неизвестными {а и 10 x), то для нахождения уравнения с десятью аргументами необходимо решить систему из 21 уравнения с 21 неизвестным .
Частное уравнение регрессии в этом случае имеет вид
уx i =а' + b i x i + c ixi2, (41) .причем свободный член этого уравнения а ' для каждой связи утАФ x i имеет свое численное значение, отличное от свободного члена а в уравнении множественной регрессии ( ), ( ), а значения коэффициенты регрессии b i и c i те же. Свободный член частного уравнения регрессии в данном случае рассчитывается по формуле
a'i = a + S 1- (n - i ) X 1- (n - i ) + S c 1- (n - i ) X 21- (n - i )( 42 )где a тАФ свободный член уравнения множественной регрессии.
Второй член правой части уравнения представляет собой сумму произведений средних значений каждого аргумента, кроме 1-того, на его коэффициент регрессии bi, а третий член правой части уравнения представляет собой сумму произведений квадратов средних значений каждого аргумента, кроме t-того, на его коэффициент регрессии c i. Коэффициенты регрессии b и c взяты из уравнения множественной регрессии . Таким образом, из уравнения множественной регрессии может быть получен ряд уравнений частной регрессии (по числу аргументов п в корреляционной модели), с помощью которых определяются характер индивидуальных взаимосвязей функции и каждого аргумента.
Оценкой тесноты частной корреляционной связи в данном случае служит частное корреляционное отношение. Этот показатель рассчитывается аналогично парному корреляционному отношению .
ЗАДАНИЕ НА ВЫПОЛНЕНИЕ КУРСОВОЙ РАБОТЫЗадание на выполнение курсовой работы состоит из краткого текста, поясняющего существо приводимых в задании групп исходных данных и самих групп исходных данных. Среди этих данных имеется несколько аргументов и одна функция. В задача курсовой работы входит проверка гипотез возможных связей между аргументами и функцией. Критерием правильности одной из гипотез является показатель тесноты связи. Это либо коэффициент парной или частной корреляции, либо парное или частное корреляционное отношение. После статистической обработки исходных данных проводится сравнение полученных показателей и делаются выводы о правомерности одного из предположений о характере связей.
СОСТАВ, ОБЪЕМ И СОДЕРЖАНИЕ КУРСОВОЙ РАБОТЫКурсовая работа включает теоретическую часть, в которой приводится описание методов регрессионного анализа, применяемых в данной работе.
Следующий раздел предусматривает предварительную статистическую обработку данных для их последующего рационального использования. Автор работы указывает на необходимость вычисления средних значений аргументов, средних квадратов аргументов, средних значений третьей и четвертой степени и т.д., после чего составляется таблица обработки исходных данных. Вид таблицы приведен ниже.

Правильно составленная таблица позволяет легче справляться с вычмслением различнхы ситуаций в процессе решения разделов регрессионного анализа.
ОФОРМЛЕНИЕ КУРСОВОЙ РАБОТЫКурсовая работа офрмляется следующим образом.
- Титульный лист с указанием фамилии , имени, отчества студента и фамилии преподавателя
- Оригинал задания на выполнение курсовой работы
- Аннотация курсовой работы
- Оглавление работы
Теоретическая часть
Практическая часть работы
Выводы
Список использованной литературы
Приложения
ЗАШИТА КУРСОВОЙ РАБОТЫЗащита курсовой работы происходит перед комиссией, составленной из преподавателей кафедры. Студент в течение 5-8 минут докладывает основное содержание работы, ее резулььаты и выводы, отвечает на вопросы членов комиссии. Оценка курсовой работы производится членами комиссии по пятибалльной системе с учетом содержания работы и ответа на вопросы.
Вместе с этим смотрят:
10 способов решения квадратных уравнений
РЖнварiантнi пiдпростори. Власнi вектори i власнi значення лiнiйного оператора